Студопедия

КАТЕГОРИИ:


Архитектура-(3434)Астрономия-(809)Биология-(7483)Биотехнологии-(1457)Военное дело-(14632)Высокие технологии-(1363)География-(913)Геология-(1438)Государство-(451)Демография-(1065)Дом-(47672)Журналистика и СМИ-(912)Изобретательство-(14524)Иностранные языки-(4268)Информатика-(17799)Искусство-(1338)История-(13644)Компьютеры-(11121)Косметика-(55)Кулинария-(373)Культура-(8427)Лингвистика-(374)Литература-(1642)Маркетинг-(23702)Математика-(16968)Машиностроение-(1700)Медицина-(12668)Менеджмент-(24684)Механика-(15423)Науковедение-(506)Образование-(11852)Охрана труда-(3308)Педагогика-(5571)Полиграфия-(1312)Политика-(7869)Право-(5454)Приборостроение-(1369)Программирование-(2801)Производство-(97182)Промышленность-(8706)Психология-(18388)Религия-(3217)Связь-(10668)Сельское хозяйство-(299)Социология-(6455)Спорт-(42831)Строительство-(4793)Торговля-(5050)Транспорт-(2929)Туризм-(1568)Физика-(3942)Философия-(17015)Финансы-(26596)Химия-(22929)Экология-(12095)Экономика-(9961)Электроника-(8441)Электротехника-(4623)Энергетика-(12629)Юриспруденция-(1492)Ядерная техника-(1748)

Энергия и плотность энергии магнитного поля




Закон Ома для этой цепи и для малого промежутка времени (мгновения) можно записать в виде

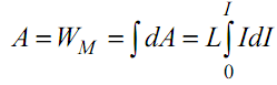
где U – напряжение на источнике тока. . Левая часть полученного равенства есть энергия, отдаваемая источником ЭДС. Первый элемент правой части – тепловая энергия по закону Джоуля – Ленца. Второй элемент правой части может быть только энергией, запасаемой в индуктивном элементе цепи, т.е. энергией магнитного поля или эквивалентной ей работой, затрачиваемой на увеличение сцепленного с контуром магнитного поля Поэтому Если проинтегрировать последнее выражение по току в пределах от 0 до I, то получим работу, эквивалентную энергии магнитного поля в индуктивном элементе при токе I:

, Магнитное поле соленоида однородно и локализовано внутри него, поэтому энергия распределена по объему соленоида с постоянной плотностью

=>




Поделиться с друзьями:


Дата добавления: 2014-12-08; Просмотров: 435; Нарушение авторских прав?; Мы поможем в написании вашей работы!


Нам важно ваше мнение! Был ли полезен опубликованный материал? Да | Нет



studopedia.su - Студопедия (2013 - 2026) год. Все материалы представленные на сайте исключительно с целью ознакомления читателями и не преследуют коммерческих целей или нарушение авторских прав! Последнее добавление




Генерация страницы за: 0.01 сек.