Студопедия

КАТЕГОРИИ:


Архитектура-(3434)Астрономия-(809)Биология-(7483)Биотехнологии-(1457)Военное дело-(14632)Высокие технологии-(1363)География-(913)Геология-(1438)Государство-(451)Демография-(1065)Дом-(47672)Журналистика и СМИ-(912)Изобретательство-(14524)Иностранные языки-(4268)Информатика-(17799)Искусство-(1338)История-(13644)Компьютеры-(11121)Косметика-(55)Кулинария-(373)Культура-(8427)Лингвистика-(374)Литература-(1642)Маркетинг-(23702)Математика-(16968)Машиностроение-(1700)Медицина-(12668)Менеджмент-(24684)Механика-(15423)Науковедение-(506)Образование-(11852)Охрана труда-(3308)Педагогика-(5571)Полиграфия-(1312)Политика-(7869)Право-(5454)Приборостроение-(1369)Программирование-(2801)Производство-(97182)Промышленность-(8706)Психология-(18388)Религия-(3217)Связь-(10668)Сельское хозяйство-(299)Социология-(6455)Спорт-(42831)Строительство-(4793)Торговля-(5050)Транспорт-(2929)Туризм-(1568)Физика-(3942)Философия-(17015)Финансы-(26596)Химия-(22929)Экология-(12095)Экономика-(9961)Электроника-(8441)Электротехника-(4623)Энергетика-(12629)Юриспруденция-(1492)Ядерная техника-(1748)

А б в г




4 5 6

1 2 3

0.4794 0.6442 0.8415

0.9894 0.4121 –0.5440

Columns 8 through 10

0.8415 0.9093 0.1411 –0.7568 –0.9589 –0.2794 0.6570

0.8415 –0.3508 –0.2794 0.7985 –1.0000 0.8038 –0.2879

0.7174 0.0998 0.1411

0.8415 0.1411 –0.5366

в) »x = [0.5 0.7 1]

Y = sin(x)

??? x = [0.5 0.7 1] Y = sin(x)

Error: Missing MATLAB operator

Рис. 2. Правильная запись вычисления функции на одномерном (а) и

многомерном (б) массивах и неправильная (в) (пропуск точки с запятой после первого оператора)

 

12. Если не указана переменная для значения результата вычислений, то Matlab назначает такую переменную с именем ans.

13. Результат вычислений выводится в строках вывода (без знака >>).

14. Для вычисления функции на одномерном или многомерном матричных массивах значений аргумента необходимо выполнить действия согласно рис.13.

В векторе (одномерном массиве) значения заключены в квадратные скобки и отделяются друг от друга пробелом (рис.3, а); в матрице (многомерном массиве) значения заключены тоже в квадратные скобки, причем, строки отделяются точкой с запятой (порядок следования строк: левая выше правой), а значения в каждой строке отделяются аналогично вектору (рис.3, б).

15. Если значения аргумента вычисляемой функции являются членами отрезка арифметической прогрессии с заданной разностью (шагом), то для записи аргумента применяется оператор «:» (двоеточие) – см. рис. 3. При разности, равной единице, ее запись в операторе можно опускать (см. рис. 3, б).

 

а) » x=[1:2.5:16.5];

Y=sin(x)

Y =

б) » x=1:10;

Y=sin(x)

Y = Columns 1 through 7

в) x=[1:2.5:11.5; 2:6];

Y=sin(x)

Y = 0.8415 -0.3508 -0.2794 0.7985 -1.0000 0.9093 0.1411 -0.7568 -0.9589 -0.2794

Рис. 3. Правильная запись вычисления функции на одномерном массиве аргумента в виде отрезка арифметической прогрессии (с разностями 2,5 (а) и 1 (б)) и в виде 2-строчной матрицы с теми же разностями (в)

 

Для правильной записи значений матрицы аргумента, когда ее строки являются отрезками арифметических прогрессий, необходимо руководствоваться правилами 14 и 15 одновременно.

16. Комментарии записываются в отдельную строку, помечаемую знаком «%» (процент) в первом знакоместе строки (см. рис. 4, а).

Разбиение строки с длинным выражением или комментарием на две производится установкой курсора перед переносимой на создаваемую вторую строку частью выражения и нажатием клавиш Shift + Enter (см. рис. 4, б) – двукратное разбиение выражения х = [23 45 67 45] на три строки).

17. Соединение двух строк в одну в программе или в выражении производится установкой курсора в начало второй строки и нажатием клавиш Shift + Backspace (рис. 4, в) – соединение двух строк с выражениями 67 и 45]).

 

а) »x=[0.5 0.7 1];

Y=sin(x)

% Комментарии размещаются в отдельных строках

Y =

б) » x=[23 45 67 45]

x=[23 45

45]

в) » x=[23 45 67

45]

 

Рис. 4. Ввод комментария в вычисляемое выражение или программу (а), разбиение первой строки на три (б), объединение 3-й и 2-й строк (в)

 

18. Вычисляемое выражение сразу после завершения вычисления можно ввести вновь в текущее место ввода нажатием кнопки «стрелка вверх» ↑ (для изменения величин аргументов или коррекции выражения).

Повторное нажатие кнопки ↑ заменит текущие условия на условия, им предшествующие: этот процесс можно повторять многократно, добиваясь вызова в место ввода все более ранних вычислительных условий.

Ранее вытеснявшееся выражение можно быстро вставить в место ввода путем выделения его левой кнопкой мышки (кнопка далее отпускается) и небольшого протягивания его вниз повторно нажатой левой кнопкой: Matlab сам вставит выделенное выражение.

19. Ранее примененную функцию можно вставить в командное окно через копирование её из окна Command History (Протокола команд), в котором все ранее использованные команды и функции сохраняются до тех пор, пока пользователь не удалит их.

20. Чтобы сохранить данные вычислений в окне управления (выражения, программы, результаты или их части) для повторного вызова и работы, необходимо:

− выделить данные,

− скопировать их в буфер,

− вызвать редактор-отладчик m -файлов через меню «Файл-Создать-m-файл», либо командой edit в командном окне,

− вставить скопированные данные в открывшийся новый m -файл и сохранить его через меню редактора File-SaveAs…Файл-

Сохранить как»).

21. Для продолжения вычислительной работы в окне управления с данными, сохраненными по правилам п.20, необходимо через меню «Файл-Открыть» открыть требуемый файл, выделить в нем требуемые для работы фрагменты, скопировать их в буфер и вставить в текущее место ввода окна управления.

Рассмотрим применение перечисленных выше правил для выполнения вычислений.

Использование переменных. Результат вычислений можно присвоить любой переменной, определенной пользователем. Имя переменной должно начинаться с буквы и может состоять из букв, цифр и символа подчеркивания. Система Matlab различает строчные и прописные буквы в именах переменных (A и a – это разные переменные). Знак = соответствует операции присваивания. Значения переменных, вычисленные в течение текущего сеанса работы, сохраняются в специально зарезервированной области памяти компьютера, называемой рабочим пространством (Workspace). Использование переменных рассмотрено в примере 1.

 

Пример 1. Использование переменных

 

Комментарии к вычислениям:

Если в конце строки ставится точка с запятой, то результат не будет выведен после нажатия Enter.

Здесь нет точки с запятой, и после нажатия Enter результат выводится и присваивается переменной c.

Для того чтобы узнать значение переменной достаточно ввести ее имя в командную строку и нажать Enter.

Использование Matlab как калькулятора иллюстрирует также пример 2.

 

Пример 2. Использование Matlab как калькулятора

Комментарии к вычислениям:

Нажатие клавиши Enter.

Результат присваивается переменной с именем ans

Результат выводится в формате с плавающей точкой. Такая запись означает 1.5031·103.

Длинные выражения можно записать в нескольких строках с использованием в качестве знака переноса символа многоточия .

 

Использование массивов. В системе Matlab также используются массивы, математической формой представления которых являются матрицы. Напомним основные действия над матрицами и их реализацию в Matlab.

1. Присвоение значений матрице. Простейшей операций с матрицей является ее создание. Для создания столбца необходимо указать его имя, знак равенства и в квадратных скобках через запятую или через пробел перечислить значения элементов. Например:

 

A=[1 2 3 4 5]

 

A =

1 2 3 4 5

 

В случае если необходимо создать столбец чисел, то в качестве разделителя используется символ «;» (точка с запятой), например:

 

A=[1;2;3;4;5]

A =

 

Для создания квадратной или прямоугольной матрицы необходимо чередовать оба этих способа, например:

C=[ 1 2 3;4 5 6;7 8 9]

C =

7 8 9.

2. Создание матриц специального вида. В математике встречаются матрицы специального вида, часто используемые при решении прикладных задач. Ниже приведен ряд из них.

Единичная матрица, рис. 5, а. В единичной матрице все элементы

 

Рис.5. Специальные матрицы

 

равны нулю, кроме элементов стоящих на главной диагонали и

равных единице. Для создания единичной матрицы необходимо подать команду

<Имя матрицы>=eye(<размер>).

 

Например: A=eye(4).

Единичная матрица может быть только квадратной.

Матрица со всеми единицами, рис. 5, б. Эта матрица содержит единицы во всех ячейках. Для создания матрицы необходимо указать

Имя матрицы=ones(Кол-во строк, Кол-во столбцов)

 

Например: A=ones(3, 4).

Нулевая матрица, рис. 5, в. Эта матрица содержит во всех своих ячейках одни нули. Для создания необходимо выполнить следующую команду:

 

Имя матрицы=zeros(кол-во строк, кол-во столбцов)

 

Например: A=zeros(4, 2).

Случайная матрица, рис. 5, г. Все значения этой матрицы получаются с генератора случайных чисел. Для создания такой матрицы необходимо задать следующую команду:

 

Имя матрицы=rand(кол-во строк, кол-во столбцов)

 

Например: A=rand(6, 3). По умолчанию в качестве элементов матрицы используются вещественные числа.

 

Доступ к ячейкам матрицы. Для доступа к ячейкам матрицы необходимо указать имя матрицы, номер строки и номер столбца. Нумерация строк и столбцов ведется с единицы. Номера пишутся в круглых скобках. Общий формат записи

 

Имя массива(номер строки, номер столбца)

 

Например: A(1,2).

Присвоение матрице математического выражения. Организация всех переменных системы Matlab как матрицы вызывает следующие ограничения применения их в выражениях.

 

Пример 3.

 

t=1:5

y=cos(t)

t = 1 2 3 4 5

y = 0.5403 -0.4161 -0.9900 -0.6536 0.2837

y=[1 0.5 -0.4 -1 -0.6];

z=y/t

z =

-0.1127

 

Результат – единственное число, а не функция z(t)=cos(t)/ t (!), как ожидалось. Причина этой ситуации в том, что обычные арифметические операции выполняются над числами, а ожидаемый результат требует выполнения операции над множеством значений (вектором).

Для организации поэлементного выполнения арифметических операций предусмотрена специальная форма их записи: «.op». Для приведенного выше примера применение операций деления одного массива на другой в виде «./» дает следующий результат:

 

t = 1:5;

y = [1 0.5 -0.4 -1 -0.6];

z = y./t

z = 1.0000 0.2500 -0.1333 -0.2500 -0.1200

 

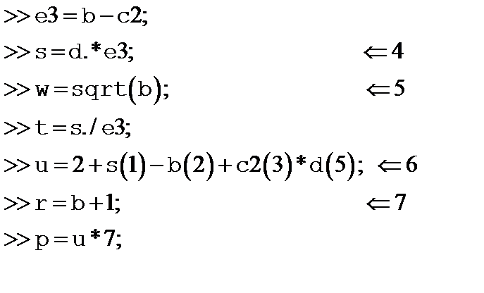
Использование массивов рассмотрено в примере 4.

 

Пример 4. Использование массивов.

 

Комментарии к вычислениям:

Элементы массива задаются в квадратных скобках и разделяются пробелами.

Другой способ задать массив в виде x:y:z, где x – первый элемент массива, z – последний элемент массива, y – приращение каждого следующего элемента над предыдущим. Здесь элементами массива будут 2 2,5 3 3,5 4.

Сложение и вычитание массивов осуществляется поэлементно.

Операции поэлементного умножения и деления массивов обозначаются: .* и. /

Взятие функции от каждого элемента массива. В результате получится массив той же размерности.

Использование отдельных элементов массива. Номер элемента указывается после имени переменной массива в круглых скобках. Нумерация элементов начинается с единицы.

Сложение и умножение всех элементов массива на число.

 

 




Поделиться с друзьями:


Дата добавления: 2014-11-08; Просмотров: 450; Нарушение авторских прав?; Мы поможем в написании вашей работы!


Нам важно ваше мнение! Был ли полезен опубликованный материал? Да | Нет



studopedia.su - Студопедия (2013 - 2026) год. Все материалы представленные на сайте исключительно с целью ознакомления читателями и не преследуют коммерческих целей или нарушение авторских прав! Последнее добавление




Генерация страницы за: 0.008 сек.