Студопедия

КАТЕГОРИИ:


Архитектура-(3434)Астрономия-(809)Биология-(7483)Биотехнологии-(1457)Военное дело-(14632)Высокие технологии-(1363)География-(913)Геология-(1438)Государство-(451)Демография-(1065)Дом-(47672)Журналистика и СМИ-(912)Изобретательство-(14524)Иностранные языки-(4268)Информатика-(17799)Искусство-(1338)История-(13644)Компьютеры-(11121)Косметика-(55)Кулинария-(373)Культура-(8427)Лингвистика-(374)Литература-(1642)Маркетинг-(23702)Математика-(16968)Машиностроение-(1700)Медицина-(12668)Менеджмент-(24684)Механика-(15423)Науковедение-(506)Образование-(11852)Охрана труда-(3308)Педагогика-(5571)Полиграфия-(1312)Политика-(7869)Право-(5454)Приборостроение-(1369)Программирование-(2801)Производство-(97182)Промышленность-(8706)Психология-(18388)Религия-(3217)Связь-(10668)Сельское хозяйство-(299)Социология-(6455)Спорт-(42831)Строительство-(4793)Торговля-(5050)Транспорт-(2929)Туризм-(1568)Физика-(3942)Философия-(17015)Финансы-(26596)Химия-(22929)Экология-(12095)Экономика-(9961)Электроника-(8441)Электротехника-(4623)Энергетика-(12629)Юриспруденция-(1492)Ядерная техника-(1748)

Экономическое обоснование количества и расположения ГРП




 

При проектировании многосту­пенчатых систем газоснабжения воз­никает вопрос об экономически опти­мальном радиусе действия R газоре­гуляторных пунктов. Под радиусом действия ГРП понимаем среднее расстояние по пря­мой от ГРП до точек встречи по­токов газа на границе раздела. Действительно, с увеличением числа ГРП уменьша­ется стоимость сети низкого давле­ния, но повышается стоимость самих ГРП, а также сети среднего или вы­сокого давления, которая питает регуляторные пункты. Следовательно, су­ществует оптимальное значение R, при котором общие приведенные годовые затраты на систему будут минималь­ными.

Размещение ГРП на газовых сетях может быть охарактеризовано коэффициентом расположения регуляторных пунктов (равен отношению длины пути газа от точки питания до концевой точки R г к радиусу R действия ГРП):

 

a=Ru/R.

 

На рисунке 17.1 показаны возможные крайние схемы расположения ГРП на сети низкого давления, имеющей квад­ратные кольца (как предельно про­стые), при этом для схемы 17.1,а a =1;ГРП расположены наиболее экономично (в шахматном порядке). Для схемы рисунка 17.1, б a =1,41; ГРП рас­положены в коридорном порядке; в среднем можно принять a =1,3.

 

Рисунок 17.1 Схема газо­провода низкого давле­ния двухступенчатой системы газоснабжения

а — шахматное распо­ложение ГРП [радиус действия ГРП равен радиусу действия газо­проводов (a =1)); б — коридорное расположе­ние ГРП [радиус дейст­вия ГРП меньше радиу­са действия газопрово­дов (a =1,41)

сеть низкого давления; • - ГРП; - границы зоныгазоснабжаемой территории

 

Количество газорегуляторных пунктов (ГРП) определяется по формуле

 

, шт, (23),

где F - газифицируемая площадь района города или поселка, м2;

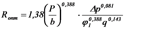
-оптимальный радиус действия ГРП, м, который определяется по формуле

, м, (24),

где P - стоимость одного ГРП в ценах 1984 года, руб;

b - коэффициент стоимости, руб/(м см);

Dp - перепад давления в сети низкого давления, Па;

j1 - коэффициент плотности сети низкого давления, 1/м, который определяется по формуле

, (25),

где lнд - протяженность сети низкого давления, м.

q - удельный путевой расход газа в сети низкого давления, м3/(ч м), который определяется по формуле

, м3/(ч м), (26),

где - суммарный расчетный расход газа на ГРП района города, м3/ч, который определяется по формуле

 

, м3/ч, (27),

где S - суммарный расчетный расход газа на бытовое потребление, м3/ч;

- расчетный расход газа на отопление и вентиляцию застройки с местной системой отопления (одноэтажной), м3/ч;

- расчетный расход газа на мелкие коммунально-бытовые потребители (сферу обслуживания), м3/ч;

- расчетный расход газа на коммунально-бытовое потребление в столовых, м3/ч.

Если получается дробное число ГРП, то лучше запроектировать меньшее их количество, так как это обеспечивает большую экономию приведенных затрат.

Далее необходимо определить зону действия каждого ГРП и вычислить расход газа на них, набирая его из расходов газа жилых кварталов и потребителей, которые обслуживаются данным ГРП.

 

 

 




Поделиться с друзьями:


Дата добавления: 2014-12-16; Просмотров: 953; Нарушение авторских прав?; Мы поможем в написании вашей работы!


Нам важно ваше мнение! Был ли полезен опубликованный материал? Да | Нет



studopedia.su - Студопедия (2013 - 2026) год. Все материалы представленные на сайте исключительно с целью ознакомления читателями и не преследуют коммерческих целей или нарушение авторских прав! Последнее добавление




Генерация страницы за: 0.009 сек.