Студопедия

КАТЕГОРИИ:


Архитектура-(3434)Астрономия-(809)Биология-(7483)Биотехнологии-(1457)Военное дело-(14632)Высокие технологии-(1363)География-(913)Геология-(1438)Государство-(451)Демография-(1065)Дом-(47672)Журналистика и СМИ-(912)Изобретательство-(14524)Иностранные языки-(4268)Информатика-(17799)Искусство-(1338)История-(13644)Компьютеры-(11121)Косметика-(55)Кулинария-(373)Культура-(8427)Лингвистика-(374)Литература-(1642)Маркетинг-(23702)Математика-(16968)Машиностроение-(1700)Медицина-(12668)Менеджмент-(24684)Механика-(15423)Науковедение-(506)Образование-(11852)Охрана труда-(3308)Педагогика-(5571)Полиграфия-(1312)Политика-(7869)Право-(5454)Приборостроение-(1369)Программирование-(2801)Производство-(97182)Промышленность-(8706)Психология-(18388)Религия-(3217)Связь-(10668)Сельское хозяйство-(299)Социология-(6455)Спорт-(42831)Строительство-(4793)Торговля-(5050)Транспорт-(2929)Туризм-(1568)Физика-(3942)Философия-(17015)Финансы-(26596)Химия-(22929)Экология-(12095)Экономика-(9961)Электроника-(8441)Электротехника-(4623)Энергетика-(12629)Юриспруденция-(1492)Ядерная техника-(1748)

Кенорынды газарынды режимде игеру




Газ бүркемесінің қалыптасуы жағдайында қабатты игеру сипаттамасын қарастырайық.

Осындай қабатты игеру процессінде, газ мұнайдан бөлініп, гравитациялық күштің әсерімен газ бүркемесіне жиналады. Осылайша, мұнайлы қабат газарынды режимде игеріледі. Кенорын өндіру ұңғыларының тең торымен бұрғыланған. Пайдалану процессінде әрқайсысының жанында депрессия воронкасы пайда болады. Бірақ, ұңғы қанығуының шартты контурында r=rк қысым Рк тең. Орташа қабат қысымы Р деген ұғымды енгіземіз, ол қанығу контурының қысымына Рк тең, өйткені қысымның жалпы қабатта таралуында депрессия воронкасы маңызды емес. Игеру процессімен қамтылған қабат көлемі Vоп:

Vоп , (23)

 

мұндағы Vпл— қабаттың жалпы көлемі.

Жеке ұңғыларға ағатын мұнай мен газдың ағысын Дюпюи немесе ағынсыз радиалды фильтрация формуласымен есептейміз.

Мұнай кенорындарын еріген газ режимі және екінші реттік газ бүркемесімен игеру ұңғымен жалпы кенорынның газдық факторларының өсуіне және қорытындысында мұнайбергіштіктің төмендеуіне әкеліп соғады. Еріген газ және газ бүркемесі режимдерінде мұнай тұтқырлығы 1-5,10 Па*c болса да соңғы мұнайбергіштік 35%-дан аспайды. Сонымен қатар, кенорынды бұл режимдерде игеру ұңғының төмен дебитімен де байланысты.

 

Өзін-өзі тексеру сұрақтары:

1. Қай жағдайда серпімді режим байқалады?

2. Серпімді режим теориясын қандай мәселені шешу үшін қолданады?

3. Серпімді қор дегеніміз не?

4. Қандай газ бүркемесі екінші реттік деп аталады?

 

Ұсынылатын әдебиеттер:

1. Желтов Ю.П. Разработка нефтяных месторождений. - М.: Недра, 1986.

Тақырып 17: «Мұнайгаз және мұнайгазконденсатты

кенорындарды игеру»

Дәрістің мақсаты: студенттерді мұнайгаз және мұнайгазконденсатты кенорындарды игеруде жүретін процесстермен таныстыру.

Негізгі сөздер: мұнайгаз кенорны, газ, конденсат, қанығу қысымы, газ бүркемесі.

Мұнайгаз кенорындары дегеніміз – табиғи газ бүркемесі бар мұнай кенорындары. Мұнда бастапқы қабат қысымы қанығу қысымынан едәуір төмен, бұл жағдайда газдың бөлігі ғана мұнайда ериді, ал қалған бөлігі мұнайдың үстінде екінші реттік газ бүркемесін жасап тұрады.

Мұнайгазконденсатты кенорындар дегеніміз – бұл газды бөлігінде негізінен С3 – С8 және одан да ауыр көмірсутекті қоспасы бар майлы газ, яғни конденсаттың жоғары көлемі бар мұнайгаз кенорындары.

Мұнайгаз кенорындарының мұнайлы бөлігінде еріген газы бар мұнаймен қоса біріккен суы да бар. Мұнайгаз кенорындарының газды бөліктерінде газбен біріккен сумен қоса аз мөлшерде қаныққан мұнай да болуы мүмкін.

Мұнайгаз кенорындарын игерудің негізгі талабы мұнайдың газ бүркемесі жағына жылжымауын қадағалау. Газ бүркемесіне қарай жылжыған мұнай, қалдық мұнайменқаныққан бөлік қалдыруы мүмкін, соның салдарынан газ бүркемесінде қосымша мұнай шығынына әкеліп соғады

Мұнайгаз кенорындарын табиғи режимде игеруде ГМК-нің газ бүркемесіне қарай жылжуының алдын алу үшін, мұнай және газ бөліктерінде қабат қысымының айырмасын нолге теңестіреді.

 

Өзін-өзі тексеру сұрақтары:

1. Мұнайгаз кенорындары деп қандай кенорындар аталады?

2. Мұнайгазконденсатты кенорындар деп қандай кенорындар аталады?

3. Мұнайгаз кенорындарын игерудің негізгі талаптары қандай?

 

Ұсынылатын әдебиеттер:

1.Желтов Ю.П. Разработка нефтяных месторождений. - М.: Недра, 1986.

 

5 Бөлім. Практикалық сабақтар үшін методикалық әдістеме.

 

Практикалық сабақ№ 1

Тақырыбы. Мұнай қорларын анықтау.

Есеп қойылымы.

Мұнай кен орнын 5 жыл барлау кезінде кейбір геологиялық қорлар С2 ден С1 категориясына аударылды. Қорларды аударудын орташа жылдамдығы qc2.

А+В категориясына аударылып жаткан С1 категориялы қордын орташа нақтылау коэффициентін Ас1 анықтау керек.

Териялық болім.

 

(1)

 

(2)

 

(3)

 

(4)

 

 

(5)

 

 

Берілгені кесте 1

варианттар                    
параметрлер
Қордың аударылу жылдамдығы. qc2, т/жыл   80.106 70.106 90.106 95.106 85.106 75.106 60.106 65.106 98.106 87.106
Қорды нақтылау коэффициенті ac2, 0.5 0.4 0.6 0.7 0.45 0.65 0.8 0.75 0.55 0.85
5 жылғы мұнай өнімі, Q, т 25×106 35×106 45×106 50×106 30×106 20×106 15×106 32×106 28×106 48×106
Мұнай бергіштік коэффициенті nк 0,5 0,6 0,7 0,8 0,55 0,45 0,4 0,65 0,57 0,75
С1 Қор саны, Gc1 100×106 110×106 125×106 135×106 105×106 95×106 90×106 120×106 115×106 130×106
a+b Қор саны, Ga+b 30×106 40×106 55×106 65×106 35×106 25×106 20×106 50×106 45×106 60×106

 

 

Практикалық сабақ № 2

Тақырыбы: Мұнай кенішінің қорын есептеу.

Есеп қойылымы:

Шеңбер пішінді кеніштің қорын есептеу қажет.

Теориялық бөлім.

Қабат жағдайындағы балансты қорды есептеу.

(6)

 

Қалапты жағдайдағы мұнай қоры.

, (7)

мұндағы,

Sн- мұнайға қаныққандылық

Рн,д- дегаздалған мұнай 808 кг/м3

Г0- газға қаныққындылық 149 м3

Рr- қалыпты жағдайдағы газ тығыздығы,1.165кг/м3

Tпл.- қабат температурасы

 

берілгені кесте 2

вариантар                    
параметрлер
Кеніш радиусы;R3, км. 4,75 4,15 4,5 4,3 3,75 5,5 5,15 4,25 5,25  
Қабат қалыңдығы; h, м     6,5 6,25       8,5 6,75 7,5 5,5
Мұнайға қаныққандылық; Sн- 0,7 0,6 0,65 0,62 0,45 0,85 0,75 0,55 0,8 0,5
Қабат температурасы; Tпл.                    
Қабат қысымы;Рпл,мпа                    
Кеуектілік коэффициенті;m 0,27 0,22 0,26 0,23 0,2 0,4 0,3 0,25 0,35 0,24

 

Практикалық сабақ № 3

Тақырыбы: «Ұңғылар санын анықтау»

Есеп қойылымы.

Мұнай кен орнын жобалаған кезде, игерудің екі объектісі белгіленген. Қабаттары біртексіз құрылыспен сипатталып, көп кабатшалардан және линзалардан тұрады.

Кен орын үшін игерілмелі соммалы қорлар максималды болу үшін, әр игеру объектісі үшін қанша ұңғы бұрғылану керек.

Теориялық бөлім:

Бірінші және екінші объектілерін қамту коэффициенттерінің ұңғылар торы тығыздығына сызықты тәуелділігі.

n21 =1-0,005•Sc1 (8)

n22=1-0,00833•Sc2 (9)

n1 мен бірінші обект ұңғыларын, ал n2 мен екінші объектте бұрғылынатын ұңғылар санын белгілейк,сонда

n=n1+n2. (10)

Сәйкесінше ұңғылар торының тығыздығы

, (11)

 

N1- бірінші обектіден алынатын игерілмелі қорлар және N2 - екіншіи обектіден алынатын игерілмелі қорлар

N1=G1•n11(1-0,005•Sc1) (12)

N2=G2•n12(100083•Sc2) (13)

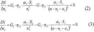
Есеп шартына сйкес максимал мән N=N1+N2 анықтау керек. (10), (11), (12), (13) формулаларын қолданып:.

(14)

Ыңғайлы болу үшін: A=G1• n11+G2 • n12

B=0,005 • n11S1

D=0,00833 • G2•S2

 

(15)

Максимал мәнді табу үшін бірінші туындыны нольге теңестіреміз,

(16)

(16) дан квадрат теңдеу аламыз

(17)

 

(17) теңдуінің екі түбірі бар

; (18)

n11< n12, сонда

 

 

Берілгені кесте 3

варианттар                    
параметрлер
Геологиялық қорлар: G1, G2, млн.Т 80, 30. 90,40 110,60 125,75 105,65 117,72, 140,100 115,95 103,69 85,35
Мұнайлылық аудыны, м2. S1, S2,. 5000,   6000,   6500,   4500, 6200,   6100, 7000, 6400, 1850,   6050, 1550,   5500,  
Ығыстыру коэффициенті: n1, n2,. 0.6;0.7 0.7;0.6 0.8;0.6   0.9;0.6   0.6;0.7   0.7:0.8 0.6;0.8 0.7;0.6   0.8;0.6   0.6;0.7  
Екі объектіге ұңғылар саны, n.                    

Практикалық сабақ № 4

Тақырыбы: Мұнайдың жылдық өнімін анықтау

Есеп қойылымы.

Кен орын игерілуге ұңғылардын бес нуктелі орналасу сұлбасымен енгізіледі. Бұл сұбада бір элемтке екі ұңғы келеді, яғни бір өңдіріші, бір айдау ұңғысы.

 

1 - сурет– Ұңғылардын бес нүктелі сұлбасындағы уақыт ішінде игеру қарқынының өзгеруі.

 

(19)

 

Кенорын жылына игеруге w0 элементтерді тұрақты енгізу арқылы бұрғыланып жабдықталынады.

Бұрғылау мен жабдықтаудың аяқталу уақыты Zэ0= 0,11 жыл, t *=3 жыл, t=7.

Кен орынды игеруге енгізгеннен кейін 3,7,10 жылғы мұнай өнімін анықтау керек.

 

Теориялық бөлім.

Бірінші, жүйе элементінің игеру қарқынын сипаттайтын а параметрін анықтау керек. Ол үшін негізгі игеру қарқынын пайдаланамыз

(20)

 

(19) заңдылығы бойынша игеру қарқынының өзгерісі кезінде

 

(21)

Екінші интеграл дәл солай анықталады

(22)

(21) және (22) пайдаланып

(23)

 

 

Кен орында мұнайды өндіру игерудін әр кезеніне байланысты уақыт өте өзгереді.

Төрт кезең белгілейміз. Бірінші кезеңде кен орын бұрғыланып, мұнай өнімі әлі төмендемейді. Кез келген кезеңде мұнай өндіру кеелесідей анықталады:

(24)

Бірінші кезеңде, яғни 0 < t < t* кезінде

(25)

 

Екінші кезеңде мұнай өндіру өсіп максимумға жетеді.

 

(26)

 
 


3 кезеңде, яғни t < t < t1 + t* кезінде енгізілген элементтер ақырындап өндірудің төмендеуіне келеді. Бірақ өнім күрт азймайды. 3 кезеңдегі өндіру үшін (26) формулаға сәйкес:

(27)

 

4 кезеңде, яғни t > t,+ t* кезінде барлық элементтер өндірудің қулауына келеді:

(23)

 

 

Берілгені кесте 4

нұсқаулар                    
параметрлер
Элементтер саны, Nэо 10.                  
Элементтерді енгізу жылдамдығы, W0                    

 

Практикалық сабақ №5

Тақырыбы «Ұңғы торының тығыздығын анықтау»

Есеп қойылымы.

Бір кен орында 3 объект белгіленген. Олар келесі көрсеткіштермен сипатталады: геологиялық қорлар G1, G2, және G3.

Ығыстыру коэффициентінің торлар тығыздығына тәуелділігі. n21=10,005•Scl; n 22=1-0,008• Sc2; n 23 =1-0,0033• Sc3. N = N1 + N2 + N3 мәні максимуға жеткен кезде ұңғылар торының тығыздығын анықтау керек. Sc1-? S2C-? SC3-?

Теориялық бөлім.

Соммалы игерілмелі қорлар N.

(24)

N максимумын анықтау үшін нолге келесі туындыларды теңестіреміз.

 

(25), (26)

 

(27), (28)

(29)

 

Берілгені кесте 4

нұсқаулар                    
параметрлер
Геологиялық қорлар: G1, G2, G3., млн.Т 100, 50, 70. 90,40,60. 110,60,80. 125,75, 90. 105,65, 75. 117,72, 86. 140,100, 120. 115,95, 105. 103,69, 89. 85,35, 55.
Мұнайлылық контуры, м2. S1, S2, S3. 6000, 1500, 5000, 1350, 6500, 1700, 6650, 1750, 6200, 1600, 6100, 1550, 7000, 2000, 6400, 1850, 6050, 1550, 5500, 1400,
Ығыстыру коэффициенті: n11, n12, n13. 0.6;0.7: 0.8 0.7;0.6: 0.8 0.8;0.6: 0.7 0.9;0.6: 0.7 0.6;0.7: 0.8 0.6;0.7: 0.8 0.6;0.7: 0.8 0.7;0.6: 0.8 0.8;0.6: 0.7 0.6;0.7: 0.8

Практикалық сабак № 6

Тақырыбы: «Шеңбер тәріздес кенішіндегі ұңғы шығымын анықтау»

Есеп қойылымы.

Шенбер тәріздес кенішіндегі әр қатардағы бірге жасайтын ұңғылардың соммарлы шығымын және жеке ұңғыға келетін шығымды анықтау керек.

сурет 2 – шеңбер тәріздес кеніштің сұлбасы.

 

Теориялық болім

Орташа шығымды анықтау үшін есептелмелі келтірілген контур радиусы енгізіледі.

 

 

сурет 3 – Суарынды режим кезіндегі келтірілген тұтыну контурын есептеу үшін шеңбер тәріздес кеніштің сұлбасы

 

келтірілген тұтыну контуры келесідей анықталады:

; (30)

 

Пайдаланушы қатарлардың шығымдары:

1)

 

2)

 

3) (31)

 

Соммалы шығым:

 

Қатардың бір ұңғысына келетін шығым:

(32)

Қатардағы ұңғылар саны:

(33)

 

 

Берілгені кесте 6

 

нұсқаулар                    
параметрлер
Ұңғылар арасындағы қашықтық, 2s, м                    
Ұңғы радиусы,rc, м 0,1 0,1 0,1 0,1 0,1 0,1 0,1 0,1 0,1 0,1
Мұнайлылық контурының радиусы,Rн, м   5,1 5,5 5,6 5,8 5,7 5,9     5,5
Қабат қалындығы,h, м                    
Қабат өткізгіштігі, k, Д                    
Мұнай тұтқырлығы mн, спз                    
Су тұтқырлығы mв, спз 1,5 1,5 1,5 1,5 1,5 1,5 1,5 1,5 1,5 1,5
Тұтыну контурындағы қысым Р, ат                    
Түп қысымы, Рзаб, ат                    
Қатарлар радиусы,м R1 R2 R3                    
                   
                   
Тұтыну аймағы контурының радиусы Rк, км                    

 

 

Практикалық сабақ №7

Тақырыбы: «Шеңбер тәріздес кеніштің игеруінің ұзақтылығын анықтау».

Есеп қойылымы.

Шеңбер тәріздес кеніштің игеруінің ұзақтылығын анықтау керек. Определить продолжительность разработки круговой залежи нефти. Кеніште пайдаланушы ұңғылардың алты қатары орналаскан. Қабат ортасында радиусы ro бір ұңғы орналастырылған. Әр ұңғы белгілі бір q шығымымен жұмыс істейді, және барлық қатарлар іске қосылған.

 

сурет 4 – Шеңбер тәріздес кеніш сұлбасы

 

Теориялық бөлім.

Кенішті игерудің әр кезенінің ұзақтылығы:

; (34)

Мұндағы, i – пайдаланушы қатар игеруінін номері

Vi – игерудің әр кезніндеі мұнай қоры, [м3].

Q ci – пайдаланушы қатарлардың соммалы шығымы, [м3/сут].

 

Игерілмелі қорды келесідей анықтауға болады:

, (35)

Мұңдағы, Rii -қатарының радиусы.

 

Әр кезеңдегі мұнайлылық контурының ығысуына әкелетін пайдаланушы катарлардың соммалы шығымы:

;

және с.с. (36)

 

әр қатардағы ұңғы саны:

Қатардың соммалы шығымы:

 

 

 

Берілгені. Таблица 7

 

нұсқаулар                    
параметрлер
Мұнайлылық контуры Rн, м                    
Қабат қалыңдығы, h, м                    
Ұңғылар арысы қашықтығы.2s,м                    
Дебит скважины q,м3/сут                    
Пайдаланушы қатарлардың радиустары R1 ., м R2 R3 R4 R5 R6                    
Ұңғы радиусы, rо, cм                    
Қабат кеуектілігі, m, %       11,5 12,5     12,5   11,5

Практикалық сабақ №8

Тақырыбы: «Біртексіз қабат жағдайындағы ұңғылар қатарының шығымдарын анықтау».

Есеп қойылымы.

Біртексіз қабат жағдайындағы ұңғылар қатарының шығымдарын және айдау ұңғыларының қысымдарын анықтау керек.

 

Сурет 5 - өткізгіштіік бойынша шеңбер тәріздес біртексіз кеніштің сұлбасы.

Теориялық бөлім.

Мұнай кен орындарын игеру кезінде басында нұсқа сыртынан су айдау қолданылды, осы кезде айдау ұңғыларын мұнайлылық нұсқысының сыртында бұрғыланды.

Нұсқа сыртынан негізінен алевролит пен кұмтастардан тұратын өнімді қабаттары бар кен орындарында қолданылды. Өткізгіштігі 0,3-1,0 мкм2., Мұнай тұтқырлығы 1-5×10-3 Па×с. Нұсқа сыртынан айдау жүргізілен шенбер тәріздес кенішті қарастырайық (сур.5).

Пайдалану ұңғылары үш қатарда орналастырған.

Пайдаланушы қатарлардың шығымын төмендегідей анықтауға болады:

1)

 

2)

 

 

3) (37)

 

Қабатқа айдалатын су мөлшері

Qн = Q1 + Q2 + Q3

 

 

Айдау ұңғыларындағы қысым:

(38)

 

Берілгені кесте 8

Нұсқаулар                    
параметрлер
Айдау сызығының радиусы Ro, м                    
Мұнайлылық нусқасы Rн, м                    
Қабат қалыңдығы, h, м 7,5   8,2 8,5 7,5 7,5 8,5 7,5    
Айдау ұңғылар арасы қашықтығы 2sн                    
пайдалану ұңғылар арасы қашықтығы 2s,м                    
Сұйықтық тығыздығы m, мПа×с 2,5   2,7   2,7   3,5 2,5    
Айдау сызығындағы қысым Рк, МПа   17,5 17,5     17,5   17,5 17,5  
Пайдаланушы қатарлардың радиусы R1 ., м R2 R3                                        
Айдау ұңғысының радиусы, rн, м 0,1 0,1 0,1 0,1 0,1 0,1 0,1 0,1 0,1 0,1
өткізгіштік k, мкм2 I зоны II зоны III зоны     0,2 0,5 0,8     0,25 0,55 0,8     0,22 0,52 0,82     0,21 0,5 0,81     0,23 0,53 0,83     0,24 0,54 0,84     0,3 0,55 0,85     0,2 0,5 0,8     0,25 0,55 0,85     0,25 0,5 0,8
Пайдаланушы ұңғының келтірілген радиусы rпр, м 10-4 10-4 10-4 10-4 10-4 10-4 10-4 10-4 10-4 10-4
Пайдаланушы ұңғының түп қысымдары Рзаб1= Рзаб2= Рзаб3, МПа   12,5 12,5     12,5 12,5   12,5  
Шенбер радиусы R, м                    

 




Поделиться с друзьями:


Дата добавления: 2014-12-16; Просмотров: 825; Нарушение авторских прав?; Мы поможем в написании вашей работы!


Нам важно ваше мнение! Был ли полезен опубликованный материал? Да | Нет



studopedia.su - Студопедия (2013 - 2026) год. Все материалы представленные на сайте исключительно с целью ознакомления читателями и не преследуют коммерческих целей или нарушение авторских прав! Последнее добавление




Генерация страницы за: 0.013 сек.