Студопедия

КАТЕГОРИИ:


Архитектура-(3434)Астрономия-(809)Биология-(7483)Биотехнологии-(1457)Военное дело-(14632)Высокие технологии-(1363)География-(913)Геология-(1438)Государство-(451)Демография-(1065)Дом-(47672)Журналистика и СМИ-(912)Изобретательство-(14524)Иностранные языки-(4268)Информатика-(17799)Искусство-(1338)История-(13644)Компьютеры-(11121)Косметика-(55)Кулинария-(373)Культура-(8427)Лингвистика-(374)Литература-(1642)Маркетинг-(23702)Математика-(16968)Машиностроение-(1700)Медицина-(12668)Менеджмент-(24684)Механика-(15423)Науковедение-(506)Образование-(11852)Охрана труда-(3308)Педагогика-(5571)Полиграфия-(1312)Политика-(7869)Право-(5454)Приборостроение-(1369)Программирование-(2801)Производство-(97182)Промышленность-(8706)Психология-(18388)Религия-(3217)Связь-(10668)Сельское хозяйство-(299)Социология-(6455)Спорт-(42831)Строительство-(4793)Торговля-(5050)Транспорт-(2929)Туризм-(1568)Физика-(3942)Философия-(17015)Финансы-(26596)Химия-(22929)Экология-(12095)Экономика-(9961)Электроника-(8441)Электротехника-(4623)Энергетика-(12629)Юриспруденция-(1492)Ядерная техника-(1748)

Методичні рекомендації 6 страница




Массалары m1 және m2 бастапқы жылдамдықтары v1 және v2 болған шаралар абсолют серпімсіз соқтығысу үшін импульстің сақталу заңын жазып бітіріңіз: m1v1+ m2v2 =? u

Массалары бірдей аргон және неон газдары тұрақты қысымда бірдей температуралар айырымына дейін қыздырылды. Қай газ көбірек жұмыс істейді? (МAr=40г/моль, MNe=20г/моль) неон

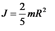
Массалық центрі арқылы өтетін оське қатысты шардың, инерция моментін анықтайтын формуланы көрсетіңіз

Массаның негізгі анықтамасын көрсетіңіз. дененің инерциясын және оның гравитациялық сипатын анықтайтын шама

МАССАСЫ

Массасы m бөлшек х осінің бойымен бірқалыпты қозғалып келеді. Бөлшектің О нүктесіне қатысты импульс моменті қалай бағытталған: Еш қайда,

Массасы m бөлшек у осінің бойымен бірқалыпты қозғалып келеді. Координаттың басы О нүктесіне қатысты бөлшектің L импульс моменті қалай бағытталған? Еш кайда, L=0

Массасы m дене горизонталь жазықтыққа жылдамдықпен еркін түскен. Соқтығысу абсолют серпімді деп, орташа соқтығысу күшін табыңыз. (Соқтығысу уақытының ұзақтығы t деп есептелсін). 2

Массасы дене көлбеу жазықтықта тыныш тұр. Жазықтық горизонтпен a бұрышын жасайды. Үйкеліс коэффициенті m. Жазықтық жағынан денеге әсер ететін үйкеліс күшінің шамасы неге тең? ()

Массасы m және радиусы R біртекті дискінің, диск жазықтығына перпендикуляр және О’ нүктесі арқылы өтетін оске қатысты инерция моменті неге тең:

()

Массасы m және радиусы R біртекті дискінің, диск жазықтығына перпендикуляр және центрі арқылы өтетін өске қатысты инерция моменті неге тең:

Массасы m жүкті тыныштық қалпынан а тұрақты үдеумен һ биіктікке көтереді. Орын ауыстырушы күштің жұмысы неге тең? m(a+g)h

Массасы m идеал газдың ішкі энергиясының өрнегі:

Массасы m=0,6 кг дене қозғалыс теңдеуі X=А·sinwt. Мұндағы А=5 cм, w=π рад. Денеге t= с уақыт мезетінде әсер ететін күшті тап. -0,148Н

Массасы m=1 г гелий тұрақты қысымда ∆T=100 K-ге қыздырылған. Газға берілген Q жылу мөлшерін анықта. 520 Дж

Массасы m = 2 г гелий р тұрақты қысымда DТ=200 К –ге қыздырылған. Газға берілген Q жылу мөлшерін анықта. 2077 Дж

Массасы m = 5 кг дене S = Asinwt заңдылығы бойынша өзгереді, мұндағы А = 5 см және ω=π рад/с. Қозғалыс басталғаннан 1/2 с өткенен кейінгі денеге әсер ететін кұшті анықта: –2,46 Н

Массасы m = 500 т поезд бірқалыпты баяу қозғала отырып, t = 1мин ішінде өзінің жылдамдығын v1 = 40км/сағ –тан v2 = 28км/сағ-қа азайтты. F тежелу күшін табу керек. 27,8кН.

Массасы кг адам км/сағ жылдамдықпен жүгіріп, массасы m2=80 кг жылдамдығы км/сағ арбаны қуып жетіп, секіріп мінсе, арба қандай жылдамдықпен қозғалады? 5,08 км/сағ

Массасы m1 дене F күшінің әсерінен a 1 үдеу алады. Осы күш әсерінен массасы m2 дене қанша үдеу (а 2) алады? m1 а 1/ m2

Массасы және , ал бастапқы жылдамдықтары және болатын шарлардың абсолют серпімсіз соққылары үшін импульстің сақталу заңын жазыңыз. ()

Массасы 0,1 кг дененің гармониялық қозғалысының теңдеуі (м). Дененің максимал кинетикалық энергиясын анықтаңыз. 0,2 Дж

Массасы 0,2 кг дене бастапқы 30 м/с жылдамдықпен вертикаль жоғары лақтырылған. Қозғалыс басынан 2с уақыт өткеннен кейінгі дененің кинетикалық энергиясы неге тең. Еркін түсу үдеуі 10 м/с . 10 Дж

Массасы 0,3 кг дене тік вертикаль бағытта 6 м/с жылдамдықпен лақтырылған. Дененің лақтырылған мезеттен жерге түскенге дейінгі уақытта ауырлық күшінің істейтін жұмысы неге тең? 0 Дж

Массасы 1 кг, 2 м/с жылдамдықпен қозғалған шар, массасы 1 кг қозғалмаған шарға серпімсіз соғылады. Бұл кезде қандай жылу мөлшері бөлініп шығады? 1 Дж

Массасы 1 кг дене h биіктіктен еркін түскен. Жер бетіндегі кинетикалық энергиясы 100Дж болса, ол қандай биіктіктен құлаған? g=10 м/с2. 10 м

Массасы 1 кг дене 30 Н күштің әсерінен тік жоғары қозғалады. Осы күштің 5 м жолда атқарған жұмысы неге тең? (Еркін түсу үдеуін 10 м/с2-ке тең деп есептеңіз). 150Дж

Массасы 1 кг денеге 2 секунд бойы F=3 H күш әсер етеді. Күш әсер еткеннен кейінгі дененің кинетикалық энергиясын анықтаңыз. 0=0 м/с. 18Дж

Массасы 1 т дене қандай биіктікте 100 кДж потенциалық энергияға ие болады? 10 м

Массасы 2 г, жылдамдығы 6 м/с бөлшек, қозғалмай тұрған массасы 1 г бөлшекке келіп соғылған. Серпімсіз соқтығыстан соң, олар 4 м/с жылдамдықпен бірге қозғалған. Соқтығысу кезіндегі деформациялануға кеткен энергияны табыңыз. 12 мДж

Массасы 2 г дене, массасы 1 г қозғалмай тұрған денемен соқтығысады. Серпімді соқтығысудан кейін олар сол бағытта 2 м/с және 3 м/с жылдамдықтармен қозғалған. Соқтығысуға дейін бірінші дененің жылдамдығын табыңыз. 3,5 м/с

Массасы 2кг дененің түзу жолмен қозғалыс теңдеуі берілген Мұндағы С=5м/с2, D=1м/c3 болса, денеге t=2 с уақыт мезетіндегі әсер ететін күшті анықтаңыз. 44 Н

Массасы 2 кг және радиусы 0,1 м біртекті диск, өзінің жазықтығына перпендикуляр масса центрі арқылы өтетін оське қатысты айналады. Егер дисктің бұрыштық жылдамдығы 10 рад/с болса, онда оның импульс моменті неге тең болады? 0,1 кг∙м2

Массасы 2 кг және радиусы 0,2 м шар, шар центрі арқылы өтетін осьтен 5 рад/с бұрыштық жылдамдықпен айналады. Шардың кинетикалық энергиясы неге тең? 0,4 Дж

Массасы 2 кг жүкті тұрақты 1,2 м/с2 үдеумен тыныштық күйден 3 м биіктікке көтереді. Бұл кезде қанша жұмыс істеледі? g=9,8 м/с2. 66 Дж

Массасы 2 кг шар 4 м/с жылдамдықпен тыныштықта тұрған массасы осындай шарға соқтығысты. Соқтығысу серпімсіз болса, соқтыққаннан кейінгі шарлардың жылдамдықтары қандай? 2 м/с

Массасы 2 кг сутегінің температурасын 10 К – ге ұлғайтқан кездегі: 1) изохоралық процестегі, 2) изобаралық процестегі газдың ішкі энергиясының өзгерісін есептеңіз? 208 кДж; 208 кДж

Массасы 2 кг тұтас диск горизонталь жазықтықта 4 м/с жылдамдықпен сырғанаусыз домалап келеді. Дискінің кинетикалық энергиясы: D) 24 Дж

Массасы 2 т дене қандай биiктiкте 10 кДж потенциалық энергияға ие болады? 0,5 м

Массасы 5 кг дене заңдылығы бойынша қозғалады, мұндағы А= 5 см, . 1/6 с өткеннен кейінгі денеге әсер ететін күшті анықта -1,23 Н

Массасы 5кг дене 10 м биіктіктен еркін құлады. Ауырлық күшінің жұмысын анықтаңыз () 500 Дж

Массасы 5 кг дене 10 м биіктіктен еркін құлады. Жер бетіне түсетін мезетте дененің кинетикалық энергиясы қандай болады (g=10м/c2)? 500 Дж

Массасы 5 кг дене қандай да бір күштің әсерінен 1 м/с2 үдеу алды. Массасы 10 кг денеге осы күш қандай үдеу береді: 0,5 м/с2

Массасы 5 кг денеге 2 с бойы қозғалыс бағытындағы F=10 H күш әсер етеді. Дененің қорытқы импульсін табыңыз. Дененің бастапқы жылдамдығы 3 м/с. 35 Н∙с

Массасы 8 кг дене 4 Н тұрақты күш әсерінен қандай қозғалыс жасайды? бірқалыпты үдемелі, 0,5 м/с2 үдеумен

Массасы 10 кг денені Жер бетінен 8 м/с2 үдеумен көтереді. Денені көтеру кезіндегі күштің мәнін анықтаңыз. 180Н

Массасы 105 кг дене 15 м/с тұрақты жылдамдықпен қозғалады. Қозғаушы дененің 1 секундта жасаған жұмысын анықтаңыз. Үйкеліс коэффициенті 0,01. (g=10 м/с2). 1,5∙105 Дж

Массасы 105 кг теміржол составы 15 м/с тұрақты жылдамдықпен қозғалады. Локомотивтің 2 с ішінде атқаратын жұмысын анықтаңыз. Үйкеліс коэффициенті 0,01. (g=10 м/с2). 3∙105Дж

Массасы 10,5т көмірді шахтадан көтеру үшін 6200кДж жұмыс жасау қажет. Шахтаның тереңдігін анықтаңыз. 60м

Массасы 14 кг азоттың зат мөлшерін анықтаңыз. 500 моль

Массасы 20 кг, радиусы 20 см тұтас диск 2 рад/с бұрыштық жылдамдықпен бірқалыпты айналады. Дискінің импульс моменті:

Массасы 20 кг, радиусы 30 см тұтас диск 2 рад/с бұрыштық жылдамдықпен бірқалыпты айналады. Дискінің импульс моменті: 1,8

Массасы 20 т вагон 0,3 м/с жылдамдықпен қозғалып, массасы 30 т, жылдамдығы 0,2 м/с екінші вагонды қуып жетіп, одан соң бірге қозғалған. Олардың қозғалу жылдамдығын анықтаңыз. 0,24 м/с

Массасы 50 г материялық нүкте (м) теңдеуі бойынша тербеліс жасайды. Ең үлкен ығысу күйінде нүктеге әсер етуші күштің шамасы неге тең? 125 мН

Массасы 50 г материялық нүкте тербеліс жасайды, теңдеуі , мұндағы А=10см, = 5с-1. Нүктеге әсер ететін күштің максимал шамасын табыңыз. 125мН

Массасы 50 кг және радиусы 0,2 м шардың масса центрінен өтетін осьпен салыстырмалы инерция моменті неге тең? 0,8 кг∙м2

Массасы 75 кг штанганы спортшы 2 м/с жылдамдықпен бірқалыпты көтерген. Спортшының қуатын табыңыз (g=10 м/с2) 1,5 кВт

Массасы 88г көмір қышқыл газының 290 К температурадағы көлемі 103 см3. Газды нақты деп санап, оның ішкі энергиясын анықтаңыз. (): 14 кДж

Массасы 100 кг денеге күш әсер еткенде оның жылдамдығын 10 м/с-тан 20 м/с-қа дейін артты. Әсер етуші күштің жұмысы қандай? 15000 Дж

Массасы 200 г доп 8 м/c жылдамдықпен ұшып келе жатқанда оның импульсі қ андай блады? 1,6 кг·м/c

Массасы 200 кг жүкті кран жоғары қарай 2,5 м/с2 үдеумен көтереді. Кранның арқанын керу күшін анықтаңыз. 2,5 кН

Массасы 200 кг жүкті кран жоғары қарай 5 м/с2 үдеумен көтереді. Кран арқанының керілу күшін анықтаңыз. 3 кН

Массасы 320 г оттегін температурасы 10 К – ға изобаралық қыздыру кезінде қандай жұмыс атқарылады (р = 105 Па): 0,83 кДж.

Массасын 4 есе арттырған кездегі физикалық маятниктің тербеліс периоды неге тең? өзгермейді

Массасын өзгертпей, ал диаметрiн 2 есе азаятындай етiп прокаттап өңдегенде, мыс өткізгіштің кедергiсi қанша шамаға өзгередi? 16 есе өседi

Математикалық маятник минутына 30 тербеліс жасайды. Маятник ұзындығын табыңыз. π2=9,86, g=9,86м/с2

Математикалық маятник минутына 60 тербеліс жасайды. Маятниктің ұзындығын табыңыз. p2= 9,86, g= 9,86 м/с2. 0,25 м

Математикалық маятникті Жерден Айға апарып тәжірибе жасаса, оның периоды шамамен қаншаға өзгереді? Еркін түсу үдеуі Айда 1,6 м/с2, ал Жерде 9,8 м/с2. есе артады

Математикалық маятниктің қозғалысын сипаттайтын дифференциялдық теңдеудің түрі:

Математикалық маятниктің массасын m есе арттырса, оның тербеліс жиілігі қалай өзгереді? Өзгермейді

Математикалық маятниктің тербеліс теңдеуі мына түрде берілген: . Математикалық маятниктің ұзындығы неге тең? g=9,8 м/с2 ( м)

Математикалық маятниктің ұзындығын және тербеліс периодын біле отырып, еркін түсу үдеуін табыңыз

Материалық бөлшек радиусы R=2 м шеңбер бойымен шамасы F=5 H центрлік күштің әсерімен қозғалады. Осы күштің жарты айналыста жасаған жұмысы қандай? 0 Дж

Материалдық нүкте деп - … айтады. берілген есептер шарттарында мөлшерін ескермеуге болатын денені

Материалдық нүкте жолдың бірінші жартысын 8 м/с-пен, ал екінші жартысын 2 м/с-пен қозғалады. Дененің орташа жылдамдығы қаншаға тең? 3,2 м/с

«Материалдық нүкте өзінің тыныштық күйін немесе бірқалыпты түзу сызықты қозғалысын сыртқы күштер әсер еткенше сақтайды». Бұл қандай заң? Ньютонның 1-заңы

Материалдық нүкте радиусы 32 см шеңбер бойымен қозғалады. Айналу периодының жартысына тең уақыт мезетінде нүктенің орын ауыстыруы неге тең? 64 см

Материалдық нүкте шеңбер бойымен t уақыт мезетінде тангенстік үдеуі 0,8 м/с2 болатындай, ал толық үдеуі жылдамдық векторымен 60о бұрыш жасай қозғалған. Нүктенің толық үдеуінің шамасы қанша? 1,6 м/с2

Материалдық нүктеге әсер ететін бір-біріне 60о бұрыш жасай бағытталған 2 Н екі күштің теңәсерлі күші:

Материалдық нүктелер қозғалыстарының теңдеулері: (м), (м) түрінде берілген. Осы нүктелердің кездесу уақытын анықтаңыз. 10 с

Материалдық нүктенің қозғалыс теңдеуі: . Массаны 2 кг деп алып, 2 с кейінгі импульсті табыңыз. 16Н∙с

Материалдық нүктенің қозғалыс теңдеуі түрінде берілген. Егер материялдық нүктенің массасы 2 кг болса, оның 2 секундтен кейінгі импульсі қандай болады? 16 Н·с

Материалдық нүктенің қозғалысы S=4t2+6 теңдеуімен берілген. Нүкте қандай үдеумен қозғалады? 8 м/с2

Материалдық нүктенің қозғалысы x=5+8t+4t2 (м) теңдеуімен сипатталады. Егер дене массасы 1 кг болса, онда қозғалыс басталғаннан 1 с өткеннен кейінгі нүктенің импульсі неге тең? 16 Н∙с

Материалық нүкте теңдеуімен берілген гармоникалық тербеліс жасайды. Осы нүктенің максимал үдеуін анықтайын өрнек:

Материялық нүкте теңдеуімен сипатталатын гармоникалық тербеліс жасайды. Осы тербелістің периоды неге тең: T=12 c

Мәжбүр гармониялық тербеліс теңдеуіндегі серпімділік күшін көрсетіңіз: mа+rv+kx=Fсырт (kx)

Мезонның толық энергиясын тыныштықтағы энергиясынан он есе үлкен деп алып, оның жылдамдығын табу керек. 0,995× с

Меншiктi кедергi қандай өлшеммен өлшенедi? Ом·м

Металдағы электр тогын тасымалдаушылар: электрондар ағыны

Механикалық жұмыс дегеніміз не? В) Күш пен, күш әсерінен қозғалып өтетін жолға тәуелді физикалық шама

Механикалық тұйық жүйе үшін төмендегі тұжырымдардың қайсысы дұрыс? жүйенің қорытқы импульсі тұрақты болып қалады

Молекула ыдыс қабырғасына перпендикуляр қозғалып, онымен абсолют серпімді соқтығысқан кезде, молекула ыдысқа қандай импульс береді? 2

Молекула-кинетикалық теориясы тұрғысынан газдың ыдыс қабырғасына түсіретін қысымы қалай түсіндіріледі? молекулалардың ыдыс қабырғаларымен соқтығысуымен және импульс беруімен

Молекулалар қозғалысының ең ықтимал жылдамдығы қандай формуламен анықталады?

Молекулалардың ең ықтималды жылдамдығы 3 есе артса, онда газ температурасы қалай өзгереді? 9 есе артады

Молекулалардың еркін жүру жолының ұзындығын есептеуге арналған формуланы көрсетіңіз.

Молекулалардың орташа квадраттық жылдамдығы 3 есе артса, молекулалардың орташа кинетикалық энергиясы қалай өзгереді? 9 есе артады

Молекуланың еркін жүру жолының ұзындығы: Молекула өлшеміне тәуелді.

Молекуланың орташа квадраттық жылдамдығын тұрақты ұстап, молекула концентрациясын үш есе арттырғанда, идеал газдың қысымы қалай өзгереді? 3 есе артады

Мольдік жылу сыйымдылықты өрнектейтін формуланы көрсетіңіз.

Мотоциклші радиусы 100 м шеңбер бойымен жазық бетте қозғалған. Дөңгелектің жермен үйкеліс коэффициенті k=0,4 болса, ол шеңбер бойымен қандай максималь жылдамдықпен қозғала алады? g=10 м/с2. (20 м/с)

Мына формуламен қай шама өрнектеледі ( – ортаның диэлектрлік өтімділігі нүктелік заряд электр өрісінің кернеулігі, -Кулон заңындағы тұрақты): Ара қашықтық

Мына формулалардың iшiнен тiзбектiң бiртектi бөлігі үшiн Ом заңының өрнегiн анықтаңыздар.

Мынау қай қысым -? Гидростатикалық

Нақты газға арналған Ван-дер-Ваальс теңдеуі: (P+ а / μ)(Vm - в)=RT

Насос двигателі 10 минут уақыт ішінде 20 м3 суды 6м биіктікке көтереді. Двигательдің қуатын анықтаңыз (g 9,8м/с): 2000Вт
Нөлдік деңгейден жоғары қарай лақтырылған дене биіктікке көтерілсе, онда ауырлық күшінің жұмысы мынаған тең:

Нүкте 5 Н центрлік күштің әсерінен радиусы 2 м шеңбер бойымен орын ауыстырады. Нүкте толық бір айналғанда осы күш қандай жұмыс атқарады? 0

Нүкте арасында потенциалдар айырымы 10 кВ (e=1.6∙10-19Кл)-ға тең болған кезде электрон орын ауыстырғанда қандай кинетикалық энергияға ие болады? 1,6∙10-15 Дж

Нүкте жылдамдығының теңдеуі (м/с) түрінде берілген. с уақыт мезеті өткеннен кейінгі нүктенің үдеуі неге тең? 12 м/с2

Нүкте қозғалысының теңдеуі: . Төменде келтірілген өрнектердің қайсысы амплитуда деп аталады?

Нүкте қозғалысының теңдеуі x=4-6t+t3. Дененің t=0,5c уақыт мезетіндегі үдеуі неге тең? 3 м/с




Поделиться с друзьями:


Дата добавления: 2014-12-16; Просмотров: 1918; Нарушение авторских прав?; Мы поможем в написании вашей работы!


Нам важно ваше мнение! Был ли полезен опубликованный материал? Да | Нет



studopedia.su - Студопедия (2013 - 2026) год. Все материалы представленные на сайте исключительно с целью ознакомления читателями и не преследуют коммерческих целей или нарушение авторских прав! Последнее добавление




Генерация страницы за: 0.011 сек.