Студопедия

КАТЕГОРИИ:


Архитектура-(3434)Астрономия-(809)Биология-(7483)Биотехнологии-(1457)Военное дело-(14632)Высокие технологии-(1363)География-(913)Геология-(1438)Государство-(451)Демография-(1065)Дом-(47672)Журналистика и СМИ-(912)Изобретательство-(14524)Иностранные языки-(4268)Информатика-(17799)Искусство-(1338)История-(13644)Компьютеры-(11121)Косметика-(55)Кулинария-(373)Культура-(8427)Лингвистика-(374)Литература-(1642)Маркетинг-(23702)Математика-(16968)Машиностроение-(1700)Медицина-(12668)Менеджмент-(24684)Механика-(15423)Науковедение-(506)Образование-(11852)Охрана труда-(3308)Педагогика-(5571)Полиграфия-(1312)Политика-(7869)Право-(5454)Приборостроение-(1369)Программирование-(2801)Производство-(97182)Промышленность-(8706)Психология-(18388)Религия-(3217)Связь-(10668)Сельское хозяйство-(299)Социология-(6455)Спорт-(42831)Строительство-(4793)Торговля-(5050)Транспорт-(2929)Туризм-(1568)Физика-(3942)Философия-(17015)Финансы-(26596)Химия-(22929)Экология-(12095)Экономика-(9961)Электроника-(8441)Электротехника-(4623)Энергетика-(12629)Юриспруденция-(1492)Ядерная техника-(1748)

Энергия электрического поля системы зарядов




Потенциальная энергия Wp неподвижной системы зарядов представляет собой работу, необходимую для создания этой системы из отдельных частей, т.е. энергию, запасенную в созданной системе. Это - скалярная величина, являющаяся свойством системы в целом. Соберем систему из трех зарядов, последовательно перенося их из бесконечности в данные точки пространства, как показано на рис. 6.1. При переносе первого заряда в пространстве, где отсутствует электрическое поле, сила на заряд не действует, и работа не совершается. При переносе второго заряда работа составит

 

Поскольку r изменяется от бесконечности до r12, то drв отрицательно. Очевидно, что работа, произведенная над системой, будет положительной для одноименных зарядов, так как они отталкиваются. Перенос третьего заряда будет осуществляться в поле двух зарядов. На основании принципа суперпозиции это поле есть сумма полей, создаваемых каждым из зарядов. Тогда работа, производимая внешними силами над третьим зарядом будет равна сумме двух работ, одна из которых необходима для переноса заряда q3, если имеется только один заряд q1, а другая требуется для переноса заряда q3 при наличии только одного заряда q2

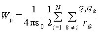
Следовательно, потенциальная энергия системы из трех зарядов, равная полной работе, затраченной на образование указанного на рис.6.1 расположения зарядов, составит Нетрудно видеть, что полученный результат не зависит от порядка переноса зарядов. Как всегда в определении потенциальной энергии существует некоторый произвол. В данном случае нулевое значение потенциальной энергии соответствует ситуации, когда все три заряда находятся на бесконечно больших расстояниях друг от друга. Очевидно, что если система состоит из N зарядов, то в выражении (6.3) будет N слагаемых того же вида. Один из способов написания такой суммы по парам зарядов следующий

 

Знак двойной суммы обозначает: возьмите i=1 и суммируйте по k=2,3,4,...,N; затем возьмите i=2 и суммируйте по k=1,3,4,...N; и т.д. до i=N. Ясно, что при этом каждая пара войдет в сумму дважды, поэтому перед знаком суммы стоит множитель 1/2.На основании (1.15) потенциальную энергию (6.4) системы зарядов можно представить следующим образом

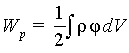
где φi - потенциал, создаваемый всеми зарядами кроме qi, в той точке, где помещается заряд qi.Обобщение полученного выражения (6.5) на случай непрерывного распределения заряда с объемной плотностью ρ производится аналогично переходу от (1.15) к (1.16):

 




Поделиться с друзьями:


Дата добавления: 2014-12-08; Просмотров: 495; Нарушение авторских прав?; Мы поможем в написании вашей работы!


Нам важно ваше мнение! Был ли полезен опубликованный материал? Да | Нет



studopedia.su - Студопедия (2013 - 2026) год. Все материалы представленные на сайте исключительно с целью ознакомления читателями и не преследуют коммерческих целей или нарушение авторских прав! Последнее добавление




Генерация страницы за: 0.012 сек.