Студопедия

КАТЕГОРИИ:


Архитектура-(3434)Астрономия-(809)Биология-(7483)Биотехнологии-(1457)Военное дело-(14632)Высокие технологии-(1363)География-(913)Геология-(1438)Государство-(451)Демография-(1065)Дом-(47672)Журналистика и СМИ-(912)Изобретательство-(14524)Иностранные языки-(4268)Информатика-(17799)Искусство-(1338)История-(13644)Компьютеры-(11121)Косметика-(55)Кулинария-(373)Культура-(8427)Лингвистика-(374)Литература-(1642)Маркетинг-(23702)Математика-(16968)Машиностроение-(1700)Медицина-(12668)Менеджмент-(24684)Механика-(15423)Науковедение-(506)Образование-(11852)Охрана труда-(3308)Педагогика-(5571)Полиграфия-(1312)Политика-(7869)Право-(5454)Приборостроение-(1369)Программирование-(2801)Производство-(97182)Промышленность-(8706)Психология-(18388)Религия-(3217)Связь-(10668)Сельское хозяйство-(299)Социология-(6455)Спорт-(42831)Строительство-(4793)Торговля-(5050)Транспорт-(2929)Туризм-(1568)Физика-(3942)Философия-(17015)Финансы-(26596)Химия-(22929)Экология-(12095)Экономика-(9961)Электроника-(8441)Электротехника-(4623)Энергетика-(12629)Юриспруденция-(1492)Ядерная техника-(1748)

Лекция №2. 1.1.8. Эл. Энергия и мощность в цепях постоянного тока




1.1.8. Эл. Энергия и мощность в цепях постоянного тока

В цепях постоянного тока эл. энергия, вырабатываемая источниками, равна энергии, потребляемой приемниками.

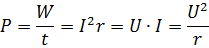
Резистивные элементы преобразуют эл. Энергию в тепловую, по закону Джоуля-Ленца энергия, потребляемая резистивным элементом сопротивление которого в течение времени t при протекании тока равна

Мощность – это энергия, потребляемая в единицу времени

1.1.9 Простые эл. Цепи с последовательным соединением приемников

Рис.1.17. Схема цепи с последовательным соединением приемников.

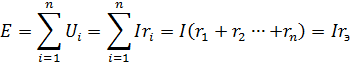
Для этой цепи уравнение по второму закону Кирхгофа

Отсюда ; ;

В последовательной цепи падения напряжения и мощности распределяются пропорционально сопротивлениям этих участков.

Такое соединение в промышленных энергосетях используется редко, т.к. при этом невозможна независимая коммутация приемников.

Отказы типа «обрыв» приводят к отключению всех приемников.

Отказы типа «короткое замыкание» отдельного приемника здесь практически не опасны.




Поделиться с друзьями:


Дата добавления: 2014-11-18; Просмотров: 469; Нарушение авторских прав?; Мы поможем в написании вашей работы!


Нам важно ваше мнение! Был ли полезен опубликованный материал? Да | Нет



studopedia.su - Студопедия (2013 - 2026) год. Все материалы представленные на сайте исключительно с целью ознакомления читателями и не преследуют коммерческих целей или нарушение авторских прав! Последнее добавление




Генерация страницы за: 0.011 сек.