Студопедия

КАТЕГОРИИ:


Архитектура-(3434)Астрономия-(809)Биология-(7483)Биотехнологии-(1457)Военное дело-(14632)Высокие технологии-(1363)География-(913)Геология-(1438)Государство-(451)Демография-(1065)Дом-(47672)Журналистика и СМИ-(912)Изобретательство-(14524)Иностранные языки-(4268)Информатика-(17799)Искусство-(1338)История-(13644)Компьютеры-(11121)Косметика-(55)Кулинария-(373)Культура-(8427)Лингвистика-(374)Литература-(1642)Маркетинг-(23702)Математика-(16968)Машиностроение-(1700)Медицина-(12668)Менеджмент-(24684)Механика-(15423)Науковедение-(506)Образование-(11852)Охрана труда-(3308)Педагогика-(5571)Полиграфия-(1312)Политика-(7869)Право-(5454)Приборостроение-(1369)Программирование-(2801)Производство-(97182)Промышленность-(8706)Психология-(18388)Религия-(3217)Связь-(10668)Сельское хозяйство-(299)Социология-(6455)Спорт-(42831)Строительство-(4793)Торговля-(5050)Транспорт-(2929)Туризм-(1568)Физика-(3942)Философия-(17015)Финансы-(26596)Химия-(22929)Экология-(12095)Экономика-(9961)Электроника-(8441)Электротехника-(4623)Энергетика-(12629)Юриспруденция-(1492)Ядерная техника-(1748)

Испытаниях трубопроводов




Зоны безопасности при гидравлических

И испытании трубопроводов воздухом

Зоны безопасности при очистке

Условный диаметр трубопровода Радиус опасной зоны
Ду, мм при очистке полости в обе стороны от трубопровода, м при очистке полости в направлении вылета ерша или поршня, м при испытании в обе стороны от трубопро­вода, м
  До 300      
300 — 500      
500 — 800      
800 — 1000      
1000 — 1400        

 

Таблица 6.3

Диаметр трубопро­вода, мм Давление испытания 8,25 Мпа Радиус опасной зоны, м   Давление испытания свыше 8,25 Мпа Радиус опасной зоны, м
    в обе сторо­ны от оси тру­бопровода в направ­лении отрыва заглушки от торца трубо­провода   в обе сторо­ны от оси тру­бопровода в направ­лении отрыва заглушки от торца трубо­провода
  100 — 300 75      
300 — 500        
500 — 800        
800 — 1000        
1000 — 1400          

 

6.2.11. Запрещается проведение испытаний трубопроводов на прочность и продувка их в ночное время.

6.2.12. До начала продувки и испытания трубопровода необ­ходимо снять напряжение с воздушных линий электропередачи, находящихся в опасной зоне.

6.2.13. При продувке минимальные расстояния от места вы­пуска газа до сооружений, железных и шоссейных дорог, насе­ленных пунктов следует принимать по табл. 6.2 настоящих Пра­вил.

6.2.14. Продувка и испытание трубопроводов сероводородсодержащим газом запрещаются.

6.2.15. Пневматические испытания трубопроводов должны проводиться воздухом или инертным газом. Пневматические ис­пытания трубопроводов, ранее использовавшихся для транспор­тировки углеводородных взрывоопасных сред, должны прово­диться только инертными газами.

6.2.16. Для наблюдения за состоянием трубопровода во время продувки или испытания должны выделяться обходчики, кото­рые обязаны:

а) вести наблюдения на закрепленных за ними участках трубопровода;

б) не допускать нахождения людей, животных и движения транспорта в опасной зоне и на дорогах, закрытых для движе­ния;

в) немедленно оповещать руководителя работ о всех обстоятельствах, препятствующих проведению продувки, испытания или создающих угрозу для людей, животных, сооружений и транспортных средств, находящихся вблизи трубопровода.

При испытании наземных и надземных трубопроводов разме­ры опасных зон, указанные в табл. 6.2, должны быть увеличены в 1,5 раза.

6.2.17. Перед вводом в эксплуатацию трубопровода с природ­ным газом должно быть произведено вытеснение из трубопрово­да воздуха газом давлением не более 0,1 МПа в месте его подачи. Вытеснение воздуха можно признать законченным, когда содер­жание кислорода в газе, выходящем из газопровода, составляет не более 2 % по показаниям газоанализатора.

6.2.18. При всех способах испытания на прочность и герме­тичность для измерения давления должны применяться проверенные опломбированные и имеющие паспорт дистанционные приборы или манометры класса точности не ниже I и с предель­ной шкалой на давление около 4/3 от испытательного, устана­вливаемые вне охранной зоны.

Технологические процессы поднятия давления и выдержки трубопровода при испытательном давлении должны быть зафиксированы в журнале испытаний.

По эпюре испытательных давлений следует назначать точку контроля давления при испытаниях, определять расчетное да­вление опрессовочных агрегатов и место их расположения.

6.2.19. В процессе выдержки трубопровода под испытатель­ным давлением обеспечивается наблюдение за показаниями при­боров контроля давления и температуры воды с записью в жур­нале наблюдений или на диаграммную бумагу с самопишущих приборов, установленных на постах наблюдений.

6.2.20. Данные показаний приборов фиксируются в рабочих журналах наблюдений через каждый час. В рабочих журналах фиксируются также все моменты (периоды) снижения (повыше­ния) давления.

6.2.21. В процессе гидравлических испытаний на каждом из испытываемых участков может наблюдаться постепенное сни­жение (повышение) испытательного давления вследствие сни­жения (повышения) температуры воды в трубопроводе за счет влияния теплового поля окружающей трубопровод среды.

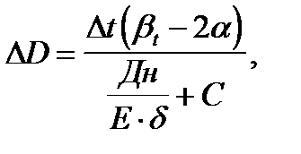
6.2.22. Величина снижения (повышения) испытательного да­вления по показаниям приборов не должна отличаться от значе­ний, определяемых по формуле (6.1) с учетом замеренных тем­ператур воды:

 

(6.1)

 

где D D — изменение давления, кгс/см2; D t — изменение темпе­ратуры, град.; bt — коэффициент температурного расширения воды, 1/град.; a — коэффициент температурного расширения, стали, 1/град.; Дн — наружный диаметр трубопровода, мм; С — коэффициент объемного сжатия воды, 44,3106 см2/кгс; Е — модуль упругости стали, 2,1106 кгс/см2; d — толщина стенки трубы, мм.

Коэффициенты a, С, Е в области температур и давлений, при которых обычно испытывают трубопроводы, можно считан, постоянными.

Коэффициент bt зависит от температуры и может быть вы­числен по эмпирической формуле (6.2):

 

(6.2)

 

6.2.23. Протяженность испытываемых участков не ограничи­вается (за исключением случаев гидравлического и комбиниро­ванного испытания), когда протяженность участков назначается с учетом гидростатического давления.

6.2.24. При очистке полости трубопровода или его участка необходимо проверить путем пропуска поршня или внутритрубного прибора (шаблона) проходное сечение трубопровода на воз­можность беспрепятственного прохождения очистных, раздели­тельных устройств и приборов внутритрубного диагностирова­ния.

6.2.25. Трубопроводы, имеющие участки, относящиеся к осо­бо опасным с точки зрения экологических последствий (пересече­ния с реками, железными дорогами, автодорогами, другими ком­муникациями, густонаселенные и промышленные зоны), должны быть подвергнуты предпусковой внутритрубной приборной диа­гностике.

6.2.26. Необходимость внутритрубной приборной диагности­ки трубопровода или его участка до пуска в эксплуатацию опре­деляется технико-экономическим расчетом на основании стати­стических данных о надежности трубопроводов, эксплуатирую­щихся в аналогичных условиях, и с учетом возможных экологи­ческих последствий от аварий.

6.2.27. В случае возникновения отказа, т. е. нарушения герметичности испытываемого участка трубопровода, вызванного разрушением труб, сварных соединений, деталей трубопроводов, запорной и распределительной арматуры, производится техниче­ское расследование причин отказа.

После выяснения причин отказа поврежденный участок трубопровода подлежит ремонту, повторному испытанию на проч­ность и проверке на герметичность.

6.2.28. Техническое расследование отказов осуществляет ко­миссия (при необходимости межведомственная), назначенная со­гласно установленному порядку.

6.2.29. Основные задачи работы комиссии:

изучение и анализ технической документации, опрос свидете­лей и должностных лиц;

осмотр места отказа, проведение необходимых обмеров, со­ставление схемы объекта в месте отказа, фотографирование от­казавшего объекта, его отдельных узлов и элементов;

установление очага отказа и его описание;

установление необходимости организации технической экс­пертизы по вопросам, связанным с выяснением причин отказа, а также проверочных расчетов элементов или конструкций с ука­занием организаций или лиц, которым поручается выполнение технической экспертизы и проверочных расчетов;

определение мест отбора, отбор и отправка на обследование проб и образцов материалов или элементов конструкций, при необходимости дополнительные исследования и испытания;

анализ информации о характере разрушения, определение очага разрушения, а также установление причины отказа;

установление размера материальных потерь, причиненных отказом;

подготовка предложений и рекомендаций по ликвидации по­следствий отказа;

подготовка рекомендаций по предупреждению отказов в бу­дущем.

6.2.30. Если в числе предполагаемых причин отказа может быть низкое качество труб, то в составе комиссии должен быть представитель завода — поставщика труб.

6.2.31. Организация и оплата проведения экспертизы, лабора­торных исследований и других работ, связанных с расследовани­ем отказа, а также техническое оформление материалов рассле­дования обеспечиваются строительно-монтажной организацией, проводящей строительство и испытания объекта, на котором произошел отказ.

6.2.32. По требованию комиссии строительная организация должна быть готова предоставить следующую документацию:

проект участка трубопровода в месте отказа;

материалы исполнительной съемки;

журнал сварочных работ;

журнал изоляционных работ;

акты производства и приемки работ;

сертификаты на трубы и детали, паспорта на оборудование;

акт и журнал испытаний;

график подъема давления.

6.2.33. По результатам изучения и анализа технической документации комиссия устанавливает соответствие:

выполнения строительно-монтажных работ требованиям про­екта;

применяемых при сооружении исследуемого участка трубо­провода труб, оборудования, материалов требованиям проекта.

6.2.34. По результатам обследования места отказа комиссия составляет схему разрушения части трубопровода с привязкой к пикетам и с указанием следующих данных:

расположение и размеры разрушения относительно оси трубопровода;

размеры котлована (при наличии выброса грунта);

зоны теплового воздействия (в случае возгорания при отказе).

6.2.35. По результатам технического расследования комиссия составляет акт, содержащий характеристику объекта, описание места отказа, данные об очаге отказа, обоснование и указание причин отказа, сведения о потерях в результате отказа, выво­ды и предложения по предупреждению отказов. При необходи­мости дополнительных исследований металла и других матери­алов, проведения поверочных расчетов и прочих исследований в акте должны быть указаны соответствующие организации, ко­торым поручается проведение этих работ.

6.2.36. Оплата материальных затрат, связанных с ликвидаци­ей последствий отказа, производится после установления причин отказа в установленном порядке.




Поделиться с друзьями:


Дата добавления: 2014-11-29; Просмотров: 1878; Нарушение авторских прав?; Мы поможем в написании вашей работы!


Нам важно ваше мнение! Был ли полезен опубликованный материал? Да | Нет



studopedia.su - Студопедия (2013 - 2025) год. Все материалы представленные на сайте исключительно с целью ознакомления читателями и не преследуют коммерческих целей или нарушение авторских прав! Последнее добавление




Генерация страницы за: 0.012 сек.