Студопедия

КАТЕГОРИИ:


Архитектура-(3434)Астрономия-(809)Биология-(7483)Биотехнологии-(1457)Военное дело-(14632)Высокие технологии-(1363)География-(913)Геология-(1438)Государство-(451)Демография-(1065)Дом-(47672)Журналистика и СМИ-(912)Изобретательство-(14524)Иностранные языки-(4268)Информатика-(17799)Искусство-(1338)История-(13644)Компьютеры-(11121)Косметика-(55)Кулинария-(373)Культура-(8427)Лингвистика-(374)Литература-(1642)Маркетинг-(23702)Математика-(16968)Машиностроение-(1700)Медицина-(12668)Менеджмент-(24684)Механика-(15423)Науковедение-(506)Образование-(11852)Охрана труда-(3308)Педагогика-(5571)Полиграфия-(1312)Политика-(7869)Право-(5454)Приборостроение-(1369)Программирование-(2801)Производство-(97182)Промышленность-(8706)Психология-(18388)Религия-(3217)Связь-(10668)Сельское хозяйство-(299)Социология-(6455)Спорт-(42831)Строительство-(4793)Торговля-(5050)Транспорт-(2929)Туризм-(1568)Физика-(3942)Философия-(17015)Финансы-(26596)Химия-(22929)Экология-(12095)Экономика-(9961)Электроника-(8441)Электротехника-(4623)Энергетика-(12629)Юриспруденция-(1492)Ядерная техника-(1748)

Методичні рекомендації 2 страница




Берілген уақыт мезетінде тербелістегі нүктенің қозғалыс бағыты мен ығысу шамасын сипаттайтын физикалық шама тербелістің … деп аталады. (ығысуы)

Берілген шамалардың қайсысы джоульмен өлшенбейді: (Дене импульсі.)

Берілген шамалардың қайсысы заттың күй функциясы болып табылады: (Ішкі энергия және энтропия)

Берiлген формулалардың қайсысы мына аңықтамаға сәйкес келедi: жүйеге берiлген жылу мөлшерi жүйенiң iшкi энергиясының өсуi мен жүйенiң сыртқы денелердiң үстiнен орындайтын жұмысқа жұмсалады. (Q = ΔU+A)

Берілгендердің ішінен Ньютонның ІІІ заңының анықтамасын көрсетіңіз: (Екі материалдық нүктелердің өзара әсерлесу күштері модуль бойынша тең бағыттары қарама-қарсы болады, ол бағыт нүктелерді қосатын сызық бойымен дәл келеді.)

Беттік керілу коэффициентінің өлшем бірлігі:

1. Дж/м2 2. Н/м2 3. Н/м 4. Н×м (1,3)

Биіктігі 0,5м керосин бағаны ыдыс түбіне қандай қысым түсіреді? (rкеросин = 800 кг/м3) (4кПа)

Больцман таралуы бойынша газ молекулаларының ең аз потенциалдық энергиясында:1олардың концентрациясы минималды 2 олардың концентрациясы максималды 3 газ тығыздығы минималды 4 газ тығыздығы максималды

(2 және 4)

Бөлмедегі қай газдың (оттегі, сутегі немесе азот) молекулаларының жылдамдығы көп болады? (сутегінің)

Бөлшек жылдамдықпен қозғалады (мұндағы с=3·108 м/с). Бөлшектің релятивистік массасы, оның тыныштық массасынан неше есе артық? (1.67)

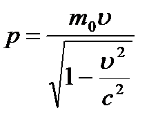
Бөлшек жарық жылдамдығына жақын жылдамдықпен қозғалады. Бөлшектің импульсін анықтайтын формуланы көрсетіңіз.

Бөлшектердің сыртқы потенциалды өрістегі таралуы мынаны сипаттайды: 1 Максвелл таралуын, 2 Молекула-кинетикалық теориясының негізгі теңдеуін, 3 Больцман таралуын, 4 Барометрлік формуланы. (3)

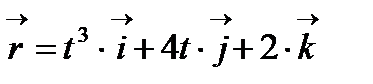
Бөлшектің радиус-векторы уақыт бойынша (м) заңымен өзгереді. Қозғалыстың бастапқы 10 с ішіндегі орын ауыстыру модулін тап: (500м.)

Бөлшектің тыныштық массасы 0,9∙10-16 кг. Бөлшек 2∙108 м/с жылдамдықпен қозғалады. Бөлшектің тыныштық энергиясы неге тең? Жарықтың вакуумдағы жылдамдығы 3∙108 м/с. (8.1 Дж)

Бөлшектің уақыт бойынша кеңістіктегі орны мына заң бойынша берілген: . Осы бөлшектің уақытындағы жылдамдығының модулін табыңыз. (5 м/с)

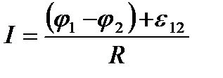
Бұл қ андай өрнек : (Киргхгофтың екінші ережесі.)

Бұрыштық жылдамдығы w = 0,5с-1, айналып тұрған маховикті тоқтату үшін қандай жұмыс жасау керек? Маховиктің айналу осіне қатысты инерция моменті J = 4×10-4 кг×м2. (5×10-5 Дж)

Бұрыштық үдеудiң өлшем бiрлiгi: (рад/с2

Бір атомды идеал газды изобаралық қыздырған. Газға берілген жылу мөлшерінің қандай бөлігі газдың ішкі энергиясына берілді? (0,6)

Бір атомды идеал газ қыздырғыштан 2 кДж жылу энергиясын алған. Процесс изохоралы болса, оның ішкі энергиясы қалай өзгереді? (2 кДж)

Бір атомды идеал газдың еркіндік дәрежелерінің саны қанша болады? (3)

Бір атомды идеал газдың ішкі энергиясының өзгерісі: ()(

Бір моль газдың қысымы тұрақты 10 К температурада екі есе артты. Газдың атқарған жұмысы неге тең? (10R ln 0,5)

Бір моль газдың энтропиясы: 1. 2. 3. 4. (1,4.,)

Бір моль идеал газдың ішкі энергиясының өрнегі: (

Бір моль реал газ күйі теңдеуімен анықталады. Теңдеудің аты қалай аталады? (Ван-дер-Ваальс теңдеуі)

Бiр-бiрiмен параллель жалғанған С1=4 мкФ және С2=6 мкФ екi конденсатор ЭҚК-i 12 В ток көзiне қосылған. Екiншi конденсатордың астарларында пайда болған заряд мөлшерi қанша болады? (72 мкКл)

Бiр-бiрiмен тiзбектей жалғанған, сыйымдылықтары С1=17 мкФ және С2=34 мкФ екi конденсаторды ЭҚК-i 50 В ток көзiне қосқанда, олардағы зарядтардың қатынасы қандай болады? (q1/q2 = 1)

Бір-біріне қарама-қарсы бағытында әрқайсысы 5 м/с жылдамдықпен екі дене қозғалып, абсолют серпімсіз соққыдан кейін біртұтас дене болып 2,5 м/с жылдамдықпен қозғала бастады. Бұл денелердің массаларының қатынасы неге тең? (3)

Бірдей екі металл шарик 4∙10-6 Н күшпен өзара әсерлеседі. Егер біреуіне дәл сондай зарядталмаған шарикті тигізіп ажыратса, шариктердің өзара әсерлесу күші неге тең? (2∙10-6 Н)

Бірдей температура кезіндегі сутегі және оттегі молекулаларының орташа квадраттық жылдамдықтарының қатынасы неге тең? Сутегінің мольдік массасы 2∙10 -3 кг/моль, оттегінікі - 32∙10 -3 кг/моль. (4)

Бірдей фазада тербелетін көрші екі толқын нүктелердің арақашықтығын … деп атайды. (толқын ұзындығы)

Бірдей фазада тербелетін нүктелердің геометриялық орны қалай аталады? (толқын беті)

Бiркелкі зарядталған ұзын қыл өткізгіш электр өрiсiн туғызады. Оның зарядын 2 есе көбейткенде, өрiстiң берiлген нүктесiнiң кернеулiгi қалай өзгередi? (2 есе өседi)

Біркелкі электрстатикалық өрістің кернеулігі 140 Н/Кл болса, онда арақашықтықтары 0,5 см болатын екі нүктенің потенциалдар айырымы қанша болады? (0,7 В)

Бір күш сызығында бір-бірінен 20см қашықтықта орналасқан нүктелердің потенциалдар айырымы 160 В. Біртекті электр өрісінің кернеулігі неге тең: (800 Н/Кл)

Бірқалыпты айналмалы қозғалыс үшін бұрыштық жылдамдық пен бұрыштық үдеудің шамалары қандай болу керек? ( және )

Бiрқалыпты зарядталған ұзын қыл өткізгіш туғызған электр өрiсiнiң кернеулiгi қандай өрнекпен анықталады?

()

Бірқалыпты зарядталған шексіз жазықтықтың қасынан А және В нүктелері алынған. А нүктесі В нүктесінен жазықтыққа төрт есе жақын орналасқан. Осы нүктелердегі потенциалдарды және салыстырыңыз: ()

Бірқалыпты үдемелі айналмалы қозғалыстың теңдеуін көрсетіңіз.()

Бір қалыпты үдемелі қозғалысқа сәйкес математикалық өрнекті көрсетіңіз: ()

Бір молекуланың массасын анықтау үшін қандай өрнек пайдаланылады? (m = )

Бір моль идеал газ бастыпқы P,V,T пераметрлерімен р=const кезде 3V көлеміне дейін ұлғаяды. Мұндай жағдайда газ қандай жұмыс істейді? Бастапқы жұмысы РV. (2PV)

Бір нүктеде нүктелік зарядтың туғызған электр өрісінің кернеулігі осы заряд пен нүкте ара қашықтығын 5 есе өсірсе қалай өзгереді? (25 есе кемиді)

Бір түзу бойымен қозғалатын (м) және (м) екі гармоникалық тербелістер қосылады. Қорытқы тербелістің амплитудасы неге тең? ()

Бір-біріне қарама-қарсы бағытында әрқайсысы 5 м/с жылдамдықпен екі дене қозғалып, абсолют серпімсіз соққыдан кейін біртұтас дене болып 2,5 м/с жылдамдықпен қозғала бастады. Бұл денелердің массаларының қатынасы неге тең? (3)

Біртекті дискінің айналу осі дискінің диаметріне дәл масса центрі арқылы өтеді, шардың айналу осі – оның центрі арқылы өтеді. Егер шар мен дискінің радиустері және массалары бірдей болса, және олар бірдей жылдамдықтармен айналса, онда шардың және дискінің айналуының кинетикалық энергияларының қатынастары Е шар/ Е диск неге тең? (1,6)

Біртекті диэлектрик ішіндегі өріс кернеулігінің модулі вакуумдағы өріс кернеулігінің модулінен қанша есе аз екенін көрсететін физикалық шама атауы: (Диэлектрлік өтімділік)

Біртекті диэлектриктегі () электр өрісінің кернеулігі E=600 В/м. Электр өрісінің көлемдік тығыздығы неге тең? ~ )

Біртекті емес тізбек үшін Ом заңының формуласы: )

Біртекті емес тізбек бөлігінің кернеуі дегеніміз: (Бірлік оң зарядты орын ауыстырғандағы электростатикалық және бөгде күштердің істеген жұмысы.)

Біртекті тізбек бөлігіне арналған Ом заңын көрсетіңіз. )

Бір түзу бойымен қозғалатын (м) және (м) екі гармоникалық тербелістер қосылады. Қорытқы тербелістің амплитудасы неге тең? (5 м)

Бір циклде А=3 кДж жұмыс істеліп, суытқышқа 17 кДж энергия берілсе, жылу машинасының ПӘК-і қандай? (15%)

Бірінші конденсатордың сыйымдылығы 0,5 мкФ, ал екіншісінікі – 5 мкФ. Екеуі де бірдей 15 мкКл заряд жинау үшін, олардың пластиналарына қандай кернеу беру керек? (30 В және 3 В.)

Вакуум диодының вольт-амперлiк сипаттамасының сызықты емес учаскесi қандай формуламен анықталады? (I=dU3/2)

Вакумда бір-бірінен 4 м қашықтықта шамалары оң q1=10мкКл және q2= 40мкКл-ға тең зарядтар орналасқан. Зарядтардың ара қашықтығын 2 м-ге жақындатқан кезде қанша жұмыс атқарылады: (0,9 Дж)

Вакуумдағы жарық жылдамдығына тең жылдамдықпен қозғалған бөлшек жарық толқынын шығарады. Қозғалмай тұрған бақылаушыға қатысты бұл толқынның жылдамдығы неге тең? Жарықтың вакуумдағы жылдамдығы с -ға тең. (с)

Вакуумдегі электр өрісі кернеулігі векторының циркуляциясы туралы теореманың өрнегін көрсет.

Вакуумдағы электр өрісі кернеулігі үшін Гаусс теоремасы:

Ван-дер Ваальс теңдеуі … сипаттайды. (реал газ күйін)

Ван-дер-Ваальс теңдеуінің өрнегін көрсетіңіз. ()

Велосипедшінің жылдамдығы 36 км/сағ, ал оған қарсы соққан жел жылдамдығы 4 м/с. Велосипедшіге қатысты санақ жүйесіндегі жел жылдамдығын табыңыз (14 м/с)

Велосипедші уақыттың бірінші жартысын v=16км/сағ жылдамдықпен, ал уақыттың екінші жартысын v=12км/сағ жылдамдықпен қозғалды. Велосипедшінің орташа қозғалыс жылдамдығын анықтаңыз. (14км/сағ)

Вертикаль бағыттағы біркелкі электрстатикалық өрiсте салмағы 10-10 Н майдың тамшысы тепе-теңдік күйде тұр. Егер тамшыда 2×10-12 Кл заряд болса, электр өрiсiнiң кернеулiгi қанша болғаны? (50 В/м)

Вольтпен өлшенбейтін физикалық шаманы тап: (Электр өрісінің кернеулігі)

“Восток” Жер серігі кемесінен тараған толқынның жиілігі 20 МГц болса, онда оның толқын ұзындығы неге тең? Жарық жылдамдығы с=3×108 м/с деп алыңыз. (15 м)

Газ 1 күйден 2 күйге көшкен кезде орындалатын жұмыс неге тең? (600 Дж

Газ 1-күйден 2-күйге өтті. Оның ішкі энергиясы қалай өзгереді? (артты)

Газ идеал деп саналады егер: (Бір мезгілде А және С шарттары орындалса)

Газ Карно циклін жасайды. Қыздырғыштың абсолют температурасы суытқыштың абсолют температурасынан 4 есе жоғары. Суытқышқа берілген жылудың толық жылуға қатынасы қанша болады? (0,25

Газ Карно циклін жасайды. Суытқыш температурасы 300К, қыздырғыштікі 500К. Егер қыздырғыш температурасын Т = 200К-ге арттырсақ, онда циклдың ПӘК-і неше есе артады? (1,43)

“Газ қоспаларының қысымы, оның парциал қысымдарының қосындысына тең болады” деген Дальтон заңының формуласын көрсетіңіз. (р = р1 + р2+...)

Газ молекулаларының орташа квадраттық жылдамдығының ең ықтимал жылдамдыққа қатынасы неге тең? ()

Газ температурасын 4 есе арттырған кезде, газ молекуласы қозғалысының ең ықтимал жылдамдығы қалай өзгереді?

(2 есе артады)

Газға 100 Дж жылу мөлшері берілді және сыртқы күштер газ үстінен 300 Дж жұмыс істеді. Газдың ішкі энергиясының өзгерісі неге тең? (400 Дж)

Газға 100 Дж жылу мөлшері берілді. Сыртқы күштерге қарсы атқарылған жұмыс 300 Дж. Газдың ішкі энергиясының өзгерісі қаншаға тең? (200 Дж)

Газдар арқылы электр тогының өтуi не деп аталады? (газ разряды)

Газдардағы электр тогы өтуiн ….. деп атайды. (газдық разряд)

Газдардың тұрақты қысымдағы және тұрақты көлемдегі жылу сыйымдылықтарының айырмасы неге тең болады? (8,31 )

Газды изотермалық түрде сыққанда көлемі 2 есе кемиді. Газ қысымы қанша шамаға өзгереді? (2 есе артады)

Газдың концентрациясы өзгермеген жағдайда абсолют температурасы 3 есе артса, идеал газдың қысымы қалай өзгереді? (3 есе артады)

Газдың температурасы 270С болғанда көлемі 6 л болса, температурасы 770С болғанда көлемі қандай болады? Қысымы тұрақты деп есептеңіз. (7 л)

Газдың ішкі энергиясы, оның молекулаларының Ек – кинетикалық энергиясы мен Еп - потенциялық энергияларының қосындысынан тұрады. Бұл газ күйі Менделеев-Клапейрон теңдеуімен өрнектелуі үшін, оның Ек мен Еп энергиялары қанша болуы керек? к=max, Еп=0)

Гармоникалық тербелмелі қозғалыс x=cos(ωt+φ0) заңдылығымен өтеді. Осы қозғалыстың жылдамдығын анықтаңыз:

(–ω sin(ωt+φ0))

Гармониялық тербеліс жасаушы дененің тербелісінің теңдеуі мынадай: х=2sіn , м болса, оның максимал жылдамдығы қанша болады? (4p/5)

Гармониялық тербеліс теңдеуі мына түрде берілген: х=0,2cos(5t+p/2), м. Осы тербелістің амплитудасы неге тең? (0,2м)

Гармониялық тербелістің теңдеуі х=a×sіnwt және циклдік жиілігі w=p/6-ға тең. Маятник амплитуданың жартысына ауытқуы үшін қанша уақыт керек болады? (1с)

Гармониялық тербелістің теңдеуі Х= (м) түрінде берілген болса, тербелістің периоды неге тең болады? 1 с

Гелий молекулаларының орташа кинетикалық энергиясының қандай бөлігі оның айналмалы қозғалысының орташа кинетикалық энергиясын құрайды? (ешқандай)

Гелий молекулаcының еркіндік дәреже саны нешеге тең? (3)

Герметикалық жабық ыдыс ішінде су мен су буы бар. Ыдысты қыздырған кезде су буының молекулалар тығыздығы қалай өзгереді? (артады)

Гидродинамикалық қысымның өрнегін көрсету керек: )

Горизонталь жазықтықта 4 м/с жылдамдықпен қозғалған дене үйкеліс күші әсерінен модулі бойынша 1 м/с2 үдеумен қозғала бастады. Дененің 5 с ішінде жүрген жолы неге тең? (8 м)

Горизонталь жазықтықта жатқан массасы 500г дененің салмағы қандай : (4,9 Н)

Горизонталь жазықтықта қозғалатын шананың тежелу уақыты қандай физикалық шамаларға тәуелді болады? (бастапқы жылдамдығы мен үйкеліс коэффициентіне)

Горизонталь орналасқан жазық конденсатордың астарларының арасында заряды 9,8∙10-18 Кл зарядталған бөлшек тепе-теңдік қалпын сақтаған. Конденсатор өрісінің кернеулігі 104 В/м. Бөлшектің массасын
табыңыз. (1,0 ∙10-14 кг )

Горизонталь орналасқан жазық конденсатордың астарларының арасында заряды 9,8×10-18 Кл зарядталған бөлшек тепе-теңдік қалпын сақтаған. Конденсатор өрісінің кернеулігі 2 × 104 В/м. Бөлшектің массасын табыңыз. (2,0 × 10-14 кг)

Горизонтқа бұрышымен орналасқан жазықтық бетінде массасы кітап жатыр. Егер үйкеліс коэффициенті m болса, онда үйкеліс күші неге тең? ()

Дальтон заңын өрнектейтін математикалық формуланы көрсетіңіз. ()

Дене =5 Н центрге тартқыш күш әсерінен радиусы =2 м шеңбер бойымен қозғалады. Дене айналымының жартысында күші қанша жұмыс орындайды? (0 Дж)

Дене 0=30 м/с жылдамдықпен вертикаль жоғары лақтырылды. Қозғалыс басталғаннан кейінгі 4 с ішіндегі оның орын ауыстыруы қандай? (g=10 м/с2). (40м)

Дене 0=40 м/с бастапқы жылдамдықпен көкжиекке a=60° бұрыш жасай лақтырылды. Траекторияның жоғарғы нүктесіндегі траекторияның қисықтық радиусы неге тең? (40м)

Дене 7 м/с жылдамдықпен тік жоғары лақтырылған. Дене 2 м биіктікке көтерілгенде, оның толық энергиясы қалай өзгереді? (өзгермейді)

Дене 8 м биіктіктен жерге құлады. Дененің жермен соқтыққан кездегі кинетикалық энергиясы 800 Дж. Осы дененің массасын анықта : (10 кг)

Дене 10 м жолды 10 с өтті. Алғашқы 6 м жолды 2 с ішінде өтті, содан кейін 3 с бойы тоқтап тұрды. Оның осы жолдағы орташа жылдамдығы қандай? (1 м/с)

Дене 15 м/с жылдамдықпен вертикаль жоғары лақтырылды. Жерге ол қайтадан қандай жылдамдықпен құлап түседі? (Ауаның кедергісі ескерілмесін).(15 м/с)

Дене 15м/с жылдамдықпен жоғары вертикаль лақтырылған. Ол қандай жылдамдықпен жерге түседі. Ауаның кедергісін ескермеңіз: (15 м/с)

Дене 20 Н күштің әсерінен 0,5 м/с2-қа тең үдей қозғалды. Дененің массасы неге тең? (40 кг)

Дене 25 м/с жылдамдықпен жоғары вертикаль лақтырылған. Ол қандай жылдамдықпен жерге түседi. Ауаның кедергiсiн ескермеңiз: (25 м/с)

Дене 1000 Н күш әсерінен 0,05 м/с2 үдеумен қозғалған. Дененің массасын анықтаңыз. (20 т)

Дене белгілі бір биіктіктен құлады. Жерге құлар кезде оның жылдамдығы 30 м/с болды. Дене қандай биіктіктен құлаған (g=10 м/с2): (45 м)

Дене биіктіктен еркін құлаған. Егер дененің массасы 1 кг және үдеуі 9 м/с2 болса, денеге әсер етуші ауаның кедергі күші қаншаға тең болады? (g=9,8 м/с2).(0,8 Н)

Дене еркін түсе бастағаннан кейінгі оның 2 с және 3 с ішіндегі жүрген жолдарының қатынасы қандай? (Бастапқы жылдамдық 0=0, ауаның кедергісі ескерілмейді). (4:9)

Дене жылдамдығының Х және У осьтеріне проекциялары uх=4м/с, uу=3 м/с. Жылдамдық модулін анықтаңыз. (5 м/с)

Дене координаталары (7;2) нүктеден координаталары (-5;7) нүктеге орын ауыстырды. Дененің орын ауыстыруының модулі қандай? (13)

Дене көкжиекпен a=60° бұрыш жасайтын көлбеу жазықтықпен сырғанайды. Үйкеліс коэффициенті 0,2. Дененің үдеуі неге тең? (g=10м/с2) (7,66 м/с2)




Поделиться с друзьями:


Дата добавления: 2014-12-16; Просмотров: 1095; Нарушение авторских прав?; Мы поможем в написании вашей работы!


Нам важно ваше мнение! Был ли полезен опубликованный материал? Да | Нет



studopedia.su - Студопедия (2013 - 2026) год. Все материалы представленные на сайте исключительно с целью ознакомления читателями и не преследуют коммерческих целей или нарушение авторских прав! Последнее добавление




Генерация страницы за: 0.01 сек.