Студопедия

КАТЕГОРИИ:


Архитектура-(3434)Астрономия-(809)Биология-(7483)Биотехнологии-(1457)Военное дело-(14632)Высокие технологии-(1363)География-(913)Геология-(1438)Государство-(451)Демография-(1065)Дом-(47672)Журналистика и СМИ-(912)Изобретательство-(14524)Иностранные языки-(4268)Информатика-(17799)Искусство-(1338)История-(13644)Компьютеры-(11121)Косметика-(55)Кулинария-(373)Культура-(8427)Лингвистика-(374)Литература-(1642)Маркетинг-(23702)Математика-(16968)Машиностроение-(1700)Медицина-(12668)Менеджмент-(24684)Механика-(15423)Науковедение-(506)Образование-(11852)Охрана труда-(3308)Педагогика-(5571)Полиграфия-(1312)Политика-(7869)Право-(5454)Приборостроение-(1369)Программирование-(2801)Производство-(97182)Промышленность-(8706)Психология-(18388)Религия-(3217)Связь-(10668)Сельское хозяйство-(299)Социология-(6455)Спорт-(42831)Строительство-(4793)Торговля-(5050)Транспорт-(2929)Туризм-(1568)Физика-(3942)Философия-(17015)Финансы-(26596)Химия-(22929)Экология-(12095)Экономика-(9961)Электроника-(8441)Электротехника-(4623)Энергетика-(12629)Юриспруденция-(1492)Ядерная техника-(1748)

Электропроводность полупроводников




При температуре, близкой к абсолютному нулю, полупроводник ведет себя как абсолютный непроводник, потому что в нем нет свободных электронов. Если повышения температуры нет, связь валентных электронов с атомными ядрами ослабевает и некоторые из них вследствие теплового движения могут покидать свои атомы. Вырвавшийся из межатомной связи электрон становится свободным (на рис. 1, б - черная точка), а там, где он был до этого, образуется пустое место. Это пустое место в межатомной связи полупроводника условно называют дыркой (на рис. 1,б - разорвавшаяся линия электрона). Чем выше температура полупроводника, тем больше в нем появляется свободных электронов и дырок. Таким образом, образование в массе полупроводника дырки связано с уходом из оболочки атома валентного электрона, а возникновение дырки соответствует появлению положительного электрического заряда, равного отрицательному заряду электрона.

 

Рис 1. Схема взаимосвязи атомов в кристале полупроводника (а) и упрощенная схема его структуры (б).

А теперь рассмотри рис. 2. На нем схематично изображено явление возникновения тока в полупроводнике. Причиной возникновения тока служит напряжение, приложенное к полупроводнику (на рис. 2 источник напряжения символизируют знаки «+» и «-»). Вследствие тепловых явлений во всей массе полупроводника высвобождается из межатомных связей некоторое количество электронов (на рис. 2 они обозначены точками со стрелками). Электроны, освобождавшиеся вблизи положительного полюса источника напряжения, притягиваются этим полюсом и уходят из массы полупроводника, оставляя после себя дырки. Электроны, Ушедшие из межатомных связей на некотором удалении от положительного полюса, тоже притягиваются им и движутся в его сторону. Но, встретив на своем пути дырки, электроны как бы «впрыгивают» в них (рис. 2, а), происходит заполнение некоторых межатомных связей. А ближние к отрицательному полюсу дырки заполняются другими электронами, вырвавшимися из атомов, расположенных еще ближе к отрицательному полюсу (рис. 2, б). Пока в полупроводнике действует электрическое поле, этот процесс продолжается: нарушаются одни межатомные связи - из них уходят валентные электроны, возникают дырки - и заполняются другие межатомные связи - в дырки «впрыгивают» электроны, освободившиеся из каких - то других межатомных связей (рис. 2, б-г).

 

Рис 2. Схема движения электронов и дырок в полупроводнике.

При температуре выше абсолютного нуля в полупроводнике непрерывно возникают и исчезают свободные электроны и дырки даже тогда, когда нет внешних электрических полей. Но электроны и дырки движутся хаотически в разные стороны и не уходят за пределы полупроводника. В чистом полупроводнике число высвободившихся в каждый момент времени электронов равно числу образующихся при этом дырок. Общее же их число при комнатной температуре относительно невелико. Поэтому электропроводность такого полупроводника, (называемая собственной), мала. Иными словами, такой полупроводник оказывает электрическому току довольно большое сопротивление. Но если в чистый полупроводник добавить даже ничтожное количество примеси в виде атомов других элементов, электропроводность его резко повысится. При этом в зависимости от структуры атомов примесных элементов электропроводность полупроводника будет электронной или дырочной. Чем различаются эти два вида электропроводности полупроводника? Если какой-либо атом в кристалле полупроводника заменить атомом сурьмы, имеющим во внешнем слое электронной оболочки пять валентных электронов, этот атом - «пришелец» четырьмя электронами свяжется с четырьмя соседними атомами полупроводника. Пятый же валентный электрон атома сурьмы окажется «лишним» и станет свободным. Чем больше в полупроводник будет введено атомов сурьмы, тем больше в его массе окажется свободных электронов. Следовательно, полупроводник с примесью сурьмы приближается по своим свойствам к металлу: для того чтобы через него проходил электрический ток, в нем не обязательно должны разрушаться межатомные связи. Полупроводники, обладающие такими свойствами, называют полупроводниками с электропроводностью типа (n) или, полупроводниками (n) типа. Здесь латинская буква n - начальная буква латинского слова negativ (негатив), что значит «отрицательный». Этот термин в данном случае нужно понимать в том смысле, что в полупроводнике типа n основными носителями тока являются отрицательные заряды, т.е. электроны. Совсем иная картина получится, если в полупроводник ввести атомы с тремя валентными электронами, например атомы индия. Каждый атом металла индия своими тремя электронами заполнит связи только с тремя соседними атомами полупроводника, а для заполнения связи с четвертым атомом у него не хватает одного электрона. Образуется дырка. Она, конечно, может заполниться каким - либо электроном, вырвавшимся из валентной связи с другими атомами полупроводника. Однако независимо от того, где будут дырки, в массе полупроводника с примесью индия не будет хватать электронов для их заполнения. И чем больше будет введено в полупроводник примесных атомов индия, тем больше в нем образуется дырок. Чтобы в таком полупроводнике электроны могли перемещаться, совершенно обязательно должны разрушаться валентные связи между атомами. Вырвавшиеся из них электроны или же электроны, поступившие в полупроводник извне, движутся от дырки к дырке. А во всей массе полупроводника в любой момент времени число дырок будет больше общего числа свободных электронов. Полупроводники, обладающие таким свойством, называют полупроводниками с дырочной электропроводностью или полупроводниками типа (р). Латинская буква р - первая буква латинского слова positiv (позитив), что значит «положительный». Этот термин в данном случае нужно понимать в том смысле, что явление электрического тока в массе полупроводника типа (р) сопровождается непрерывным возникновением и исчезновением положительных зарядов - дырок. Перемещаясь в массе полупроводника, дырки как бы являются носителями тока. Полупроводники типа р, так же как и полупроводники типа n, обладают во много раз лучшей электропроводностью по сравнению с чистыми полупроводниками. Надо сказать, что практически не существует как совершенно чистых полупроводников, так и полупроводников с абсолютной электропроводностью типов n и р. В полупроводнике с примесью индия обязательно есть небольшое количество атомов некоторых других элементов, придающих ему электронную проводимость, а в полупроводнике с примесью сурьмы есть атомы элементов, создающих в нем дырочную электропроводность. Например, в полупроводнике, имеющем в целом электропроводность типа n, есть дырки, которые могут заполняться свободными электронами примесных атомов сурьмы. Вследствие этого электропроводность полупроводника несколько ухудшится, но в целом он сохранит электронную проводимость. Аналогичное явление будет наблюдаться и в том случае, если в полупроводник с дырочным характером электропроводности попадут свободные электроны. Поэтому полупроводниками типа n принято считать такие полупроводники, в которых основными носителями тока являются электроны (преобладает электронная электропроводность), а к полупроводникам типа р - полупроводники, в которых основными носителями тока являются дырки (преобладает дырочная электропроводность).

 

 

25.Электрический ток в газах. Несамостоятельные и самостоятельные разряды. Виды разрядов

При отсутствии облучения и при невысоких температурах газы практически не проводят электрический ток, т.е. являются диэлектриками. Газ становится электропроводным в результате ионизации. Ионизация может быть вызвана нагреванием газа до высокой температуры или действием ультрафиолетового, рентгеновского, гамма-излучения. Ионизация газа состоит в том, что нейтральные молекулы или атомы газа теряют электроны и превращаются в положительные ионы. Большинство освободившихся электронов остаются свободными, но некоторые присоединяются к молекулам (или атомам) и образуют отрицательные ионы. Таким образом, в результате ионизации в газе появляются три типа носителей заряда: положительные, отрицательные ионы и электроны.
При создании в газе электрического поля положительные ионы движутся к катоду, а электроны и отрицательные ионы - к аноду, образуя электрический ток.
Электрический ток через газ называют газовым разрядом.
Если разряд протекает только при действии ионизатора, то разряд является несамостоятельным. Если разряд может протекать без действия внешнего ионизатора, то его называют самостоятельным.
ВИДЫ САМОСТОЯТЕЛЬНОГО РАЗРЯДА.
1. Тлеющий разряд представляет собой ток малой плотности, возникающий при низком давлении (от сотых долей до нескольких мм.рт.ст.) и напряжении на электродах порядка нескольких сотен вольт. Тлеющий разряд сопровождается свечением столба газа. Его используют в светящихся рубках рекламы (заполненных неоном, аргоном), а также в лампах дневного света для возбуждения люминофора, которым покрыта внутренняя поверхность трубки.
2. Коронный разряд представляет собой ток через газ при атмосферном давлении, возникающий под действием неоднородного электрического поля высокой напряженности. Коронный разряд сопровождается слабым свечением и небольшим шумом. Коронный разряд наблюдается вблизи заостренных частей проводников в том случае, когда напряженность электрического поля возле проводника превышает 3 • 106 В/м. Причиной разряда является ударная ионизация газа, происходящая в области, непосредственно граничащей с проводником. Особенно нежелательно возникновение этого разряда в высоковольтных ЛЭП, так как он приводит к потерям электрической энергии. Коронный разряд используют в электрических фильтрах для очистки продуктов сгорания топлива.

 

Разряд в газе может происходить и без внешнего ионизатора. Разряд способен поддерживать сам себя. Почему это возможно?
Несамостоятельный разряд. Для исследования разряда в газе при различных давлениях удобно использовать стеклянную трубку с двумя электродами (рис.16.31).

Пусть с помощью какого-либо ионизатора в газе образуется в секунду определенное число пар заряженных частиц: положительных ионов и электронов.
При небольшой разности потенциалов между электродами трубки положительно заряженные ионы перемещаются к отрицательному электроду, а электроны и отрицательно заряженные ионы - к положительному электроду. В результате в трубке возникает электрический ток, т. е. происходит газовый разряд.
Не все образующиеся ионы достигают электродов; часть их воссоединяется с электронами, образуя нейтральные молекулы газа. По мере увеличения разности потенциалов между электродами трубки доля заряженных частиц, достигающих электродов, увеличивается. Возрастает и сила тока в цепи. Наконец, наступает момент, при котором все заряженные частицы, образующиеся в газе за секунду, достигают за это время электродов. При этом дальнейшего роста силы тока не происходит (рис.16.32). Ток, как говорят, достигает насыщения. Если действие ионизатора прекратить, то прекратится и разряд, так как других источников ионов нет. По этой причине такой разряд называют несамостоятельным разрядом.

Самостоятельный разряд. Что будет происходить с разрядом в газе, если продолжать увеличивать разность потенциалов на электродах?
Казалось бы, сила тока и при дальнейшем увеличении разности потенциалов должна оставаться неизменной. Однако опыт показывает, что в газах при увеличении разности потенциалов между электродами, начиная с некоторого ее значения, сила тока снова возрастает (рис.16.33). Это означает, что в газе появляются дополнительные ионы сверх тех, которые образуются за счет действия ионизатора. Сила тока может возрасти в сотни и тысячи раз, а число ионов, возникающих в процессе разряда, может стать таким большим, что внешний ионизатор будет уже не нужен для поддержания разряда. Если убрать внешний ионизатор, то разряд не прекратится. Так как разряд в этом случае не нуждается для своего поддержания во внешнем ионизаторе, его называют самостоятельным разрядом.

Ионизация электронным ударом. Каковы же причины резкого увеличения силы тока в газе при больших напряжениях?
Рассмотрим какую-либо пару заряженных частиц (положительный ион и электрон), образовавшуюся благодаря действию внешнего ионизатора. Появившийся таким образом свободный электрон начинает двигаться к положительному электроду - аноду, а положительный ион - к катоду. На своем пути электрон встречает ионы и нейтральные атомы. В промежутках между двумя последовательными столкновениями кинетическая энергия электрона увеличивается за счет работы сил электрического поля. Чем больше разность потенциалов между электродами, тем больше напряженность электрического поля.
Кинетическая энергия электрона перед очередным столкновением пропорциональна напряженности поля и длине l свободного пробега электрона (пути между двумя последовательными столкновениями):

Если кинетическая энергия электрона превосходит работу Ai, которую нужно совершить, чтобы ионизовать нейтральный атом, т. е.

то при столкновении электрона с атомом происходит ионизация (рис.16.34). В результате вместо одного свободного электрона образуются два (налетающий на атом и вырванный из атома). Эти электроны, в свою очередь, получают энергию в поле и ионизуют встречные атомы и т. д. Число заряженных частиц резко возрастает, возникает электронная лавина. Описанный процесс называют ионизацией электронным ударом. Но одна ионизация электронным ударом не может обеспечить длительный самостоятельный разряд. Действительно, ведь все возникающие таким образом электроны движутся по направлению к аноду и по достижении анода «выбывают из игры». Для существования разряда необходима эмиссия электронов с катода (эмиссия означает «испускание»). Эмиссия электронов может быть обусловлена несколькими причинами. Положительные ионы, образовавшиеся при столкновении свободных электронов с нейтральными атомами, при своем движении к катоду приобретают под действием поля большую кинетическую энергию. При ударах таких быстрых ионов о катод с поверхности последнего выбиваются электроны.

Кроме того, катод может испускать электроны при нагревании его до высокой температуры. При самостоятельном разряде нагрев катода может происходить за счет бомбардировки его положительными ионами, что происходит, например, при дуговом разряде.
В газах при больших напряженностях электрических полей электроны достигают таких больших энергий, что начинается ионизация электронным ударом. Разряд становится самостоятельным и продолжается без внешнего ионизатора.
В разреженном газе самостоятельный разряд возникает при сравнительно небольших напряжениях. Благодаря малому давлению длина пробега электрона между двумя ударами велика, и он может приобрести энергию, достаточную для ионизации атомов. При таком разряде газ светится, цвет свечения зависит от рода газа. Свечение, возникающее при тлеющем разряде, широко используется для рекламы, для освещения помещения лампами дневного света.
В газах могут происходить самостоятельный и несамостоятельный разряды. Вид разряда зависит как от давления газа, так и от подаваемого напряжения.

 

26.Магнитное поле. Закон Био-Совара-Лапласа и его применение к расчету простейших полей.

Магнитное поле постоянных токов различной формы изучалось французскими учеными Ж. Био (1774—1862) и Ф. Саваром (1791—1841). Результаты этих опытов были обобщены выдающимся французским математиком и физиком П. Лапласом.

Закон Био — Савара — Лапласа для проводника с током I, элемент d l которого создает в некоторой точке А (рис. 164) индукцию поля d B, записывается в виде

(110.1)

где d l — вектор, по модулю равный длине d l элемента проводника и совпадающий по направлению с током, r —радиус-вектор, проведанный из элемента d l проводника в точку А поля, r — модуль радиуса-вектора r. Направление d B перпендикулярно d l и r, т. е. перпендикулярно плоскости, в которой они лежат, и совпадает с касательной к линии магнитной индукции. Это направление может быть найдено по правилу нахождения линий магнитной индукции (правилу правого винта): направление вращения головки винта дает направление d B, если поступательное движение винта соответствует направлению тока в элементе.

Модуль вектора d B определяется выражением

(110.2)

где a — угол между векторами d l и r.

Для магнитного поля, как и для электрического, справедлив принцип суперпозиции: магнитная индукция результирующего поля, создаваемого несколькими токами или движущимися зарядами, равна векторной сумме магнитных индукций складываемых полей, создаваемых каждым током или движущимся зарядом в отдельности:

(110.3)

Расчет характеристик магнитного поля (В и Н) по приведенным формулам в общем случае сложен. Однако если распределение тока имеет определенную сим­метрию, то применение закона Био — Савара — Лапласа совместно с принципом суперпозиции позволяет просто рассчитать конкретные поля. Рассмотрим два примера.

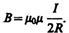
1. Магнитное поле прямого тока — тока, текущего по тонкому прямому проводу бесконечной длины (рис. 165). В произвольной точке А, удаленной от оси проводника на расстояние R, векторы d B от всех элементов тока имеют одинаковое направление, перпендикулярное плоскости чертежа («к вам»). Поэтому сложение векторов d B можно заменить сложением их модулей. В качестве постоянной интегрирования выберем угол a (угол между векторами d l и r), выразив через него все остальные величины. Из рис. 165 следует, что

(радиус дуги CD вследствие малости d l равен r, и угол FDC по этой же причине можно считать прямым). Подставив эти выражения в (110.2), получим, что магнитная индукция, создаваемая одним элементом проводника, равна

(110.4)

Так как угол a для всех элементов прямого тока изменяется в пределах от 0 до p, то, согласно (110.3) и (110.4),

Следовательно, магнитная индукция поля прямого тока

(110.5)

2. Магнитное поле в центре кругового проводника с током (рис. 166). Как следует из рисунка, все элементы кругового проводника с током создают в центре магнитные поля одинакового направления — вдоль нормали от витка. Поэтому сложение векторов d B можно заменить сложением их модулей. Так как все элементы проводника перпендикулярны радиусу-вектору (sin a =1) и расстояние всех элементов проводника до центра кругового тока одинаково и равно R, то, согласно (110.2),

Тогда

Следовательно, магнитная индукция поля в центре кругового проводника с током

 

27.Вихревой характер магнитного поля. Закон полного тока.




Поделиться с друзьями:


Дата добавления: 2014-12-16; Просмотров: 979; Нарушение авторских прав?; Мы поможем в написании вашей работы!


Нам важно ваше мнение! Был ли полезен опубликованный материал? Да | Нет



studopedia.su - Студопедия (2013 - 2026) год. Все материалы представленные на сайте исключительно с целью ознакомления читателями и не преследуют коммерческих целей или нарушение авторских прав! Последнее добавление




Генерация страницы за: 0.011 сек.