Студопедия

КАТЕГОРИИ:


Архитектура-(3434)Астрономия-(809)Биология-(7483)Биотехнологии-(1457)Военное дело-(14632)Высокие технологии-(1363)География-(913)Геология-(1438)Государство-(451)Демография-(1065)Дом-(47672)Журналистика и СМИ-(912)Изобретательство-(14524)Иностранные языки-(4268)Информатика-(17799)Искусство-(1338)История-(13644)Компьютеры-(11121)Косметика-(55)Кулинария-(373)Культура-(8427)Лингвистика-(374)Литература-(1642)Маркетинг-(23702)Математика-(16968)Машиностроение-(1700)Медицина-(12668)Менеджмент-(24684)Механика-(15423)Науковедение-(506)Образование-(11852)Охрана труда-(3308)Педагогика-(5571)Полиграфия-(1312)Политика-(7869)Право-(5454)Приборостроение-(1369)Программирование-(2801)Производство-(97182)Промышленность-(8706)Психология-(18388)Религия-(3217)Связь-(10668)Сельское хозяйство-(299)Социология-(6455)Спорт-(42831)Строительство-(4793)Торговля-(5050)Транспорт-(2929)Туризм-(1568)Физика-(3942)Философия-(17015)Финансы-(26596)Химия-(22929)Экология-(12095)Экономика-(9961)Электроника-(8441)Электротехника-(4623)Энергетика-(12629)Юриспруденция-(1492)Ядерная техника-(1748)

Методичні рекомендації 1 страница




Э

І

Ы

Ц

Ф

У

Ты

C) 20 м

То

Т

С

О

Н

МАТ

М

Л

К

И

З

Ж

Екі

Е

Д

Г

В

Б

РІП

А және С нүктелердегі +q зарядтың кернеуліктерін салыстыру керек (ОА = АС)? (EА = 4 EС )

F1= 3Н және F2=4Н екі күш дененің бір нүктесіне түсірілген. және күштердің арасындағы бұрыш π/2. Тең әсерлі күштің модулін тап: (5 Н)

теңдеуі қандай толқындарды өрнектейді? (жазық толқындарды)

өрнегі нені анықтайды? (Жазық конденсатордың сиымдылығын)

(ED)/2 өрнегінің физикалық мағынасы: (Ортадағы электр өрісінің энергиясының көлемдік тығыздығы)

m1=2m2=4 кг, 2 1= 2=8 м/с болғандағы жүйе импульсін табыңдар. х=0)

және () массалары суретте көрсетілгендей байланыстырылған. массаның жазықтық бетімен үйкелісін ескермей, байланысқан массалардың үдеуін анықтаңы ()

Ван-дер-Ваальс теңдеуіне кіретін шамалардың қайсысы 1 моль нақты газ ішіндегі барлық молекулалардың меншікті көлемін анықтайды? (b)

Р–Т диаграммасында берілген газ массасының А және В нүктелер арасындағы екі күйі көрсетілген. Бұл күйлердегі газдардың көлемдерін салыстырыңыз. (VB < VA)

P-V диаграммасында термодинамикалық цикл кескінделген. Цикл ішінде газдың жасайтын пайдалы жұмысының мөлшері қанша? (400Дж)

P-V термодинамикалық диаграммасында бір изохора бойында жататын күйлер үшін қандай термодинамикалық параметрлер тұрақты болып қалады? (көлем)

PV диаграммасында идеал газдың 1-ші күйден 2-ші күйге өту процесі көрсетілген. Бұл қандай процесс?

(изобаралық қыздыру)

R1=2 Ом, R2=6 Ом болса, суретте көрсетiлген тiзбектiң жалпы кедергiсi қанша болады? (4 Ом)

және екі шам параллель жалғанған. Қай шамда токтың қуаты көп болады. (1-шам)

q зарядын 1 нүктеден 2 нүктеге ауыстырғандағы электр өрісінің жұмысының өрнегі: (q(φ1 - φ2))

q1 = +12 нКл и q2 = -4 нКл нүктелік екі заряд 40 см қашықтықта орналасқан. Екі зарядтың ортасында орналасқан нүктенің өріс кернеулігін тап: (3600 В/м.)

Т0 температурадағы идеал газ бөлшектерінің концентрациясы n0. Тұрақты қысымда газ концентрациясын 3 есе арттырды. Температура қалай өзгереді? (Т= Т0)

T, S диаграммада квазистатистикалық процесс кескінделген. Штрихталған аудан неге тең?(1 күйден 2 күйге өткендегі жүйенің алған жылу мөлшеріне)

0=17 м/с бастапқы жылдамдықпен биіктігі 12 м мұнарадан вертикаль жоғары лақтырылған дене жерге 4 с-тен кейін түсті Дененің орын ауыстыруындағы орташа жылдамдықтың мәнін анықтаңыз.(3 м/с)

жылдамдығы бар ілгерілемелі қозғалып келе жатқан бірінші шарик қозғалмай тұрған үш шарикпен соқтығысады. Барлық төрт шариктің массалары бірдей. Абсолют серпімді центрлік соқтығысудың нәтижесіндегі төртінші шариктің жылдамдығы: ()

жылдамдықпен қозғалып келе жатқан массасы m дене қабырғамен серпімді әсерлесу нәтижесінде модулі бойынша дәл сондай жылдамдықпен, қарама-қарсы бағытта қозғала бастады. Қабырға тарапынан денеге әсер ететін серпімділік күші қандай жұмыс атқарады? (0)

жылдамдықпен қозғалып келе жатқан массасы m шар, одан массасы екі есе үлкен қозғалмай тұрған шармен серпімсіз соқтығысқан. Олардың қозғалыс жылдамдықтары қанша?

V(t) графигінен дененің 4 с-та жүрген жолын табыңыз: (6 м)

U кернеуіне дейін зарядталған сыйымдылығы С конденсатор толық разрядталғанда қандай энергия бөлінеді? (СU2/2)

U, V (U-ішкі энергия, V-көлем) – диаграммасында кескінделген қисықтардың қайсысы изотермдік процеске сәйкес келеді? (4)

х=0,06 cos(, м теңдеуімен анықталатын гармониялық тербеліс жасаған материалдық нүктенің 0,5 с уақыт өткеннен кейінгі ығысуын табыңыз. (0,03 м)

x=2sin2πt заңы бойынша тербелетін дененің тербеліс жиілігі қандай? (1с Гц)

заңы бойынша тербелетін дененің тербеліс периоды қандай? (1 с)

x = Аcos(wt-кх) теңдеуі бойлық толқындарды cипаттай ма, әлде көлденең толқындарды cипаттай ма? Бойлық және көлденең толқындарды

x = Аcos(wt-кх) теңдеуі қума толқындарды өрнектей ме, әлде көлденең толқындарды өрнектей ме? (Қума және көлденең толқындарды)

Х=Х(t) теңдеуі графигінен козғалған денелердің кездесу орнын және кездесу уақытын табыңыз. (10 м, 10 с)

Х осінің бойымен қозғалған дененің жылдамдығы уақыт бойынша заңымен өзгереді. Дене қозғалғаннан бастап 5 с өткенге дейінгі орташа жылдамдығы неге тең? (20 м/с)

бұрыштық жылдамдықпен айналатын дискінің шығырынан дененің қашықтығы /2-ге тең. Егер дене дискінің шетіне орын ауыстырса, онда дененің бұрыштық жылдамдығы қалай өзгереді? (өзгермейді)

А

А және С нүктелердегі +q зарядтың кернеуліктерін салыстыру керек (ОА = АС)? (EА = 4 EС)

Абсолютті серпімсіз соққы үшін қозғалыс мөлшерінің сақталу заңы: ()

Абсолют серпімсіз соқтығысу кезінде импульс пен механикалық энергияның сақталу заңдары орындала ма? (импульсі сақталады, энергиясы сақталмайды)

Абсолют серпімсіз соқтығысқан екі шар үшін импульстің сақталу заңының өрнегін табыңыз. Шарлардың массалары m1 және m2, ал жылдамдықтары 1 және 2, яғни m1 1+ m2 2=? ((m1+m2)u)

Абсолют температурасын 4 есе арттыранған кезде, газдың орташа квадраттық жылдамдығы қалай өзгереді? (2 есе артады)

Абсолют температурасын 4 есе арттырған кезде идеал газ молекуласының жылулық энергиясының орташа кинетикалық энергиясы қалай өзгереді? (4 есе артады)

Автомобиль а үдеумен қозғалады. Массасы m адам орындық арқасын қандай күшпен қысады?

Автомобиль а үдеумен қозғалады. Массасы m адам орындық арқасын қандай күшпен қысады? (F=ma)

Автомобиль радиусы 10 м шеңбер бойымен 5 м/с тұрақты жылдамдықпен қозғалады. Центрге тартқыш үдеуі қандай? (2,5 м/с2)

Автомобильдің бірқалыпты кемімелі қозғалысы кезінде 5 с ішінде оның жылдамдығы 15-тен 10 м/с-ке азайған. Автомобиль үдеуінің модулі қаншаға тең? А) 1 м/с2

Автомобильдің қозғалысқа кеткен уақытының бірінші жартысында 100 км/сағ жылдамдықпенал екінші жартысында 50 км/сағ жылдамдықпен қозғалады. Автомобильдің орташа жылдамдығы қандай? ((75 км/сағ.))

Ағын түтігі горизонталь орналасқандағы Бернулли теңдеуі: ()

Адам бір минутта 100 қадам жасайды. Қадамның ұзындығы 80 см. Адамның қозғалыс жылдамдығын м/c және км/сағ-пен анықтаңыз. (1,33 м/с; 4,8 км/сағ)

Адиабаталық процесс кезінде мына шарт міндетті түрде орындалады: (Қоршаған ортамен жылу алмасу болмайды._

Адиабаталық процесс үшін жұмыстың формуласын көрсет. ()

Адиабаталық процестің теңдеуін көрсетіңіз. (PVg=const)

Адиабаталық ұлғаю кезінде идеал газдың ішкі энергиясы қалай өзгереді? (DU <0)

Адиабаталық ұлғаю кезінде идеал газдың ішкі энергиясының өзгерісі қандай болады? (DU <0)

Азот молекуласы ыдыс қабырғасына перпендикуляр бағытта v жылдамдықпен қозғалады. Егер молекула қабырғамен серпімді түрде әсерлессе, молекула импульсінің өзгерісі қандай шамаға тең? ()

Айдың массасы Жердің массасынан 81 есе кіші екенін ескере отырып, Ай тарапынан Жерге әсер ететін F1 тартылыс күшінің Жер тарапынан Айға әсер ететін F2 тартылыс күшіне қатынасын табыңыз. (1)

Айдың массасы Жердің массасынан 81 есе кіші, ал диаметрі Жер диаметрінен 3,7 есе кіші. Айдағы еркін түсу үдеуін анықтаңыз. (0,17g)

Айналмалы қозғалыстағы дененің кинетикалық энергиясын анықтайтын формуланы көрсетіңіз.()

Айналмалы қозғалыстың динамикасының негізгі заңы бойынша күш моменті қандай өрнекпен өрнектеледі ( M=Іe) )

Айналмалы қозғалыстың кинетикалық энергиясы 16 есе арту үшін дененің бұрыштық жылдамдығын қалай өзгерту керек? (4 есе арттыру керек)

Айналу осіне қатысты инерция моменті I=4∙10-4 кг∙м2 маховиктің бұрыштық жылдамдығы =5 с-1 болса, оның кинетикалық энергиясы неге тең? (5×10-3 Дж)

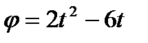
Айналып тұрған дененің бұрылу бұрышы теңдеуімен сипатталады. Дененің қозғалысы төменде берілген жағдайлардың қайсысына сәйкес келеді. ()

Айналып тұрған дененің бұрылу бұрышы теңдеуімен сипатталады. Дененің бұрыштық жылдамдығы неге тең? (4t-6)

Айнымалы ток тізбегіндегі индуктивті кедергі: ( )

Айнымалы ток тізбегінде қуат коэффициенті ең үлкен болады, егер 1.Тізбекте тек индуктивтік кедергі 2. Тізбекте тек сыйымдылық кедергі 3. Сыйымдылық және индуктивтік кедергілер тең 4. Тізбекте тек актив кедергі (3,4)

Акцепторлы қоспалы шалаөткiзгiште негiзгi заряд тасымалдаушы не болып саналады? (кемтiктер)

Амплитудалары А1=10 см, А2=6 см және тербеліс периодтарыда бірдей бағыттары да бірдей екі гармониялық тербелістерді қосу нәтижесінде, қорытқы амплитудасы А=14 см болатын тербеліс алынған. Берілген екі тербелісті қосу кезіндегі cos(j1-j2) мәнін анықтаңыз. (1/2)

²Арқан тарту² ойынына екі топ қатысады. Әрқайсысы арқанды өзіне қарай 5000 Н күшпен тартады. Арқанның керілуі неге тең? (5000 Н)

Астарлары арасындағы потенциалдар айырымын 2 есе арттырғанда, зарядталған конденсатордың энергиясының тығыздығы қалай өзгередi? (4 есе өседi)

Астарларының ара қашықтығын 3 есе азайтып және арасына e=3-ке тең диэлектрик енгiзгенде, жазық конденсатордың сыйымдылығы қалай өзгередi? (9 есе өседi)

Астронавтар бастапқы жылдамдықсыз болат шарик, қауырсын, тығын, пластмасса қиығын бірдей уақытта вертикаль төмен тастады. Ай бетіне қай зат басқасынан бірінші түседі. (Айда атмосфера жоқ). (Барлық зат бір уақытта түседі)

Аталған физикалық шамалардың екеуі де векторлық шама бола алады: (жылдамдық және үдеу )

Атмосфера қысымын қандай құралмен өлшейді? (барометр)

Атмосфералық қысымда поршень астындағы газды қыздырғанда оның көлемі ұлғаяды. Бұл қандай процесс:

(Изобаралық)

Атты жолаушы бірінші 0,5 сағатта 5 км/сағ жылдамдықпен жүрсе, ол келесі 0,5 сағатта 7 км/сағ жылдамдықпен жүрген. Қозғалыс кезіндегі атты адамның орташа жылдамдығын табыңыз. (6 км/сағ)

Ауданы S = 200 см2 және қалыңдығы d = 1 см шыны пластинада () кернеулігі Е = 1000 В/м біртекті электр өрісі жасалған. Пластинадағы өріс энергиясының көлемдік тығыздығын табыңыз: (» 31 мк Дж/м3)

Ауданы 250 см2 сфералық бет арқылы өтетін ығысу векторының ағыны ФD=2 мкКл. Осы сфера қамтыған зарядтардың алгебралық қосындысы қанша болады? (2 мкКл)

Ацетиленнің С2Н2 1 молінде қанша молекула бар? (6,02∙1023 моль-1)

Ә

Әрқайсысының кедергілері 6 Ом болған екі өткізгіш параллель жалғанған. Осы тізбектің жалпы кедергісі қанша болады? (3 Ом)

Әрқайсысының кедергiсi 2 Ом төрт бiрдей кедергi суреттегiдей етiп жалғанған. Мұндай тiзбектiң жалпы кедергiсiн анықтаңыз. (2 Ом)

Әрқайсысының кедергiсi 3R болатын тiзбектiң бөлiгiнiң жалпы кедергiсi қанша болады? R=42 Ом. (42 Ом)

Әрқайсысының кедергiсi 6 Ом, екi өткiзгiш параллель жалғанған. Мұндай тiзбектiң жалпы кедергiсiн анықтаңыздар.

(3 Ом)

Әрқайсысының кедергiсi 15 Ом үш бiрдей резистор суреттегiдей жалғанған. Бұл тiзбектiң жалпы кедергiсi қанша болады? (10 Ом)

Әрқайсысының кедергiсi 100 Ом, параллель жалғанған 50 электр шамы, кернеуi 220 В болатын аккумуляторға қосылған. Егер аккумулятордың iшкi кедергiсi 0,5 Ом болса, оның ЭҚК-i қанша болғаны? (275 В)

Әрқайсысының массасы 2 кг болатын екі арбаша горизонталь бетпен бір-біріне қарама-қарсы бағытта бірдей 3 м/с жылдамдықпен қозғалып келеді. Жүйенің соқтығысқанға дейінгі импульсі қандай? (0 кг×м/с)

Әрқайсысының сыйымдылығы 6 мкФ бірдей екі конденсатор параллель жалғанған. Мұндай батареяның сыйымдылығы қанша мкФ болады? (12 мкФ)

Әрқайсысының сыйымдылығы 8 мкФ бiрдей екi конденсатор тiзбектей жалғанған. Мұндай батареяның сыйымдылығы қанша мкФ тең болады? (4 мкФ)

Әрқайсысының ЭҚК-i 1,5 В және iшкi кедергiлерi 0,5 Ом алты бiрдей аккумулятор тiзбектей жалғанып, оған 6 Ом кедергi қосылып тұйықталған. Бұл тiзбектегi ток күшi қанша болады? (1 А)

Әрқайсысының ЭҚК-i e және iшкi кедергiсi r болатын n бiрдей ток көзiн тiзбектей жалғағанда, сыртқы кедергiсi R болатын тiзбектегi толық ток қай формула бойынша анықталады? ()

Әрқайсысының ЭҚК-i 4,5 В және iшкi кедергiлерi 0,25 Ом екi аккумулятор тiзбектей жалғанып, 4 Ом кедергiмен жалғанған. Осы тiзбектегi ток күшi қанша болады? (2 А)

Әрқайсысының ЭҚК-i 16 В және iшкi кедергiсi 0,4 Ом екi аккумулятор өзара параллель қосылған. Егер осы ток көзін 7,8 Ом кедергiмен тұйықтаса, тiзбектегi ток күшi қаншай болады? (2 А)

Әрқайсысының ЭҚК-ші 1,5 В және ішкі кедергілері 0,5 Ом үш бірдей аккумулятор тізбектей жалғанып, оған 3 Ом кедергі қосылған. Бұл тізбектегі тоқ күші қанша болады? (1 А)

Әрқайсысының ЭҚК-шi 2 В және iшкi кедергiлерi 0,5 Ом алты бiрдей аккумулятор тiзбектей жалғанып, оған 9 Ом кедергi қосылған. Бұл тiзбектегi ток күшi қанша болады? (1 А)

Әсер етуші күштердің векторлық қосындысы нольге тең болса, дене қалай қозғалады? (бірқалыпты түзу сызықты қозғалады немесе тыныштық күйде болады)

Әткеншектегі адамның центрге тартқыш үдеуі 10 м/с2 болу үшін, радиусы 4,9 м әткеншек қандай жылдамдықпен қозғалуы керек? (7 м/с)

Балқу кезінде…. 1) Барлық денелердің көлемі ұлғаяды. 2) Барлық денелердің көлемі аязады. 3) Кейбір денелердің көлемі артады, кейбіреулерінің көлемі кемиді. (2)

Баллонда идеал газ бар. Газдың біраз бөлігі шыққан кезде, газдың температурасы 3 есе кеміген, ал қысым 4 есе кеміген. Процентпен есептелінсе, газдың қанша бөлігі шығарылған? (25%)

Баллонда қысымы p1=10 Мпа, массасы m1=120 кг газ бар. Баллондағы газдың бір бөлігін шығарғанда, газ қысымы Р2=2,5 МПа болса, баллондағы қалған газдың массасы қандай? Температура мен көлемді тұрақты деп есептеңіз. (30 кг)

Баллондағы газдың массасы m1=120 кг, қысым Р1=10 МПа. Температурасын және көлемін тұрақты деп есептеп, газдың қысымын Р=2,5 МПа-ға кеміту үшін газдың қандай мөлшердегі массасын баллоннан шығарып жіберу керек? (30 кг)

Барометрлік формула: ()

Барометрлік формула бойынша Жердің тартылыс өрісіндегі газ қысымы: (Биіктікке байланысты экспоненциалды заңмен кемиді)

Барометрлік формула нені сипаттайды? (қысымның биіктікке тәуелділігін)

Барометрлік формула температураның биіктікке байланысты қандай таралуына сәйкес келеді? (Температура тұрақты.)

Бастапқы u0=30м/с жылдамдықпен вертикаль жоғары лақтырылған дене қанша уақытта ең жоғары биіктікке көтеріледі (g=10 м/с2)? (3 с)

Бастапқы жылдамдығы v0=36 км/сағ автомобиль, бірқалыпты баяу қозғала отырып, t=10 c өткен соң тоқтатады. Автомобильдің үдеуін табыңыз: (a=-1,0 м/с2

Бастапқы параметрлері P,V,T болатын бір моль идеал газдың Р=const кезінде көлемі 3V-ге дейін ұлғаяды. Осы ұлғаю кезінде газ қанша жұмыс атқарады? (2PV)

Бастапқы температурасы 280 К идеал газды изобаралық түрде қыздырғанда оның тығыздығы екі есе азайса, онда газдың температурасы қаншаға артады? (280 К)

Бастапқы жылдамдығы v0=36 км/сағ автомобиль, бірқалыпты баяу қозғала отырып, t=20 с өткен соң тоқтады. Автомобильдің а үдеуін және тежелу уақыты ішінде жүрген S жолын анықтаңыз.(=-0,5 м/с2, S=100 м.)

Батарея тұйықталғанда ЭҚК 9 В, сыртқы кедергі 8 Ом, ток күші 1 А болды. Қысқаша тұйықталу кезіндегі батареядағы ток күші: (9 А)

Батарея тұйықталғанда ЭҚК-ші 15В, сыртқы кедергі 6 Ом, ток күші 2 А болды. Ток көзінің ішкі кедергісі қандай? (1,5 Ом)

Батарея тұйықталғанда ЭҚК 15 В, сыртқы кедергі 6 Ом, ток күші 2 А болды. Қысқаша тұйықталу кезіндегі батареядағы ток: (10А).

Белгілі бір уақыт мезетіндегі толқын кескіні суретте берілген. Осы толқынның ұзындығы неге тең? (0,4 м

Бернулли теңдеуі қозғалыстағы сұйықтар мен газдар үшін … сипаттайды. (энергияның сақталу заңын)

Берілген көлемде газдың әр молекуласының жылдамдығын екі есе арттырып, ал молекулалар концентрациясын өзгертпесе, онда идеал газ қысымы қалай өзгереді? (4 есе артады)

Берiлген қос шамалардың қайсысынан гармониялық тербелiс амплитудасының мәнiн анықтауға болады: (Циклдiк жиiлiк пен максимал үдеу)

Берілген нүктедегі электр өрісі кернеулігінің сан мәні немен анықталады: (Өрістің берілген нүктесіндегі бірлік оң зарядқа әсер ететін күшпен.)

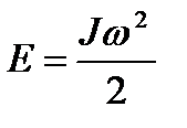
Берілген осьті ω бұрыштық жылдамдықпен айнала қозғалған дененің кинетикалық энергиясының өрнегін көрсет (




Поделиться с друзьями:


Дата добавления: 2014-12-16; Просмотров: 744; Нарушение авторских прав?; Мы поможем в написании вашей работы!


Нам важно ваше мнение! Был ли полезен опубликованный материал? Да | Нет



studopedia.su - Студопедия (2013 - 2026) год. Все материалы представленные на сайте исключительно с целью ознакомления читателями и не преследуют коммерческих целей или нарушение авторских прав! Последнее добавление




Генерация страницы за: 0.011 сек.