Студопедия

КАТЕГОРИИ:


Архитектура-(3434)Астрономия-(809)Биология-(7483)Биотехнологии-(1457)Военное дело-(14632)Высокие технологии-(1363)География-(913)Геология-(1438)Государство-(451)Демография-(1065)Дом-(47672)Журналистика и СМИ-(912)Изобретательство-(14524)Иностранные языки-(4268)Информатика-(17799)Искусство-(1338)История-(13644)Компьютеры-(11121)Косметика-(55)Кулинария-(373)Культура-(8427)Лингвистика-(374)Литература-(1642)Маркетинг-(23702)Математика-(16968)Машиностроение-(1700)Медицина-(12668)Менеджмент-(24684)Механика-(15423)Науковедение-(506)Образование-(11852)Охрана труда-(3308)Педагогика-(5571)Полиграфия-(1312)Политика-(7869)Право-(5454)Приборостроение-(1369)Программирование-(2801)Производство-(97182)Промышленность-(8706)Психология-(18388)Религия-(3217)Связь-(10668)Сельское хозяйство-(299)Социология-(6455)Спорт-(42831)Строительство-(4793)Торговля-(5050)Транспорт-(2929)Туризм-(1568)Физика-(3942)Философия-(17015)Финансы-(26596)Химия-(22929)Экология-(12095)Экономика-(9961)Электроника-(8441)Электротехника-(4623)Энергетика-(12629)Юриспруденция-(1492)Ядерная техника-(1748)

Однородные дифференциальные уравнения




Если в уравнении (1)

функции М (x,y) и N (x,y) являются однородными функциями одной и той же степени, то уравнение (1) называется однородным.

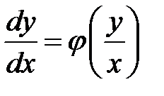
Приведенное свойство однородных функций нулевого порядка используется при решении однородных дифференциальных уравнений, то есть имеет место равенство ƒ (x,y) = . Замечая, что в правой части стоит функция только одного аргумента , и обозначая её через , мы видим, что однородное уравнение всегда можно представить в виде (2)

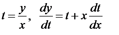
При произвольно заданной непрерывной функции j переменные не разделяются. Но так как в правую часть переменные входят только в комбинации , то можно ожидать, что уравнение упростится, если ввести подстановку , откуда

y=tx, (3) тогда t+x . (4)

Подставим выражения (3) и (4) в уравнение (2) , или .

Таким образом, мы получили уравнение с разделяющимися переменным (5)

В случае, когда (то есть ) уравнение (2) имеет вид , которое интегрируется с разделением переменных. Его общее решение .

Алгоритм решения однородного дифференциального уравнения:

1. Ввести новую функцию t = и подставить y = t x и t+x в уравнение (2).

2. В новых переменных t и x получить уравнение с разделяющимися переменными и найти его общее решение.

3. В полученном решении произвести обратную замену переменных t = и выписать решение исходного однородного уравнения.

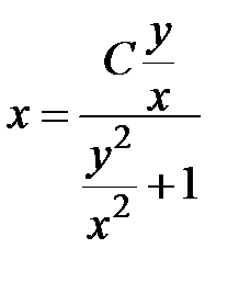
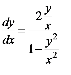
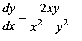
Пример 2. Решить уравнение .

Решение. Разделим числитель и знаменатель правой части на x 2: . Введем замену , тогда наше уравнение перепишется следующим образом. После упрощения получаем . Проинтегрируем последнее уравнение . Разложим подынтегральное выражение на элементарные дроби .

Þ получаем в итоге .

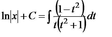
Вычислим интеграл

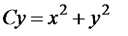
Окончательно получаем , или .

Делая обратную замену, получаем или .




Поделиться с друзьями:


Дата добавления: 2014-12-10; Просмотров: 411; Нарушение авторских прав?; Мы поможем в написании вашей работы!


Нам важно ваше мнение! Был ли полезен опубликованный материал? Да | Нет



studopedia.su - Студопедия (2013 - 2026) год. Все материалы представленные на сайте исключительно с целью ознакомления читателями и не преследуют коммерческих целей или нарушение авторских прав! Последнее добавление




Генерация страницы за: 0.009 сек.