Студопедия

КАТЕГОРИИ:


Архитектура-(3434)Астрономия-(809)Биология-(7483)Биотехнологии-(1457)Военное дело-(14632)Высокие технологии-(1363)География-(913)Геология-(1438)Государство-(451)Демография-(1065)Дом-(47672)Журналистика и СМИ-(912)Изобретательство-(14524)Иностранные языки-(4268)Информатика-(17799)Искусство-(1338)История-(13644)Компьютеры-(11121)Косметика-(55)Кулинария-(373)Культура-(8427)Лингвистика-(374)Литература-(1642)Маркетинг-(23702)Математика-(16968)Машиностроение-(1700)Медицина-(12668)Менеджмент-(24684)Механика-(15423)Науковедение-(506)Образование-(11852)Охрана труда-(3308)Педагогика-(5571)Полиграфия-(1312)Политика-(7869)Право-(5454)Приборостроение-(1369)Программирование-(2801)Производство-(97182)Промышленность-(8706)Психология-(18388)Религия-(3217)Связь-(10668)Сельское хозяйство-(299)Социология-(6455)Спорт-(42831)Строительство-(4793)Торговля-(5050)Транспорт-(2929)Туризм-(1568)Физика-(3942)Философия-(17015)Финансы-(26596)Химия-(22929)Экология-(12095)Экономика-(9961)Электроника-(8441)Электротехника-(4623)Энергетика-(12629)Юриспруденция-(1492)Ядерная техника-(1748)

Методичні рекомендації 4 страница




Жоғары қозғалған лифт еденінде массасы 5 кг дене жатыр. Лифт үдеуі 2 м/с2. Лифт еденіне әсер етуші ауырлық күшін табыңыз. g=10 м/с2. (60 Н)

Жолаушы аз уақытта салмақсыздық күйде болу үшін, автомобиль радиусы 40 м дөңес көпірдің ортасынан қанша жылдамдықпен қозғалуы керек? = 10 м/с2. (20 м/с)

Жүзгіш өзен ағысына қарсы жүзіп келеді. Жүзгіштің жағаға қатысты жылдамдығы 1,5 м/с, өзен ағысының жылдамдығы 0,5 м/с. Жүзгіштің суға қатысты жылдамдығы неге тең? (2 м/с)

Жүйеге берілген жылу мөлшері оның ішкі энергиясын өзгертуге және жүйенің сыртқы күштерге қарсы жұмыс атқаруына жұмсалады: (Термодинамиканың І бастамасы.)

Жүйеге берілген жылу мөлшері жүйенің ішкі энергиясының өзгерісінен және жүйенің сыртқы денелерге қарсы атқаратын жұмысынан тұрады десек, оның формуласын көрсетіңіз. (Q= DU+A)

Жүйенің жылу мөлшерін қай формуламен есептеуге болады? (

Жүрген жол мен уақыт арасындағы тәуелділік Х=А+Вt+Ct3 теңдеуімен өрнектеледі, мұндағы А=4м, В=2м/с, С=0,2 м/с3. Бақылау басталғаннан соң, 2с уақыт өткеннен кейінгі үдеудің сан мәнін табыңыз. (2,4 м/с2)

Жүрілген жолы S, айнымалы F күштің жасайтын жұмысы неге тең (Fs-күштің қозғалыс бағытындағы проекциясы)

()

Жылу алмасу құбылысының қай түрінде: жылу өткізгіштік, конвекция немесе сәулелену кездерінде зат тасымалданбайды? (жылу өткізгіштік және сәулелену)

Жылу двигателінің қыздырғышы мен суытқышының температурасын бірдей градусқа арттырды. Бұл кезде двигательдің ПӘК-і қалай өзгереді? (кемиді)

Жылу изоляцияланған жүйедегі процесс: (адиабаталық)

Жылу машинасы бір цикл ішінде қыздырғыштан 100 Дж жылу мөлшерін алады және суытқышқа 40 Дж береді. Машинаның ПӘК-і неге тең? (60%)

Жылу машинасы бір циклде қыздырғыштан 100 Дж жылу мөлшерін алады да суытқышқа 60 Дж береді. Машинаның ПӘК-і неге тең? (40%)

Жылу машинасы Карно циклі бойынша жұмыс істейді. Қыздырғыштан 4,2 кДж жылу алып осының нәтижесінде 1,7 кДж жұмыс жасайды. Суытқыштың температурасы 200С. Қыздырғыштың температурасы қандай? (492К)

Жылу машинасы қыздырғыштан жылу мөлшерін алады, ал суытқышқа береді, осы кезде А жұмысы істеледі. Двигательдің ПӘК-ін анықтаңыз. ()

Жылу машинасы қыздырғыштан алынған жылудың 60%-н салқындатқышқа береді. Егер қыздырғыштың температурасы 450 К болса, салқындатқыштың температурасы қандай? (270 K)

Жылу машинасының ПӘК-і дегеніміз не? (Газдың бір циклде жасалынған жұмысының қыздырғыштан алынған жылуға қатынасы.)

Жылуөткізгіштік құбылысында газ молекулаларымен не тасымалданады? (энергия)

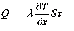
Жылу өткізгіштік процесін өрнектейтін негізгі теңдеуді көрсетіңіз. ( )

Жылу өткізгіштік процесін тудырушы себеп: (Температура градиенті)

Жылу сыйымдылығы 20 Дж/К дене 100оС-дан 20оС-ға дейін суыған. Дененің алған жылу мөлшерін анықтаңыз. (1,6кДж)

Зарядталған бөлшек (заряды q, массасы m), потенциалдар айырмасы U үдетуші электр өрісінен өткенде қандай жылдамдық алады? ()

Зарядталған конденсатор ток көзінен ажыратылған. Егер астарлардың ара қашықтығын екі есе үлкейтсе, конденсатор энергиясы қалай өзгереді? (2 есе өседі)

Зарядталған конденсатор энергиясының формуласы: ( )

Зарядталған конденсаторға екі есе көп заряд берілсе, оның энергиясы қалай өзгередi? (4 есе өседi)

Зарядталған металл шардың электр өрісінің кернеулігінің қашықтыққа байланыстылығын сипаттайтын дұрыс графикті көрсетіңіз.

Зарядталған шексіз жазық өткiзгiштiң электр өрiсiнiң кернеулiгi қандай формуламен анықталады? ()

Зарядталған шексіз жазықтықтан 2 м арақашықтықта өрістің кернеулігі 100 В/м. Арақашықтықты 3 метрге арттырғанда өрістің кернеулігі қандай болады? (100 В/м

Зарядтан нүктеге дейінгі қашықтықты 5 есе өсiргенде, нүктелiк зарядтың электр өрiсiнiң кернеулiгi қалай өзгередi?

(25 есе кемидi)

Зарядтары 2 мкКл және 10 мкКл екi заряд аз уақытқа бiр-бiрiмен түйiстiрiлiп, одан кейiн бастапқы қашықтыққа қойылса, олардың әсерлесу күшi қалай өзгерер едi? (1,8 есе артады)

Зарядтары 3 мкКл және 17 мкКл өлшемділіктері бiрдей кiшкентай екі шариктердi аз уақытқа бiр-бiрiмен түйiстiрiп, сонан соң олар бiр-бiрiнен ажыратылған. Бiрiншi шариктің заряды қанша болады? (10 мкКл)

Зарядтары 7 мкКл әртекті екi нүктелiк заряд бiр-бiрiнен 1 см қашықтықта орналасып, диполь құрайды. Мұндай дипольдiң электр моментi қанша болады? (7×10-8 Кл×м)

Зарядтары 11 мкКл, -13 мкКл и 35 мкКл, үш кішкене бірдей шарды өзара тиістіріп алып, артынша ажыратады. Бірінші шарда қанша заряд қалады: (11 мкКл)

Зарядтары 11 мкКл, 27 мкКл және –32 мкКл өлшемдері бiрдей үш шариктi аз уақыт бiр-бiрiмен түйiстiрiп, одан соң қайтадан ажыратады. Бiрiншi шарикте пайда болатын заряд мөлшерi қанша болады? (2 мкКл)

Зарядтары 71 мкКл және -19 мкКл сынаптың екi кiшi тамшысы бiр үлкен тамшыға бiрiккен. Пайда болған тамшыдағы заряд шамасы қанша болады? (52 мкКл)

Зарядтары бiрдей, әр аттас екi зарядтың О нүктесiндегі электр өрiсiнiң кернеулiк векторы қалай бағытталады? (оңға қарай)

Зарядтарының шамалары бірдей , екі оң зарядтың арасын қосқан түзудің ортасына түсірілген перпендикуляр сызықтың бойына орналасқан О нүктедегі электр өрiсiнiң кернеулiк векторы қалай бағытталады? (төмен қарай)

Заттың меншікті жылу сыйымдылығы дегеніміз не? (1 кг заттың температурасын 1К-ге өзгерту үшін қажетті жылу мөлшері)

Зоналық теория бойынша қатты дене мына жағдайда шалаөткізгіш бола алады: (Рұқсат етілмеген зонаның ені шамамен 0,1 эВ;)

Идеал газ 1 күйден 3 күйге суреттегідей бір рет 1-2-3 процестер арқылы, екінші рет 1-4-3 процестер арқылы өтеді.Берілген шамалар арқылы газдың осы екі процесскезіндегі алынған жылу мөлшерлерінің айырымын табыңыз. (2 кДж)

Идеал газ жабық ыдыста. Егер температурасын 3 есе арттырса, онда газ тығыздығы қалай өзгереді? өзгермейді)

Идеал газ изотермалық ұлғайғанда көлемі 1,5 есе артса, оның қысымы қалай өзгереді? (1,5 есе кемиді)

Идеал газ Карно циклін жасайды. Қыздырғыш температурасы суытқыш температурасынан 3 есе жоғары. Қыздырғыш газға 42 кДж-ға тең жылу мөлшерін берді. Газ қанша жұмыс жасайды? (28кДж)

Идеал газ күйінің (Менделеев-Клапейрон) теңдеуі: )

Идеал газ молекулаларының жылдамдық бойынша Максвеллдің таралу функциясындағы қисық астындағы толық аудан мына шамаларға тәуелді: 1 Газдағы молекулалар санына, 2 Газ температурасына, 3 Газ табиғатына, 4 Тұрақты болып қалады. (Тек 4)

Идеал газ молекулаларының жылдамдық бойынша Максвелл таралу функциясының нақты түрі мына шамаларға тәуелді: 1.Газ табиғатына (молекула массасына); 2.Газ температурасына; 3.Газ көлеміне; 4.Газға әсер ететін күш өрістері (1 және 2)

Идеал газ молекуласының орташа энергиясы 6,0∙10-21 Дж. Газ қысымы 4 мПа. Газдың көлем бірлігінде қанша молекула болады? (1018 м-3)

Идеал газ үшін адиабаттық процесті сипаттайтын өрнек: ()

Идеал газ үшін изобаралық процесті сипаттайтын өрнек: ()

Идеал газ үшін изохоралық процесті сипаттайтын өрнекті көрсетіңіз. ()

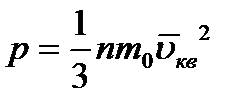
Идеал газ үшін молекула-кинетикалық теориясының (МКТ-ның) негізгі теңдеуі: ()

Идеал газбен салыстырғанда реал газдың ыдыс қабырғасына түсіретін қосымша қысымы неге байланысты пайда болады? (молекулалар арасындағы қашықтықта өзара әсерлесумен)

Идеал газды изобаралы қыздырғанда 1-ші күйден 2-ші күйге өткен. Газ массасы тұрақты болғанда, оның қысымы қалай өзгереді? (өзгермейді)

Идеал газды изотермалық түрде сыққанда, оның қысымы 20 %-ке артқан. Газ көлемі қалай өзгереді? V1/ V2 қатынасын табыңыз. (1,2)

Идеал газды қыздыру кезінде молекулалардың жылулық қозғалысының орташа квадраттық жылдамдығы 4 есе артты. Газдың абсолют температурасы қалай өзгерді? (16 есе артты)

Идеал газдың Т0 температурадағы қысымы р0 болды. Массасын өзгертпей, оның температурасын тұрақты көлемде 1,5 есе арттырды. Газ қысымы қалай өзгерді? ()

Идеал газдың V0 бастапқы көлемі р0 тұрақты қысымда 3 есе артты. Газ атқарған жұмысты анықтаңыз. (

Идеал газдың абсолют температурасын 3 есе арттырған кезде, оның жылулық қозғалысының орташа кинетикалық энергиясы қалай өзгереді? (3 есе артады)

Идеал газдың абсолют температурасын 3 есе арттырсақ, онда газ молекулаларының жылулық қозғалысының орташа кинетикалық энергиясы қалай өзгереді? (3 есе артады)

Идеал газдың адиабаталық процесс кезіндегі жылу сыйымдылығы неге тең? (0)

Идеал газдың адиабаталық теңдеуін көрсетіңіз. (PVγ = const)

Идеал газдың көлемi 4 есе өсiп, абсалют температурасы 4 есе кемiсе оның қысымы қалай өзгередi? (16 есе кемидi)

Идеал газдың көлемi 7 есе өсiп, абсалют температурасы 7 есе кемiсе оның қысымы қалай өзгередi? (49 есе кемидi)

Идеал газдың көлемін 2 есе өсіріп, ал абсолют температурасын 2 есе кемітсек, идеал газдың қысымы қалай өзгереді?

(4 есе кемиді)

Идеаль газдың көлемiн 5 есе кемітіп, температурасын 5 есе арттырғанда, қысымы қалай өзгередi?(25 есе артады)

Идеал газдың орташа квадраттық жылдамдығы 2 есе артса, газдың абсолют температурасы қалай өзгереді? (4 есе артады)

Идеал газдың температурасын 4 есе арттырғанда оның орташа квадраттық жылдамдығы қалай өзгереді? (2 есе артады)

Идеал газдың ішкі энергиясы қандай өрнекпен анықталады? (

Идеал жылу машинасы әрбір килоджоуль жылуды қыздырғыштан алып 300 Дж жұмыс істейді. Егер суытқыштың температурасы 280К болса, онда жылу машинасының ПӘК-і мен қыздырғыштың температурасы қандай? (30%, 400К.)

Идеал жылу машинасы қыздырғыштан алған жылуының 60%-ін суытқышқа береді. Машинаның ПӘК-і қанша болады? (40%)

Идеал жылу машинасындағы газ қыздырғыштан алған жылудың 60% суытқышқа береді. Қыздырғыш температурасы 500К. Суытқыштың температурасы неге тең? (300 К)

Идеал жылу машинасының қыздырғышы мен суытқышының абсолют температураларын 2 есе өсірсе, оның ПӘК-і қалай өзгереді? (өзгермейді)

Идеал жылу машинасының қыздырғышы мен суытқышының температуралары 400 К және 300 К тең. Қыздырғыштың температурасын 200 К-ға ұлғайтқан. Бұл кезде машинаның ПӘК-і қалай өзгерді? (2 есе артады)

Изобаралық процесс кезіндегі молекуласы үш атомды газдың мольдік жылу сыйымдылығы неге тең? Тербелмелі қозғалысты ескермеңіз. R- әмбебап газ тұрақтысы. (4R)

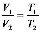
Изобарлық процесс үшін Гей-Люссак заңының теңдеуі: (V/T=const)

Изобаралық процеске арналған термодинамиканың бірінші бастамасын көрсетіңіз. (dQ=dU+dA)

Изобаралық процестің өрнегін көрсетіңіз. ()

Изотермалық процеске арналған термодинамиканың бірінші бастамасын көрсетіңіз (dQ = dA)

Изотермалық процестің өрнегін көрсетіңіз. ()

Изотермдік процесс кезіндегі идеал газ энтропиясының өзгеруін жаз. ()

Изотермдік процесс үшін Бойль-Мариотт заңының теңдеуі: ()

Изотермдік процесс үшін жасалған жұмыс А пен алынған жылу Q және ішкі энергия өзгерісі арасындағы байланыстардың қайсысы дұрыс? ()

Изотермдік процесс үшін жұмыстың формуласын көрсет. ()

Изотермдік процесс үшін термодинамиканың I -бастамасының теңдеуі: ( )

Изотермдік процесте идеал газға 5000 Дж жылу берілген. Газдың атқарған жұмысы қандай? (5000 Дж)

Изотермдік ұлғаю кезінде идеал газ А=20 Дж жұмыс істеді. Газға қандай жылу мөлшері берілген? (20 Дж)

Изотермдік ұлғаю кезінде идеал газ А=200 Дж жұмыс істеді. Газдың ішкі энергиясы қаншаға өзгерді? (0 Дж)

Изохоралық процесс кезінде азотқа 70 Дж жылу берілді. Азоттың ішкі энергиясын арттыруға қанша жылу жұмсалады?

(70 Дж)

Изохоралық процесс кезінде азотқа 170 Дж жылу берілді. Азоттың ішкі энергиясын арттыруға қанша жылу кетт? (170 Дж.)

Изохоралық процесс кезінде газдың температурасын 8 есе арттырғанда, идеал газдың қысымы қалай өзгереді? (8 есе артады)

Изохоралық процесс үшін термодинамиканың бірінші заңын көрсетіңіз. ()

Изохоралық процесте идеал газға 5000 Дж жылу берілген. Газдың атқарған термодинамикалық жұмысы қандай? (0)

Изохоралық процестің өрнегін көрсетіңіз. ()

Импульс дегеніміз: (дене массасының оның жылдамдығына көбейтіндісі)

Импульс моменті үшін дұрыс формуланы көрсетіңіз: (

Импульсы 8 кг×м/с дененің кинетикалық энергиясы 16 Дж. Дененің массасы мен жылдамдығын анықтаңыз. (2кг және 4 м/с)

Инерция моменті I=63,6 кг×м2 цилиндр рад/с тұрақты бұрыштық жылдамдықпен айналады. Цилиндр t=20 c–та тоқтауы үшін оған әсер ететін M тежеуші күш моментін табыңыз. 100 Н×м

Инерция моменті 10 кг·м2 тұтас диск 2 рад/с2 бұрыштық үдеумен бірқалыпты үдемелі айналады. Дискінің айналдырушы күш моментін анықтаңыз: (20 Н·м

Капилляр түтіктен сұйықтың көтерілу биіктігінің формуласынан h = беттік керілу коэффициентінің белгіленуін көрсетіңіз. s

Капиллярлық трубкада сұйықтық көтерілу өрнегінде . Беттік керілу коэффициентін көрсетіңіз. )

Карно циклы кезінде ²жұмыс денесі² қыздырғыштан 300 кДж жылу мөлшерін алады. Қыздырғыштың температурасы 450 К, ал суытқыштың температурасы 270 К. Бір циклда істелетін пайдалы жұмысты табыңыз. 120 кДж

Карно циклі қандай процестерден тұрады? екі изотерма мен екі адиабата

Карно циклінің қай бөлігі адиабаталық процеске сәйкес келеді? 2 және 4

Карно циклінің ПӘК-і дегеніміз не? бір циклде атқарылған жұмыстың алынған жылу мөлшеріне қатынасы

Кедергілері және екі шам параллель жалғанған. Қай шамда токтың қуаты көп болады? 1-шам

Кедергілері 3 және 12 Ом шам кезекпе – кезек қандай да бір ток көзіне қосылды. Екі шамда бірдей энергия алады. Ток көзінің ішкі кедергісін анықта. 6

Кедергiлері 13 Омнан екi өткiзгiштi тiзбектей жалғағанда, тiзбектiң жалпы кедергiсi қанша болады? 26 Ом

Кедергiлерi 20 Ом және 40 Ом екi өткiзгiш параллель жалғанып, ток көзiне қосылған. Осы өткiзгiштерде бөлiнiп шығатын токтың қуаттарының қатынастары N1/N2 қанша болады? 2

Кедергiлерi 27 Ом және 54 Ом өткiзгiштер параллель жалғанған. Осы өткiзгiштердiң ұштарындағы кернеулер қандай болады? екi өткiзгiште де кернеу бiрдей

Кедергілері бірдей он резисторды тізбектей жалғағанда толық кедергі қандай болады? (200 кОм)

Кедергісі 2 Ом өткізгішті 2 бүктеп, сол тізбекке қосты. Осы тізбектің кедергісі неге тең?. 0,5 Ом.

Кедергісі 12 Ом өткізгіш арқылы 1 А ток 1 минут өткенде, өткізгіште бөлініп шығатын жылу мөлшері қанша болады? 720 Дж

Кедергiсi 12 Ом өткiзгiш арқылы ток күші 1 А ток 1 минут өткенде, өткiзгiште бөлiнiп шығатын жылу мөлшерi қанша болады? 720 Дж

Кедергiсi 15 Ом өткiзгiш арқылы ток күшi 0,4 А ток өткенде өткiзгiштен 5 с уақыт аралығында бөлiнiп шығатын жылу мөлшерi қанша болады? 12 Дж

Кедергiсi 30 Ом өткiзгiш арқылы ток күшi 0,4 А ток өткенде өткiзгiштен 5 с уақыт аралығында бөлiнiп шығатын жылу мөлшерi қанша болады? 24 Дж

Кедергiсi 60 Ом өткiзгiштiң көлденең қимасы арқылы минутына 10 Кл заряд өтетін болса, ол өткізгіштен 1 минутта бөлiнiп шығатын жылу мөлшерi қанша болады? 100 Дж

Кез келген бет арқылы өтетін электр ығысу векторының ағыны қай формуламен анықталады?

Кез келген тұйық бет арқылы өтетін электрлік ығысу векторының ағыны неге тең? беттi қамтитын зарядтардың алгебралық қосындысына

Кез-келген уақыт мезетінде идеал газға берілген жылу мөлшері жұмысқа тең болса, бұл процесс қалай аталады? Изотермдік

Келесі өрнектердің қайсысы мынандай анықтамаға сәйкес келеді: кез келген құбырдың көлденең қимасы арқылы бірдей уақыт аралығында ағып өтетін сұйық массалары тең. Бұл теңдеуді ағыстың «үздіксіздік теңдеуі» деп атайды Su=const

Келтірілген қозғалыс теңдеулерінің қайсысы бірқалыпты үдемелі қозғалысты көрсетеді? (м)

Келтірілген өрнектердің қайсысы айналатын дененің кинетикалық энергиясын көрсетеді?

Келтірілген теңдеулердің қайсысы екі дененің абсалют серпімді соққысы үшін дұрыс:

Келтірілген теңдеулердің қайсысы ішкі үйкеліс (тұтқырлық)құбылысын сипаттайды?1. 2. 3. 4. (Тек 4.)

Келтірілген теңдіктердің қайсысы ағыстың үздіксіздік теңдеуін сипаттайды?

Кернеу 100 В кезінде тұтынылған қуат 100 Вт болғандағы лампа қылының кедергісі неге тең? 100 Ом.

Кернеу 200 В кезінде тұтынылған қуат 100 Вт болғандағы лампа қылының кедергісі неге тең? (400 Ом)

Кернеудің өлшем бірлігі: В

Кернеулігі Е0=700 В/м біртекті электр өрісіне, өріске перпендикуляр қалыңдығы d=1 см және ауданы S=200см2 шыны пластинка (ε=7) қойылған. Пластинкада шоғырланған электр өрісінің энергиясын анықтаңыз. ~3 нДж

Кернеулігі Е0 біртекті электр өрісі бар кеңістік өтімділігі e біртекті изотропты диэлектрикпен толтырылған. Диэлектриктегі E өріс кернеулігін және оның P поляризациялануын анықтаңыз. (, )




Поделиться с друзьями:


Дата добавления: 2014-12-16; Просмотров: 1038; Нарушение авторских прав?; Мы поможем в написании вашей работы!


Нам важно ваше мнение! Был ли полезен опубликованный материал? Да | Нет



studopedia.su - Студопедия (2013 - 2026) год. Все материалы представленные на сайте исключительно с целью ознакомления читателями и не преследуют коммерческих целей или нарушение авторских прав! Последнее добавление




Генерация страницы за: 0.012 сек.