Студопедия

КАТЕГОРИИ:


Архитектура-(3434)Астрономия-(809)Биология-(7483)Биотехнологии-(1457)Военное дело-(14632)Высокие технологии-(1363)География-(913)Геология-(1438)Государство-(451)Демография-(1065)Дом-(47672)Журналистика и СМИ-(912)Изобретательство-(14524)Иностранные языки-(4268)Информатика-(17799)Искусство-(1338)История-(13644)Компьютеры-(11121)Косметика-(55)Кулинария-(373)Культура-(8427)Лингвистика-(374)Литература-(1642)Маркетинг-(23702)Математика-(16968)Машиностроение-(1700)Медицина-(12668)Менеджмент-(24684)Механика-(15423)Науковедение-(506)Образование-(11852)Охрана труда-(3308)Педагогика-(5571)Полиграфия-(1312)Политика-(7869)Право-(5454)Приборостроение-(1369)Программирование-(2801)Производство-(97182)Промышленность-(8706)Психология-(18388)Религия-(3217)Связь-(10668)Сельское хозяйство-(299)Социология-(6455)Спорт-(42831)Строительство-(4793)Торговля-(5050)Транспорт-(2929)Туризм-(1568)Физика-(3942)Философия-(17015)Финансы-(26596)Химия-(22929)Экология-(12095)Экономика-(9961)Электроника-(8441)Электротехника-(4623)Энергетика-(12629)Юриспруденция-(1492)Ядерная техника-(1748)

Гравитация и геометрические свойства пространства




Весьма слабые гравитационные силы на современном этапе развития Вселенной играют определяющую роль в процессах космического масштаба, где электромагнитные взаимодействия оказываются в значительной степени скомпенсированными за счет существования равного количества разноименных зарядов, а коротко действующие ядерные силы проявляются только областях сосредоточения плотного и горячего вещества. Современное понимание механизма возникновения гравитационных сил стало возможным лишь после создания Теории Относительности, т.е. почти через три столетия после открытия Ньютонам закона Всемирного тяготения.

Силы инерции. Созданию современной теории гравитации предшествовало осознание глубокой связи, существующей между силами тяготения и псевдосилами инерции. Последние с классической точки зрения не являются мерой реального взаимодействия между телами, а вводятся в неинерциальных системах отсчета чисто формально для обеспечения возможности записи в них уравнений движения, совпадающих по форме со Вторым законом Ньютона. Так все пассажиры внутри равноускоренно движущегося автобуса относительно связанной с ним неинерциальной системы отсчета “летят к стенке” с одинаковым ускорением (равным ускорению автобуса), оставаясь “на самом деле” неподвижными относительно “хорошей” инерциальной системы отсчета, связанной с Землей. Для объяснения этого явления с точки зрения находящегося в автобусе наблюдателя приходится предположить, что при ускорении на все объекты действуют силы инерции, пропорциональные их массе и приводящие к одинаковым ускорениям:

(1) .

При вращательном движении неинерциальных систем отсчета выражение для силы инерции приобретет более сложный вид (в частности появляется слагаемое, зависящее от скорости движения тела - Криолисова сила наличие которой “объясняет” асимметрию размывания берегов рек, текущих в перпендикулярном вращению Земли направлении и вращение плоскости колебаний маятника Фуко).

Особенности гравитационных сил. Принцип эквивалентности. Сформулированный И.Ньютоном закон гравитации по форме весьма схож с законом Кулона:

(2) ,

что позволяет по аналогии с электрическим зарядом ввести гравитационный заряд (или гравитационную массу) - меру способности тел участвовать в гравитационных взаимодействиях. Гравитационная масса оказывается строго пропорциональной массе инертной (вводимой как коэффициент пропорциональности между силой и ускорением во втором законе Ньютона). Именно эта пропорциональность позволила измерять гравитационные заряды в тех же единицах, что и инертную массу (коэффициент пропорциональности “спрятан” в гравитационную постоянную).

Пропорциональность гравитационной силы инертной массе делает ее весьма схожей с силой инерции. В частности при поступательном движении неинерциальной системы отсчета с ускорением, равным ускорению свободного падения, вдоль направления гравитационных сил наступает полная компенсация сил тяготения и инерции - явление невесомости. Помещенный в закрытый лифт наблюдатель, ощущая исчезновение веса не может решить, что произошло в действительности: либо лифт начал падать вниз с ускорением свободного падения, либо исчезло гравитационное поле Земли.

Обобщая описанный мысленный эксперимент А.Эйнштейн пришел к формулировке принципа эквивалентности: никаким опытом наблюдатель, помещенный в замкнутую систему отсчета не может установить, движется ли эта система отсчета с ускорением в пустом пространстве или покоится во внешнем гравитационном поле.

Принцип эквивалентности в значительной степени устраняет “выделенность” инерциальных систем отсчета и позволяет исключить из теории само понятие гравитационных взаимодействий, факт наличия или отсутствия которых установить опытным путем, вообще говоря, оказывается невозможным. Наблюдаемые же на опыте отклонения траектории тел, перемещающихся вблизи массивных объектов трактуются не как результат взаимодействия, а как следствие искривления пространства.

Искривленное пространство обладает геометрическими свойствами, существенно отличающимися от евклидового. В математическом формализме понятие кривизны пространства тесно связано с видом матрицы его метрического тензора - совокупности чисел , входящих в обобщенное определение скалярного произведения векторов:

(4) .

Обычно эту совокупность записывают в виде таблицы (матрицы) размерами (где n - размерность пространства):

(5) .

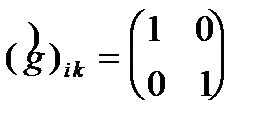
В частных случаях трехмерного евклидового пространства и четырехмерного псевдоевклидового пространства Минковского метрические тензоры имеют вид:

(6) ;

(7) ,

т.е. представляющие их матрицы диагональны. Такие пространства являются неискривленными.

Если же матрица метрического тензора пространства содержит недиагональные элементы, пространство оказывается искривленными. Например, метрический тензор двумерного искривленного пространства - поверхности сферы имеет вид:

(7) .

Основные идеи Общей Теории Относительности. Исходя из разработанной им Специальной Теории Относительности А.Эйнштейн сделал вывод о том, что помещенный в неинерциальную систему отсчета наблюдатель должен зарегистрировать наличие искривления пространства. Действительно, находящийся на вращающемся диске наблюдатель, измеряющий отношение длины окружности к радиусу, получит число, отличное от , поскольку с точки зрения покоящегося наблюдателя эталон длины будет изменять свои размеры при поворотах относительно обусловленной вращением диска скорости (рис. 14_1).

Учитывая аналогию возникающих в неинерциальных системах отсчета сил инерции с гравитационными, А.Эйнштейн предположил, что массивные тела вызывают вокруг себя локальное искривление четырехмерного пространства-времени:

(8) .

Обобщением закона инерции Галилея на случай искривленных пространств является утверждение о том, что мировыми линиями свободных тел являются геодезические (кривые, соответствующие минимальному собственному времени движения между заданными двумя точками). Движение вдоль геодезической в искривленном пространстве с точки зрения трехмерного наблюдателя воспринимается как движение по трехмерной кривой с переменной скоростью, что в рамках классического подхода “объясняется” действием гравитационных сил.

Уравнений гравитации в Общей Теории Относительности являются нелинейными: при наличии больших масс принцип суперпозиции нарушается.

Экспериментальное подтверждение ОТО. Релятивистская теория гравитации удовлетворяет принципу соответствия (в пределе малых масс и скоростей из нее непосредственно выводится закон Всемирного тяготения Ньютона). В то же время уравнения гравитации предсказывают ряд наблюдаемых эффектов, необъяснимых с позиций классической физики:

1. Прецессия эллиптических орбит планет, движущихся в поле сферических тел (зарегистрирована у ближайшей к Солнцу планеты - Меркурия).

2. Эффект “абсолютного” замедления времени в гравитационном поле или при ускоренном движении (зарегистрирован по измерению времени распада нестабильных ядер и “красному смещению” световых волн в гравитационном поле).

3. Искривление лучей света вблизи массивных тел, отличное по величине от эффекта, предсказываемого классической теории (наблюдается по изменению видимого положения звезд вблизи края Солнца).

Одним из наиболее веских аргументов в пользу правильности ОТО является ее внутренняя логичность, красота и элегантность.

Проблемы создания Общей Теории Поля. После создания ОТО возникла весьма заманчивая перспектива построит единое описание всех взаимодействий в природе, объяснив их соответствующими искривлениями пространства (“ Общая Теория Поля ”). А.Эйнштейн не смог реализовать эту программу, потерпели неудачи и многочисленные попытки его последователей. С сегодняшней точки зрения возможность построения такой теории в рамках чисто Эйнштейновского подхода представляется проблематичной, поскольку в построении теории электромагнитных взаимодействий был сделан весьма крупный шаг, заключающийся в создании квантовой механики, основополагающие идеи которой выходят далеко за рамки Теории относительности.

Создание Теории Относительности было первым шагом в построении современной концепции естествознания. Ее роль состояла не только в уточнении и обобщении классических формул: было показано, что знания об окружающем мире не носят абсолютного характера и могут претерпевать существенные уточнения и изменения в ходе развития науки. Описывающая реально наблюдаемые явления природы теория может базироваться на утверждениях и идеях, не всегда согласующихся с общепринятым мнением и “здравым смыслом”, являющимся обобщением повседневного опыта.

 

 




Поделиться с друзьями:


Дата добавления: 2014-12-16; Просмотров: 445; Нарушение авторских прав?; Мы поможем в написании вашей работы!


Нам важно ваше мнение! Был ли полезен опубликованный материал? Да | Нет



studopedia.su - Студопедия (2013 - 2025) год. Все материалы представленные на сайте исключительно с целью ознакомления читателями и не преследуют коммерческих целей или нарушение авторских прав! Последнее добавление




Генерация страницы за: 0.008 сек.