Студопедия

КАТЕГОРИИ:


Архитектура-(3434)Астрономия-(809)Биология-(7483)Биотехнологии-(1457)Военное дело-(14632)Высокие технологии-(1363)География-(913)Геология-(1438)Государство-(451)Демография-(1065)Дом-(47672)Журналистика и СМИ-(912)Изобретательство-(14524)Иностранные языки-(4268)Информатика-(17799)Искусство-(1338)История-(13644)Компьютеры-(11121)Косметика-(55)Кулинария-(373)Культура-(8427)Лингвистика-(374)Литература-(1642)Маркетинг-(23702)Математика-(16968)Машиностроение-(1700)Медицина-(12668)Менеджмент-(24684)Механика-(15423)Науковедение-(506)Образование-(11852)Охрана труда-(3308)Педагогика-(5571)Полиграфия-(1312)Политика-(7869)Право-(5454)Приборостроение-(1369)Программирование-(2801)Производство-(97182)Промышленность-(8706)Психология-(18388)Религия-(3217)Связь-(10668)Сельское хозяйство-(299)Социология-(6455)Спорт-(42831)Строительство-(4793)Торговля-(5050)Транспорт-(2929)Туризм-(1568)Физика-(3942)Философия-(17015)Финансы-(26596)Химия-(22929)Экология-(12095)Экономика-(9961)Электроника-(8441)Электротехника-(4623)Энергетика-(12629)Юриспруденция-(1492)Ядерная техника-(1748)

Закон распределения функции случайных величин




Композиция распределений.

Закон распределения функции случайных величин.

Тема 6. Функции случайных величин и векторов

3)Распределения: хи-квадрат Пирcона, t-Стьюдента, F-Фишера-Снедекора.

Пусть имеется непрерывная случайная величина X с функцией плотности вероятности f(x). Другая случайная величина Y связана со случайной величиной X функциональной зависимостью: Y=φ(X). Случайная точка (X, Y) может находиться только на кривой y=φ(x).

Дифференциальная функция случайной величины Y определяется при условии, что φ(x) - монотонна на интервале (a, b), тогда для функции φ(x) существует обратная функция: φ-1=Ψ, х = Ψ(y).

Обычно числовая прямая разбивается на n промежутков монотонности и обратная функция находится на каждом из них, поэтому:

, (5.1)

g(y) - дифференциальная функция случайной величины Y.

Математическое ожидание и дисперсию случайной величины Y – функции случайной величины X(Y=j(Х)), имеющей дифференциальную функцию f(x), можно определить по формулам:

(5.2)

. (5.3)

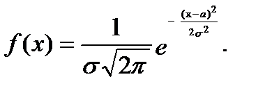
Пример. Случайная величина X подчиняется нормальному закону распределения с математическим ожиданием а и дисперсией s2, то есть дифференциальная функция имеет вид:

Найти дифференциальную функцию случайной величины Y=X2

Решение. На (0;¥), для y=x2, обратная функция x= = y1;

на (- ¥;0) - обратная функция x= - = y2. По формуле (5.1):

g(y)= =

=

При a=0 и s=1: .




Поделиться с друзьями:


Дата добавления: 2014-11-20; Просмотров: 987; Нарушение авторских прав?; Мы поможем в написании вашей работы!


Нам важно ваше мнение! Был ли полезен опубликованный материал? Да | Нет



studopedia.su - Студопедия (2013 - 2025) год. Все материалы представленные на сайте исключительно с целью ознакомления читателями и не преследуют коммерческих целей или нарушение авторских прав! Последнее добавление




Генерация страницы за: 0.011 сек.