Студопедия

КАТЕГОРИИ:


Архитектура-(3434)Астрономия-(809)Биология-(7483)Биотехнологии-(1457)Военное дело-(14632)Высокие технологии-(1363)География-(913)Геология-(1438)Государство-(451)Демография-(1065)Дом-(47672)Журналистика и СМИ-(912)Изобретательство-(14524)Иностранные языки-(4268)Информатика-(17799)Искусство-(1338)История-(13644)Компьютеры-(11121)Косметика-(55)Кулинария-(373)Культура-(8427)Лингвистика-(374)Литература-(1642)Маркетинг-(23702)Математика-(16968)Машиностроение-(1700)Медицина-(12668)Менеджмент-(24684)Механика-(15423)Науковедение-(506)Образование-(11852)Охрана труда-(3308)Педагогика-(5571)Полиграфия-(1312)Политика-(7869)Право-(5454)Приборостроение-(1369)Программирование-(2801)Производство-(97182)Промышленность-(8706)Психология-(18388)Религия-(3217)Связь-(10668)Сельское хозяйство-(299)Социология-(6455)Спорт-(42831)Строительство-(4793)Торговля-(5050)Транспорт-(2929)Туризм-(1568)Физика-(3942)Философия-(17015)Финансы-(26596)Химия-(22929)Экология-(12095)Экономика-(9961)Электроника-(8441)Электротехника-(4623)Энергетика-(12629)Юриспруденция-(1492)Ядерная техника-(1748)

Вероятность случайного события




Треугольник Паскаля

Бином Ньютона

Определенный интеграл.

Свойства неопределенного интеграла

1.

2.

3.

Формула вычисления площади криволинейной трапеции (формула Ньютона-Лейбница)

Теория вероятностей и

математическая статистика

Факториал .

Перестановки – комбинация из n элементов по n элементов, где отличается только порядок их следования.

.

Размещения – из n элементов выбирается k элементов, которые отличаются хотя бы одним элементом или порядком их следования.

- с повторениями; - без повторений.

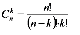
Сочетания – число комбинаций из n элементов по k элементов, которые отличаются хотя бы одним элементом, порядок не важен, важен состав.

   
       

 

,

где m – количество благоприятных исходов события А,

n - количество всевозможных исходов события А.




Поделиться с друзьями:


Дата добавления: 2014-12-16; Просмотров: 640; Нарушение авторских прав?; Мы поможем в написании вашей работы!


Нам важно ваше мнение! Был ли полезен опубликованный материал? Да | Нет



studopedia.su - Студопедия (2013 - 2026) год. Все материалы представленные на сайте исключительно с целью ознакомления читателями и не преследуют коммерческих целей или нарушение авторских прав! Последнее добавление




Генерация страницы за: 0.011 сек.