Студопедия

КАТЕГОРИИ:


Архитектура-(3434)Астрономия-(809)Биология-(7483)Биотехнологии-(1457)Военное дело-(14632)Высокие технологии-(1363)География-(913)Геология-(1438)Государство-(451)Демография-(1065)Дом-(47672)Журналистика и СМИ-(912)Изобретательство-(14524)Иностранные языки-(4268)Информатика-(17799)Искусство-(1338)История-(13644)Компьютеры-(11121)Косметика-(55)Кулинария-(373)Культура-(8427)Лингвистика-(374)Литература-(1642)Маркетинг-(23702)Математика-(16968)Машиностроение-(1700)Медицина-(12668)Менеджмент-(24684)Механика-(15423)Науковедение-(506)Образование-(11852)Охрана труда-(3308)Педагогика-(5571)Полиграфия-(1312)Политика-(7869)Право-(5454)Приборостроение-(1369)Программирование-(2801)Производство-(97182)Промышленность-(8706)Психология-(18388)Религия-(3217)Связь-(10668)Сельское хозяйство-(299)Социология-(6455)Спорт-(42831)Строительство-(4793)Торговля-(5050)Транспорт-(2929)Туризм-(1568)Физика-(3942)Философия-(17015)Финансы-(26596)Химия-(22929)Экология-(12095)Экономика-(9961)Электроника-(8441)Электротехника-(4623)Энергетика-(12629)Юриспруденция-(1492)Ядерная техника-(1748)

Расчётная часть работы




1. Рассчитать семь удельных механических нагрузок для провода (на 1 м длины и 1 мм 2 площади поперечного сечения). Конструктивные размеры и масса провода определяются по [3].

В соответствии с Uном ВЛ и районом её сооружения по

гололёдообразованию [1,2] нормируется толщина стенки гололёда вн, соответствующая подвеске стержня диаметром 10 мм на высоте 10 м, температура воздуха при этом 0 —5°С. Расчётная толщина стенки гололёда для провода



 


Рис.4.2 Воздушная одноцепная линия: а) схема пролёта; б) размеры промежуточной опоры

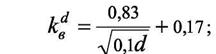
где кв - поправочный коэффициент на диаметр провода d, мм:



 


к - поправочный коэффициент на высоту подвески проводов:

Здесь п - высота расположения в м приведённого центра тяжести всех проводов:



 


где h - средняя высота крепления проводов к изоляторам,f- стрела провеса

принимаются в соответствии с рис.4.2, б.

При высоте расположения приведённого центра тяжести проводов до 25 м

поправки kв и&0 не вводятся [2]. Плотность чистого гололёда g0=9 00 кг/м3

Нормированный скоростной напор ветра qvн задаётся на высоте до 15 м от

земли. При расположении центра тяжести провода на высоте более 15 м вводится поправочный коэффициент



 


Коэффициент kl, учитывающий влияние длины пролёта на ветровую нагрузку, выбирается в соответствии с табл. 4.2 [2].

 

l, м ≤50     200 м и более
k 1,2 1,1 1,05  

Промежуточные значения находятся путём интерполяции.

Коэффициент α, учитывающий неравномерность скоростного напора ветра по пролёту принимает следующие значения:

Аэродинамический коэффициент лобового сопротивления провода Cx= 1,1 для проводов d<20 мм, свободных от гололёда, во всех остальных случаях принимается равным —1,2, принять α=0,85, kl= 1.

2. Подобрать для заданной марки провода физико-механические
характеристики и допустимые механические напряжения при различных
климатических условиях [1,2]

3. Определить критический пролёт воздушной линии и выбрать расчётные
сочетания климатических условий для нормальной работы ВЛ.

Для монометаллических алюминиевых проводов определяющим для выбора расчётных климатических условий является второй критический пролёт [4].


4. Рассчитать критическую температуру и найти наибольшую стрелу провеса.

4.1 По уравнению состояния провода (4.1) определить напряжение в проводе при наибольшей вертикальной нагрузке γ3 и температуре гололёда



 


В правую часть уравнения подставляются значения величин, полученные по результатам расчёта в п.3.

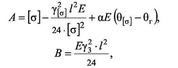
Вводя следующие обозначения:

перепишем выражение (4.2) в виде

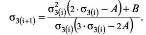
Решение уравнения (4.3) может быть получено методом последовательных приближений.

Формула итерационного процесса:

Здесь: σ3()i, σ3()i+1– соответственно механическое напряжение в проводе для i и (i+1) приближения. Начальное значение О3(о) °РиентиРовочно может

быть принято: σ3()0 = [ ]σ.

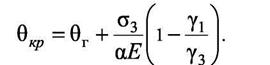
Предложенная методика используется для расчёта механических напряжений при любых климатических условиях. 4.2 Рассчитать критическую температуру

4.3 Определить условия, при которых в рассматриваемом пролёте, возникает наибольшая стрела провеса fнб:


Найти по уравнению состояния σ f и рассчитать значение fнб.

4.4 Проверить габаритную высоту для принятой опоры и выбранного пролёта (рис. 4.2) hг ≤ 6м.

5. Построить монтажные кривые, используя уравнение состояния, для

6 = - 20 ° С, 0° С, 20 ° С и 40 ° С. Определить стрелы провеса провода, механическое напряжение в точке провисания провода. В качестве расчётных климатических условий принять определённые в п. 3.

При монтаже провода ветер незначителен и гололёд отсутствует,

следовательно, при расчёте используется нагрузка γ1.

6. При максимальной стреле провеса рассчитать механические напряжения и
тяжение в низшей точке провисания провода и в точке закрепления.

 

Контрольные вопросы

1. Указать факторы, влияющие на механическую прочность проводов ВЛ,
объяснить их воздействие на линии передачи.

2. Указать область применения монометаллических проводов.

3. Как учитываются климатические условия местности, в которой
сооружается линия?

4. Объяснить физический смысл удельных механических нагрузок.

 

5. Для каких целей используется основное уравнение состояния провода в
пролёте?

6. Какие сочетания расчётных климатических условий являются
определяющими при механическом расчёте проводов из алюминия?

7. Что такое критический пролёт? Как определить второй критический
пролёт для монометаллического алюминиевого провода?

8. Выбор расчётных климатических условий для заданного пролёта
воздушной линии.

9. Что понимается под критической температурой?
10.Как рассчитать необходимую стрелу провеса?

11.В каких точках провода в пролёте напряжения и тяжения наибольшие?

12. Для чего и как используются монтажные кривые и таблицы?

13.Порядок расчёта монтажных кривых и составления монтажных таблиц.

14. Конструкции проводов В Л из алюминия.

15. Конструкции и назначения опор В Л для номинального напряжения
до110кВ

Литература

1. Правила устройства электроустановок / Минтопэнерго РФ. – 6-е изд.

– М.: Главэнергонадзор, 1998.

2. Мукосеев Ю. Л. Электроснабжение промышленных предприятий

/ Ю.Л. Мукосеев.– М.: Энергия, 1973.

3. Справочник по проектированию электроэнергетических систем / Под

ред. С.С. Рокотяна и И.М. Шапиро – М.: Энергоатомиздат,

1985.

4. Крюков К.П. Новгородцев Б.П. Конструкции и механический расчёт

линий электропередачи. – Л.: Энергия, 1979.

5. Электротехнический справочник. – В 3-х т. – 7-е изд.. / Под общ. ред.

И.Н. Орлова (гл. ред.) и др. – М.: Энергоатомиздат, 1988. – Т.2; Т.3.

6. Электрические системы. Электрические сети / Под ред. В.А.

Веникова, В.А. Строева. – М.: Высшая школа, 1998




Поделиться с друзьями:


Дата добавления: 2014-12-10; Просмотров: 782; Нарушение авторских прав?; Мы поможем в написании вашей работы!


Нам важно ваше мнение! Был ли полезен опубликованный материал? Да | Нет



studopedia.su - Студопедия (2013 - 2025) год. Все материалы представленные на сайте исключительно с целью ознакомления читателями и не преследуют коммерческих целей или нарушение авторских прав! Последнее добавление




Генерация страницы за: 0.013 сек.