Студопедия

КАТЕГОРИИ:


Архитектура-(3434)Астрономия-(809)Биология-(7483)Биотехнологии-(1457)Военное дело-(14632)Высокие технологии-(1363)География-(913)Геология-(1438)Государство-(451)Демография-(1065)Дом-(47672)Журналистика и СМИ-(912)Изобретательство-(14524)Иностранные языки-(4268)Информатика-(17799)Искусство-(1338)История-(13644)Компьютеры-(11121)Косметика-(55)Кулинария-(373)Культура-(8427)Лингвистика-(374)Литература-(1642)Маркетинг-(23702)Математика-(16968)Машиностроение-(1700)Медицина-(12668)Менеджмент-(24684)Механика-(15423)Науковедение-(506)Образование-(11852)Охрана труда-(3308)Педагогика-(5571)Полиграфия-(1312)Политика-(7869)Право-(5454)Приборостроение-(1369)Программирование-(2801)Производство-(97182)Промышленность-(8706)Психология-(18388)Религия-(3217)Связь-(10668)Сельское хозяйство-(299)Социология-(6455)Спорт-(42831)Строительство-(4793)Торговля-(5050)Транспорт-(2929)Туризм-(1568)Физика-(3942)Философия-(17015)Финансы-(26596)Химия-(22929)Экология-(12095)Экономика-(9961)Электроника-(8441)Электротехника-(4623)Энергетика-(12629)Юриспруденция-(1492)Ядерная техника-(1748)

Порядок выполнения лабораторной работы




Содержание работы

Лабораторная работа № 1

Введение

 

Настоящий сборник лабораторных работ является составной частью учебно-методического комплекса по междисциплинарному курсу «Основы теории управления», предназначенного для студентов направлений подготовки 010500, 230100, 230400, 231000. Тематика лабораторных занятий согласована с учебным пособием Н.И. Чернова по названному курсу (Н.И. Чернов. Основы теории управления линейными автоматическими системами. –Таганрог: Изд-во ТТИ ЮФУ, 2011).

 

Материалы сборника лабораторных работ, особенно его теоретическая часть, изложенная в приложениях1 – 4, дополняют материалы упомянутого выше учебного пособия, и поэтому могут быть использованы для изучения отдельных положений теории.

 

Каждое лабораторное занятие содержит основные теоретические сведения в объеме, достаточном как для самостоятельной подготовки к выполнениюработы, так и для выполнения работы в лаборатории. Теоретические сведения иллюстрируются достаточным количеством примеров.

 

Задания на выполнение лабораторных работ являются более структурированными и равноценными в пределах однойработы в сравнении с предыдущим изданием, что, по мнению автора, является достоинством нового издания. Их выполнение сопровождается оформлением отчета о выполнении работы и его защитой.

Тема: знакомство со пакетом прикладных программ (ППП) Matlab. Освоение программного обеспечения для исследования систем автоматического управления.

Цель работы: Получить начальные сведения о приложениях ControlSystemToolbox и Simulink пакета прикладных программ Matlab и приобрести навыки работы с ними.

 

1. Изучение командного окна ППП Matlab и его вычислительных и графических возможностей.

2. Изучение приложений ControlSystemToolbox и Simulink и их возможностей моделирования систем автоматического управления.

3. Создание m -файлов.

 

 

I. Изучение ядра ППП Matlab:

 

Задание 1.Вычислите три произвольно выбранных числовых выражения, используя командное окно MATLAB. Одно из них должно быть длинным, т.е. построено с использованием операции переноса.

 

Задание 2. Создайте несколько массивов различными способами.

 

Задание 3.Выведите на экран список переменных рабочего пространства и сохраните рабочее пространство в файле с произвольным именем, затем удалите все переменные из рабочего пространства и убедитесь, что оно очищено. Снова загрузите сохраненное рабочее пространство и выполните с ними произвольные допустимые действия.

 

Задание 4. Создайте график некоторой функции с различными диапазонами и шагом изменения параметра(ов). Наблюдайте поведение системы на осциллографе (Scope) и выведите график на печать.

Установите сетку на координатную плоскость и сохраните любую из характеристик в файле типа Bitmap. Откройте этот файл в редакторе Paint.

 

Задание 5.Создайте m -файл любой выбранной вами функции, сохраните его и используйте для вычислений.

II.Изучениеприложения Control System Toolbox:

 

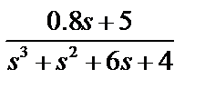
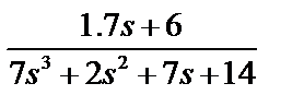
Задание 6. Создайте объекты с передаточными функциями, выбранными из табл. 1 в соответствии с вариантом:

 

Таблица 1

Варианты заданий к изучению пакетаControlSystemToolbox:

Вариант Передаточные функции
     
 
 
 
 
 
 

 

Окончание табл. 1

 
   
   
   
   
   
   
           

 

Для первого из них получите переходную и весовую функции, амплитудно-фазовую частотную характеристику, логарифмическую амплитудную и фазовую частотные характеристики (в различных графических окнах), а также значения и расположение нулей и полюсов передаточной функции.

По полученным характеристикам определите:

– значения переходной функции в точке ее максимума и в точке первого минимума после наступления максимума, а также значения времени, соответствующие этим точкам;

– значения действительной и мнимой части амплитудно-фазовой частотной характеристики на частоте 1.09 рад/с;

– частоту, на которой логарифмическая амплитудная частотная характеристика имеет максимум и значение логарифмической амплитудной частотной характеристикина этой частоте;

– установите сетку на координатную плоскость и сохраните любую из характеристик в файле типа Bitmap, Visio и т.п.

 

III.Изучение приложения Simulink:

 

Задание 7.Создайте модель системы, структурная схема которой показана на рис. 1.

 

 

Рис. 1. Структурная схема автоматической системы

 

Задание 8.Составьте структурную схему и смоделируйте в среде Simulink объект первого порядка, математическое описание которого задано в виде передаточной функции

 

с ограничениями

.

 

Значения коэффициентов и ограничений взять из табл. 2.

 

Таблица 2

Варианты заданий к лабораторной работе (звено первого порядка)

Вариант
  50 мин
  1.81 мин
  8 мин 3 см 12 см
  13.8 мин 24 ˚С 68 ˚С

 

Окончание табл. 2

  26.8 мин 4.2 атм 12.6 атм
  32 с 12 атм 42 атм
  180 мин
  12.3 мин
  34 мин 16.3 атм 17.8 атм
  4.17 с 12% 71%
  0.24 с 112 мм 134 мм

 

Рассмотрите реакцию при нулевом, положительном и отрицательном начальных условиях и возмущающем воздействии в виде функции Хэвисайда (т.е. "единичного" ступенчатого возмущающего воздействия)в момент времени . Наблюдайте поведение системы на осциллографе (Scope) и выведите результаты наблюдения на печать.

 

Задание 9. Составьте структурную схему и смоделируйте в среде Simulink объект, описываемый уравнением второго порядка с постоянными коэффициентами

 

,

 

начальными условиями

 

,

и ограничениями

.

 

Исходные данные по коэффициентам уравнения необходимо взять из табл. 3, а по начальным условиям и ограничениям – из табл. 4.

Таблица 3

Варианты заданий к лабораторной работе (звено второго порядка)

Вариант
 
 
         
 
 
 
         
 
 
 
 

 

Окончание табл. 3

       

Таблица 4

Варианты заданий к лабораторной работе (звено второго порядка)

Вариант
min max
 
  38 атм 79 атм
  34 мм 82 мм
  50 % 100 мм 6250 мм
  40 % 0.3 атм 8.3 атм
 
 
  11 атм 42 атм
  6 атм 23 атм
  300 мм
  30 мм 102 мм
 

 

Рассмотрите поведение системы для в виде функции

Хевисайда от уровня величиной в момент времени при следующих начальных условиях:

 

,

 

Наблюдайте поведение системы на осциллографе (Scope) и выведите результаты наблюдения на печать.

 

Необходимые для выполнения приведенных заданий теоретические сведения и сведения по работе с ППП Matlab приведены в приложении 1.

 




Поделиться с друзьями:


Дата добавления: 2014-11-08; Просмотров: 748; Нарушение авторских прав?; Мы поможем в написании вашей работы!


Нам важно ваше мнение! Был ли полезен опубликованный материал? Да | Нет



studopedia.su - Студопедия (2013 - 2026) год. Все материалы представленные на сайте исключительно с целью ознакомления читателями и не преследуют коммерческих целей или нарушение авторских прав! Последнее добавление




Генерация страницы за: 0.025 сек.