Студопедия

КАТЕГОРИИ:


Архитектура-(3434)Астрономия-(809)Биология-(7483)Биотехнологии-(1457)Военное дело-(14632)Высокие технологии-(1363)География-(913)Геология-(1438)Государство-(451)Демография-(1065)Дом-(47672)Журналистика и СМИ-(912)Изобретательство-(14524)Иностранные языки-(4268)Информатика-(17799)Искусство-(1338)История-(13644)Компьютеры-(11121)Косметика-(55)Кулинария-(373)Культура-(8427)Лингвистика-(374)Литература-(1642)Маркетинг-(23702)Математика-(16968)Машиностроение-(1700)Медицина-(12668)Менеджмент-(24684)Механика-(15423)Науковедение-(506)Образование-(11852)Охрана труда-(3308)Педагогика-(5571)Полиграфия-(1312)Политика-(7869)Право-(5454)Приборостроение-(1369)Программирование-(2801)Производство-(97182)Промышленность-(8706)Психология-(18388)Религия-(3217)Связь-(10668)Сельское хозяйство-(299)Социология-(6455)Спорт-(42831)Строительство-(4793)Торговля-(5050)Транспорт-(2929)Туризм-(1568)Физика-(3942)Философия-(17015)Финансы-(26596)Химия-(22929)Экология-(12095)Экономика-(9961)Электроника-(8441)Электротехника-(4623)Энергетика-(12629)Юриспруденция-(1492)Ядерная техника-(1748)

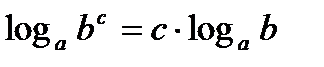
Свойства логарифмов




Алгоритм решения показательных неравенств

Алгоритм Образец решения
1. Выбираем основание
2. Приводим обе части неравенства к одному основанию
3. Если a > 1,то функция возрастающая, значит, знакнеравенства сохраняем;   Если 0 < a < 1,то функция убывающая, значит, знак неравенства меняем. так как а = 2 > 1, то функция возрастающая, значит,
4. Решаем полученное неравенство
Решение отмечаем на числовой оси  
5. Ответ

 

Логарифмы

где

определение логарифма

 

основное логарифмическое тождество

 

1.

2.

3.

4.

5.

6.

7.

8.

 

 

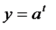
Функции и графики функций

Графики известных функций

График График n-положительное, чётное, натуральное число
n = 0 n=1
 
График График График
n-положительное, нечётное, натуральное число n-отрицательное, нечётное, целое число n-отрицательное, чётное, целое число

 




Поделиться с друзьями:


Дата добавления: 2014-12-16; Просмотров: 580; Нарушение авторских прав?; Мы поможем в написании вашей работы!


Нам важно ваше мнение! Был ли полезен опубликованный материал? Да | Нет



studopedia.su - Студопедия (2013 - 2026) год. Все материалы представленные на сайте исключительно с целью ознакомления читателями и не преследуют коммерческих целей или нарушение авторских прав! Последнее добавление




Генерация страницы за: 0.012 сек.