Студопедия

КАТЕГОРИИ:


Архитектура-(3434)Астрономия-(809)Биология-(7483)Биотехнологии-(1457)Военное дело-(14632)Высокие технологии-(1363)География-(913)Геология-(1438)Государство-(451)Демография-(1065)Дом-(47672)Журналистика и СМИ-(912)Изобретательство-(14524)Иностранные языки-(4268)Информатика-(17799)Искусство-(1338)История-(13644)Компьютеры-(11121)Косметика-(55)Кулинария-(373)Культура-(8427)Лингвистика-(374)Литература-(1642)Маркетинг-(23702)Математика-(16968)Машиностроение-(1700)Медицина-(12668)Менеджмент-(24684)Механика-(15423)Науковедение-(506)Образование-(11852)Охрана труда-(3308)Педагогика-(5571)Полиграфия-(1312)Политика-(7869)Право-(5454)Приборостроение-(1369)Программирование-(2801)Производство-(97182)Промышленность-(8706)Психология-(18388)Религия-(3217)Связь-(10668)Сельское хозяйство-(299)Социология-(6455)Спорт-(42831)Строительство-(4793)Торговля-(5050)Транспорт-(2929)Туризм-(1568)Физика-(3942)Философия-(17015)Финансы-(26596)Химия-(22929)Экология-(12095)Экономика-(9961)Электроника-(8441)Электротехника-(4623)Энергетика-(12629)Юриспруденция-(1492)Ядерная техника-(1748)

Виды товарно-материальных запасов




Причины создания запасов.

Существует значительное число причин создания материальных запасов. Перечислим наиболее типичные их них [18].

1) Вероятность нарушения графика поставок. Запас необходим, чтобы избежать остановки производственного процесса;

2) Возможность колебания спроса. Если нет запаса, то клиент уйдет с деньгами и без покупки.

3) Сезонные колебания производства некоторых видов товаров (сельскохозяйственная продукция).

4) Скидки при покупке крупной партии товара.

5) Спекуляция. Если суметь предвидеть рост цен на некоторые товары, то можно создать запас.

6) Издержки, связанные с оформлением заказа. Их можно снизить, сократив количество заказов. Это означает увеличением размеров заказываемой партии и размеров запаса.

7) Возможность равномерного осуществления операций по производству и распределению. Производственные запасы обеспечивают равномерность производственного процесса. Запасы в системе распределения позволяют более равномерно осуществлять процесс распределения.

8) Возможность немедленного обслуживания покупателей.

9) Сведение к минимуму простоев из-за отсутствия запасных частей.

10) Упрощение процесса управления производством. Запасы полуфабрикатов на разных стадиях производственного процесса позволяют снизить требования к степени согласованности производственных процессов.

Перечисленные причины вынуждают создавать запасы, т.к. в противном случае уменьшается прибыль. Но запас не должен превышать некоторой оптимальной величины.

Существует три вида товарно-материальных запасов:

1) сырьевые материалы (в том числе комплектующие изделия и топливо);

2) товары, находящиеся на стадии изготовления;

3) готовая продукция.

В зависимости от их целевого назначения они подразделяются на следующие категории:

· технологические (переходные) запасы, движущиеся из одной части логистической системы в другую;

· текущие (циклические) запасы, которые создаются в течение среднестатистического производственного периода (Запасы объемом в одну партию товаров);

· резервные (страховые) запасы, их называют запасами для компенсации случайных колебаний спроса. (Сюда же относят и спекулятивные запасы).

Технологические и переходные запасы. При длительных сроках реализации заказов объем переходных запасов будет велик. Если спрос на изделие 200 шт. в неделю, а срок поставки 2 недели, то объем переходных запасов 200.

Среднее количество переходных и технологических запасов в данной системе материально-технического обеспечения , J – общий объем технологических или переходных (находящихся в процессе транспортировки ТМЗ), S – средняя норма продаж этих запасов на какой-либо период времени, Т – среднее время транспортировки.

Запасы объемом в одну партию (циклические).

Большинство предпринимателей заказывают товары в избыточных объемах по отношению к необходимому, учитывая вероятность задержек и прочие причины.

Существуют ограничения на размер товарно-материальных запасов. Ограничителем являются издержки хранения. Возникает необходимость достижения баланса между преимуществами и недостатками заказывания с одной стороны и хранения с другой.

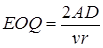
Баланс достигается определением выбором оптимального объема партий заказанных товаров или опреде­лением экономического (оптимального) размера заказа (economic order quantity, EOQ), который вычисляется по формуле [18]:

где А — затраты на производство; D — средний уровень спроса; v — удельные затраты на производство; r — затраты на хранение.

Резервные, или «буферные», товарно-материальные запасы служат источником снабжения в тех случаях, когда спрос на данный товар превышает ожидание. На практике спрос на товары точно спрогнозировать очень сложно. Это же относится и к точности предсказания сроков реализации заказов. Отсюда и необходимость в создании резервных товарно- материальных запасов.

Определение точного уровня необходимых резервных запасов зависит от трех факторов, а именно:

1) возможного колебания сроков восстановления уровня запасов;

2) колебания спроса на соответствующие товары на протяжении срока реализации заказа;

3) осуществляемой данной компанией стратегии обслуживания заказчиков.

Определение точного уровня резервных запасов в условиях нестабильности сроков реализации заказов и изменчивого спроса на товары и материалы, — дело нелегкое. Для нахождения необходимых величин резервов товарно-материальными запасов очень часто используется моделирование или имитация.




Поделиться с друзьями:


Дата добавления: 2014-11-29; Просмотров: 1825; Нарушение авторских прав?; Мы поможем в написании вашей работы!


Нам важно ваше мнение! Был ли полезен опубликованный материал? Да | Нет



studopedia.su - Студопедия (2013 - 2026) год. Все материалы представленные на сайте исключительно с целью ознакомления читателями и не преследуют коммерческих целей или нарушение авторских прав! Последнее добавление




Генерация страницы за: 0.012 сек.