Студопедия

КАТЕГОРИИ:


Архитектура-(3434)Астрономия-(809)Биология-(7483)Биотехнологии-(1457)Военное дело-(14632)Высокие технологии-(1363)География-(913)Геология-(1438)Государство-(451)Демография-(1065)Дом-(47672)Журналистика и СМИ-(912)Изобретательство-(14524)Иностранные языки-(4268)Информатика-(17799)Искусство-(1338)История-(13644)Компьютеры-(11121)Косметика-(55)Кулинария-(373)Культура-(8427)Лингвистика-(374)Литература-(1642)Маркетинг-(23702)Математика-(16968)Машиностроение-(1700)Медицина-(12668)Менеджмент-(24684)Механика-(15423)Науковедение-(506)Образование-(11852)Охрана труда-(3308)Педагогика-(5571)Полиграфия-(1312)Политика-(7869)Право-(5454)Приборостроение-(1369)Программирование-(2801)Производство-(97182)Промышленность-(8706)Психология-(18388)Религия-(3217)Связь-(10668)Сельское хозяйство-(299)Социология-(6455)Спорт-(42831)Строительство-(4793)Торговля-(5050)Транспорт-(2929)Туризм-(1568)Физика-(3942)Философия-(17015)Финансы-(26596)Химия-(22929)Экология-(12095)Экономика-(9961)Электроника-(8441)Электротехника-(4623)Энергетика-(12629)Юриспруденция-(1492)Ядерная техника-(1748)

Электронная теория электропроводности. Электропроводность полупров-ков




Энергия и плотность энергии электрического поля.

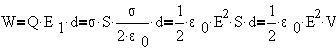
Формулу энергии поля конденсатора можно также получить, осуществив мысленный эксперимент по перемещению обкладки плоского конденсатора в однородном поле другой обкладки E1 на расстояние d:

Интересно провести преобразования так, чтобы в формуле фигурировали напряженность поля конденсатора Е=2E1 и его геометрические размеры:

Полученная формула показывает, что энергия электрического поля рассредоточена по всему объему, занимаемому полем, с плотностью энергии, равной:

Здесь видно, что w численно равна энергии единицы объема поля. При наличии в области поля диэлектрика плотность энергии и полная энергия поля возрастают в раз (дополнительный заряд для компенсации поля поверхностного заряда диэлектрика):

 

Исходя из представлений о свободных электронах, Друде разработал классическую теорию электропроводности металлов, которая затем была усовершенствована Лоренцем. Друде предположил, что электроны проводимости в металле ведут себя подобно молекулам идеального газа. В промежутках между соударениями они движутся совершено свободно, пробегая в среднем некоторый путь. Правда в отличие от молекул газа, пробег которых определяется соударениями молекул друг с другом, электроны сталкиваются преимущественно не между собой, а с ионами, образующими кристаллическую решетку металла. Эти столкновения приводят к установлению теплового равновесия между электронным газом и кристаллической решеткой. Полагая, что на электронный газ могут быть распространены результаты кинетической теории газов, оценку средней скорости теплового движения электронов можно произвести по формуле

.

Для комнатной температуры (300К) вычисление по этой формуле приводит к следующему значению: . При включении поля на хаотическое тепловое движение, происходящее, со скоростью , накладывается упорядоченное движение электронов с некоторой средней скоростью . Величину этой скорости легко оценить, исходя из формулы, связывающей плотность тока j с числом n носителей в единице объема, их зарядом е и средней скоростью : Предельная допустимая техническими нормами плотность тока для медных проводов составляет около 10 А/мм2 = 107 А/м2. Взяв для n=1029 м-3, получим

 

Таким образом, даже при больших плотностях тока средняя скорость упорядоченного движения зарядов в 108раз меньше средней скорости теплового движения.

 

Электропроводность полупроводников. Полупроводники – вещества, в которых в валентной зоне находится 4 электрона. (Кремний). При температуре Т=0 К все связи заполнены электронами, что соответствует полностью заполненной валентной зоне и пустой зоне проводимости, отделенной от валентной зоны по энергии на 1,1 эВ. При увеличении температуры до примерно 200-300 К некоторые электроны из валентной зоны смогут перейти в зону проводимости; это соответствует "уходу" электрона из ковалентной связи 1 и превращению его в "свободно перемещающийся" по кристаллу электрон. На месте опустевшей ковалентной связи образуется дырка - "разорвавшаяся" ковалентная связь, которую покинул электрон. Электрон из соседней связи может "перескочить" в "дырку", тогда дырка как бы переместится на новое место 2. Поскольку электроны и дырки образуются парами, то, очевидно, что число дырок в рассмотренном случае равно числу электронов. Один из свободных электронов может занять одну из дырок; в результате они оба исчезнут, такой процесс называется рекомбинацией электрона и дырки (3. В состоянии равновесия устанавливается равенство чисел скорости зарождения и рекомбинации электронов и дырок и связанные с ними концентрации последних, зависящие от температуры полупроводника, а также от частоты и интенсивности падающих на полупроводник излучений. Можно получить зависимость проводимости полупроводника от температуры. Вероятность образования пары электрон - дырка с минимальной энергией (очевидно, такая пара получается если электрон проводимости обладает наименьшей энергией, а дырка - наибольшей будет максимальной. Именно такие пары в основном образуются при температуре порядка и дают основной вклад в концентрацию свободных носителей заряда.

 

 




Поделиться с друзьями:


Дата добавления: 2014-12-08; Просмотров: 525; Нарушение авторских прав?; Мы поможем в написании вашей работы!


Нам важно ваше мнение! Был ли полезен опубликованный материал? Да | Нет



studopedia.su - Студопедия (2013 - 2026) год. Все материалы представленные на сайте исключительно с целью ознакомления читателями и не преследуют коммерческих целей или нарушение авторских прав! Последнее добавление




Генерация страницы за: 0.009 сек.