Студопедия

КАТЕГОРИИ:


Архитектура-(3434)Астрономия-(809)Биология-(7483)Биотехнологии-(1457)Военное дело-(14632)Высокие технологии-(1363)География-(913)Геология-(1438)Государство-(451)Демография-(1065)Дом-(47672)Журналистика и СМИ-(912)Изобретательство-(14524)Иностранные языки-(4268)Информатика-(17799)Искусство-(1338)История-(13644)Компьютеры-(11121)Косметика-(55)Кулинария-(373)Культура-(8427)Лингвистика-(374)Литература-(1642)Маркетинг-(23702)Математика-(16968)Машиностроение-(1700)Медицина-(12668)Менеджмент-(24684)Механика-(15423)Науковедение-(506)Образование-(11852)Охрана труда-(3308)Педагогика-(5571)Полиграфия-(1312)Политика-(7869)Право-(5454)Приборостроение-(1369)Программирование-(2801)Производство-(97182)Промышленность-(8706)Психология-(18388)Религия-(3217)Связь-(10668)Сельское хозяйство-(299)Социология-(6455)Спорт-(42831)Строительство-(4793)Торговля-(5050)Транспорт-(2929)Туризм-(1568)Физика-(3942)Философия-(17015)Финансы-(26596)Химия-(22929)Экология-(12095)Экономика-(9961)Электроника-(8441)Электротехника-(4623)Энергетика-(12629)Юриспруденция-(1492)Ядерная техника-(1748)

Особенности оценки эффективности систем газоснабжения




Методика сравнения вариантов

Лекция 17

Технико-экономический расчет тупиковых газовых сетей низкого давления (самостоятельно)

Экономическое обоснование количества и расположения ГРП

Методика сравнения вариантов

Технико-экономический расчет газовых сетей

Тема 8

Режимы функционирования АСУ ТП газоснабжения.

Система может функционировать в двух режимах: автоматическом и оперативном. В автоматическом режиме работа ведет­ся по управляющей программе, кото­рая предусматривает опрос всех КП в целях получения информации об обстановке на КП и по измеряемым параметрам. При получении сообще­ния об аварийной ситуации автома­тически включается звонок, посы­лаются сигналы, вводится сообще­ние об аварии на дисплей и регист­рируется. Измеренные параметры (давления и расходы) обрабатывают­ся и выводятся на экран дисплея. Цикл опроса всех КП осуществляется за 5 мин- Каждый час полученнаяинформация регистрируется на пе­чатающем устройстве, расходы газа фиксируются интегральные — за час, В управляющей программе имеются необходимые дополнительные све­дения о КП.

Оперативный режим позволяет диспетчеру вести опрос любого КП. Сервисное программное обеспечение позволяет получить графики потребле­ния газа объектом или всем городом на дисплее с дополнительными сведе­ниями о лимитах потребления и со­ответствии использованного газа его лимиту. Можно получить справочную информацию по участкам газопрово­дов, об их диаметрах, длинах и дру­гие характеристики.

В настоящее время проводится большая работа по созданию и совершенствованию АСУ ТП газо­снабжения, а также внедрение раз­работок в газовых хозяйствах горо­дов- Так функционируют АСУ ТП в городах Ворошиловграде, Владимире, Свердловске. Строятся АСУ ТП и в других городах. Вместе с тем сле­дует отметить, что еще нет четких представлений о наилучших системах, которые должны иметь преимущест­венное распространение. В настоящем параграфе приведены обобщенные данные, характеризующие современ­ные системы АСУ ТП, которые в ос­новном базируются на системах, эксплуатируемых в городах Луганске.

 

 

Количество часов - 2 ч

Количество лекций - одна (лекция 17)

 

Система газоснабжения должна быть не только надежной и безо­пасной в эксплуатации, но и эко­номично спроектированной. Поэтому технико-экономический расчет газо­проводов представляет собой одну из важнейших задач. Любой вариант системы газоснабжения оценивают ка­питальными вложениями К, грн (стоимостью строительства); издёржками на эксплуатацию И, год/год (величиной, определяющей себестои­мость транспортирования газа) и при­веденными затратами 3, грн/год:

3=И+(1/Т)К=И+ЕК,

где Т — нормативный срок окупаемости {Т= 8,33 года);

Е — нормативный коэффициент эффективности капитальных вложений { Е=0,12 грн/год).

Стоимость газопроводов зависит от стоимости труб и стоимости строительства, которая определяется глу­биной укладки труб, характеристикой грунта и дорожного покрытия, спосо­бами соединения труб, степенью ме­ханизации производства работ и т. д. Перечисленные показатели с извест­ным приближением делят на две груп­пы: зависящие и не зависящие от диаметра труб.

Такое деление имеет большое значение для технико-эконо­мических расчетов, так как положе­ние минимума функции стоимости не зависит от постоянных величин. Стои­мость труб — основная составляющая общей стоимости смонтированного газопровода — в наибольшей степе­ни зависит от диаметра. Для го­родских газопроводов толщина стен­ки трубы всегда бывает больше величины, необходимой по условию прочности, поэтому стоимость город­ских газопроводов практически не за­висит от давления газа.

Стоимость земляных работ в меньшей степени зависит от диаметра труб, чем стои­мость газопровода, а глубина его ук­ладки вообще очень слабо зависит от диаметра. Для определения зави­симости стоимости газопровода от ди­аметра труб составляют сметы на строительство газопроводов разных диаметров при различных условиях прокладки. Для городских газопрово­дов эту зависимость можно предста­вить формулой

, грн,

где К — стоимость 1 м уложенного газо­провода, грн/м;

а — коэффициент стоимости, грн/м;

b — коэффициент стоимости, грн/(см м);

d— диаметр газопровода, см.

Капитальные вложения в газопро­воды можно определять по упрощен­ной зависимости

, грн.

Для городских газопроводов и средних условий прокладки значение коэффициента b изменяется в пре­делах 1,0...1,2 грн/(м см). Стои­мость газорегуляторных пунктов и газорас­пределительных станций зависит от типа и пропускной способности стан­ций и определяется по сметам.

Эксплуатационные издержки для городских систем газоснабжения скла­дываются из следующих основных частей: 1) амортизационных отчисле­ний, включая расходы на капиталь­ный ремонт; 2) расходов на теку­щий ремонт и обслуживание. Для оп­ределения себестоимости внутригород­ского транспортирования газа эксп­луатационные издержки делят на го­довое потребление газообразного топ­лива городом Q, м3/год.

Амортизационные отчисления, рас­ходы на текущий ремонт и обслужи­вание определяют как долю от капи­таловложений. В этом случае экс­плуатационные издержки рассчиты­вают по формуле, аналогичной фор­муле для капитальных вложений:

 

, грн/год,

где f — доля амортизационных отчислений (включая расходы на капитальный ремонт) от капитальных затрат;

f’’ — доля расходов на обслуживание и текущий ремонт от К.

Расходы по текущему ремонту и обслуживанию городских газовых се­тей в основном зависят от протя­женности газопроводов и в незначи­тельной степени от их диаметра. В технико-экономических расчетах расходы можно принимать пропорцио­нальными длине газопроводов. Таким образом, эксплуатационные издержки на газопроводы определяют по фор­муле

 

где d —стоимость обслуживания I м газопро­вода руб/(м'год).

Сравнительную экономическую эффективность капитальных вложений в газовом хозяйстве рассчитывают при составлении ва­риантов хозяйственных или технических решений, размещении предприятий и их комплексов, выборе взаимозаменяемой продук­ции, внедрении новых видов техники, строительстве новых или ре­конструкции действующих предприятий и т. п. Показателем наи­лучшего варианта, определяемого на основании сравнительной экономической эффективности капитальных вложений, является минимум приведенных затрат 3.

Экономический эффект от применения выбранного варианта по сравнению с эталонным является разностью соответствующих приведенных затрат:

Э = 3э — 3 или Э = э + EнКэ) - (С + EнК),

где индекс «э» относится к показателям варианта, принятого в ка­честве эталона.

При сравнении вариантов капитальных вложений, если они раз­личаются продолжительностью строительства, распределением капитальных вложений по периодам строительства или возмож­ностью строительства очередями без ущерба для выполнения про­изводственных заданий, рассчитывают влияние разновременности капитальных вложений на эффективность вариантов.

Если по сравниваемым вариантам капитальные вложения осу­ществляются в разные сроки, а текущие затраты изменяются во времени, то варианты сравнивают приведением затрат более поздних лет к текущему моменту путем применения коэффициен­та приведения

 

,

где Eвп —норматив приведения разновременных затрат.

Такое приведение осуществляют умножением приводимого по­казателя на коэффициент Bt.

Приведение разновременных затрат используется только в ра­счетах экономической эффективности вариантов п не может слу­жить основанием для изменения сметной стоимости строительства.

 

В результате анализа деятельности газовых хозяйств установлено, что их эксплуатационные затраты С пропорциональны стоимости основных фондов К:

 

С=0,09К

 

Это объясняется тем, что в системах газоснабжения отсутству­ют мощные напорные энергопотребляющие машины (компрессоры, насосы и т. д.), в силу чего в состав эксплуатационных затрат не входит энергетическая составляющая, которая имеет тенденцию к снижению при росте капитальных вложений (дли сравнении в водопроводном хозяйстве с увеличением диаметра водопроводов и соответственно стоимости сети снижаются затраты на транспор­тировку воды).

Из этого вытекает, что приведенные затраты также пропорциональны капитальным вложениям:

3 = С + 0,12К= 0,09К + 0,12К = 0,21К.

Отсюда следует, что в технико-экономических обоснованиях вы­бора варианта газоснабжения городов сравнение по приведенным затратам можно заменить сравнением по капитальным вложени­ям. Если такому сравнению подлежат трубопроводные системы без сооружений на них (например, ГРП), то с учетом того, что основ­ная часть их стоимости приходится на трубы, капитальные вложе­ния можно заменить металлозатратамн.

Эффективность принятых проектных решений определяется сравнением технических и экономических показателей, которые рассчитываются для каждого варианта:

-суммарный годовой и расчетный расходы газа;
- протяженность сетей среднего (высокого) и низкого давлений;
- материальная характеристика сетей среднего (высокого) и низкого давлений;
- стоимость системы газоснабжения с распределением на стоимость сетей и газорегуляторных пунктов;

- себестоимость эксплуатации системы газоснабжения;
- приведенные затраты;
- удельные показатели:
а) расход газа на одного человека;
б) протяженность газопроводов на одного человека;
в) протяженность газопроводов на один гектар площади;
г) капиталовложения на одного человека;

д) капиталовложения на один гектар площади застройки;
е) приведенные затраты на одного человека;
ж) приведенные затраты на один метр длины газопроводов;
з) себестоимость транспортировки 1000 м3 газа;

е) металлоемкость газовых сетей.

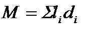
Материальная характеристика газовых сетей (отдельно для каждого давления) определяется по формуле

, м см,

где li - длина труб i -го диаметра, м;

di - внутренний диаметр газопровода, см.

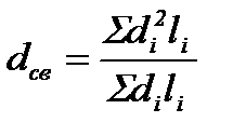
Поскольку по сети низкого давления известны диаметры участков сети, обслуживаемой одним из ГРП, все последующие характеристики определяются с использованием средневзвешенного диаметра, который определяется по формуле

 

, cм,

Этот диаметр считается средним для всей сети низкого давления.

Стоимость газовой сети (капиталовложения) рассчитываются по формуле

 

, грн (руб),

где ki - удельная стоимость 1 м газопровода i -го диаметра, грн (руб);

li - длина труб i -го диаметра, м

Для перевода рублей в гривны следует использовать коэффициент перерасчета равный 1,115. Капиталовложения в сети низкого давления определяются по общей длине, а значение k i следует принимать по средневзвешенному диаметру.

Себестоимость эксплуатации вычисляется по формулам:

- для сетей низкого давления

, грн/год,

где Kнд - капиталовложения в сети низкого давления, грн;

Lнд - общая протяженность сетей низкого давления, м;

- для сетей среднего или высокого давления:

, грн/год,

где Kсд - капиталовложения в сети среднего или высокого давления, грн;

Lсд - общая протяженность сетей среднего или высокого давления, м;

- для газорегуляторных пунктов:

 

,грн/год,

 

где Kгрп - капиталовложения в ГРП, грн, которые определяются по

формуле

,грн,

где n - количество ГРП, шт;

P - стоимость одного ГРП, руб.

Общие капиталовложения в систему газоснабжения определяются по формуле

, грн.

Общие эксплуатационные затраты определяются по формуле

,грн /год,

Приведенные затраты определяются по формуле

, грн/год,

Себестоимость транспорта 1000 м3 природного газа определяется по формуле

, грн/(год тыс. м3),

где Qгод - годовой расход природного газа всеми потребителями, тыс. м3/год.

 

 




Поделиться с друзьями:


Дата добавления: 2014-12-16; Просмотров: 2020; Нарушение авторских прав?; Мы поможем в написании вашей работы!


Нам важно ваше мнение! Был ли полезен опубликованный материал? Да | Нет



studopedia.su - Студопедия (2013 - 2026) год. Все материалы представленные на сайте исключительно с целью ознакомления читателями и не преследуют коммерческих целей или нарушение авторских прав! Последнее добавление




Генерация страницы за: 0.008 сек.