Студопедия

КАТЕГОРИИ:


Архитектура-(3434)Астрономия-(809)Биология-(7483)Биотехнологии-(1457)Военное дело-(14632)Высокие технологии-(1363)География-(913)Геология-(1438)Государство-(451)Демография-(1065)Дом-(47672)Журналистика и СМИ-(912)Изобретательство-(14524)Иностранные языки-(4268)Информатика-(17799)Искусство-(1338)История-(13644)Компьютеры-(11121)Косметика-(55)Кулинария-(373)Культура-(8427)Лингвистика-(374)Литература-(1642)Маркетинг-(23702)Математика-(16968)Машиностроение-(1700)Медицина-(12668)Менеджмент-(24684)Механика-(15423)Науковедение-(506)Образование-(11852)Охрана труда-(3308)Педагогика-(5571)Полиграфия-(1312)Политика-(7869)Право-(5454)Приборостроение-(1369)Программирование-(2801)Производство-(97182)Промышленность-(8706)Психология-(18388)Религия-(3217)Связь-(10668)Сельское хозяйство-(299)Социология-(6455)Спорт-(42831)Строительство-(4793)Торговля-(5050)Транспорт-(2929)Туризм-(1568)Физика-(3942)Философия-(17015)Финансы-(26596)Химия-(22929)Экология-(12095)Экономика-(9961)Электроника-(8441)Электротехника-(4623)Энергетика-(12629)Юриспруденция-(1492)Ядерная техника-(1748)

Токи в цепях с индуктивностью




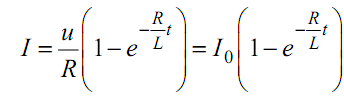
Для анализа зависимостей тока в цепи с индуктивностью при подключении цепи к источнику тока и отключении от источника воспользуемся законом Ома для участка цепи

,преобразуем к

 

Умножим обе части этого равенства на , , Заменим ( переменной υ . Проинтегрируем полученное выражение , где lnC – постоянная интегрирования. Потенцируем последнее выражение где - максимально возможный ток в цепи. При размыкании цепи t = 0, u = 0, т.к. источник тока отключается от цепи. Поскольку ток в цепи определяется в основном ЭДС самоиндукции; то I = I0, т.е. ток в цепи равен току до момента отключения источника тока. Поэтому при данных начальных условиях . Подставляя С, получаем функцию тока от времени при размыкании цепи с индуктивностью в виде Откуда следует, что чем больше R/L, тем быстрее завершается переходный процесс при замыкании и размыкании цепи.

 

 




Поделиться с друзьями:


Дата добавления: 2014-12-08; Просмотров: 398; Нарушение авторских прав?; Мы поможем в написании вашей работы!


Нам важно ваше мнение! Был ли полезен опубликованный материал? Да | Нет



studopedia.su - Студопедия (2013 - 2026) год. Все материалы представленные на сайте исключительно с целью ознакомления читателями и не преследуют коммерческих целей или нарушение авторских прав! Последнее добавление




Генерация страницы за: 0.011 сек.