Студопедия

КАТЕГОРИИ:


Архитектура-(3434)Астрономия-(809)Биология-(7483)Биотехнологии-(1457)Военное дело-(14632)Высокие технологии-(1363)География-(913)Геология-(1438)Государство-(451)Демография-(1065)Дом-(47672)Журналистика и СМИ-(912)Изобретательство-(14524)Иностранные языки-(4268)Информатика-(17799)Искусство-(1338)История-(13644)Компьютеры-(11121)Косметика-(55)Кулинария-(373)Культура-(8427)Лингвистика-(374)Литература-(1642)Маркетинг-(23702)Математика-(16968)Машиностроение-(1700)Медицина-(12668)Менеджмент-(24684)Механика-(15423)Науковедение-(506)Образование-(11852)Охрана труда-(3308)Педагогика-(5571)Полиграфия-(1312)Политика-(7869)Право-(5454)Приборостроение-(1369)Программирование-(2801)Производство-(97182)Промышленность-(8706)Психология-(18388)Религия-(3217)Связь-(10668)Сельское хозяйство-(299)Социология-(6455)Спорт-(42831)Строительство-(4793)Торговля-(5050)Транспорт-(2929)Туризм-(1568)Физика-(3942)Философия-(17015)Финансы-(26596)Химия-(22929)Экология-(12095)Экономика-(9961)Электроника-(8441)Электротехника-(4623)Энергетика-(12629)Юриспруденция-(1492)Ядерная техника-(1748)

Навигационная функция горизонтального угла




Одним из самых точных методов классической навигации является метод определения места по горизонтальным углам. Измерения, согласно данному методу



проводятся с помощью сек­стана или пеленгатора ком­паса, и навигационная функция определяется навигационным параметром а - горизон­тальным углом между двумя навигационными ориентирами.4 и.8 (рис. 1.8).

Расстояние между ориен­тирами d— называется базой.

Навигационной изолинией, вмещающей измеренный угол, является окружность с цент­ром в точке О, которая в навигации называется изого­ной. При решении задачи ОМС


Рис. 1.8. Изолиния навигационной функции а


на плоскости - это плоская изогона.

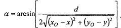
Уравнение семейства окружностей, вмещающих горизонтальные углы а, т.е. уравнение навигационной функции в неявном виде, запишется так:

Преобразуем уравнение (1.14) относительно навигационного параметра а и получим выражение навигационной функции в явном виде:


Для дальнейших выводов можно воспользоваться формулами (1.15) - (1.17), однако рассмотрим несколько иной подход к выводу формул градиента. Угол сх, можно получить как разность двух пеленгов на ориентиры А и В:

Тогда справедливо векторное равенство

или в векторно-матричных обозначениях

Подставив в выражение (1.18) выражения из формул (1.11) для частных производных пеленга и применив к треугольнику АВС (см. рис. 1.7) теорему косинусов для плоского треугольника, получим следующие выражения для горизонтального утла: /


Еще одна формула для гра­диента ga, применяемая в нави­гации для анализа геометрических и точностных характеристик, имеет следующий вид (рис. 1.9): sin a S^-JT Градиент направлен к центру изогоны по направлению т. Как видно из рис. 1.10, на котором представлены изолинии навигационной функции горизон­тального угла, при приближении к


Рис. 1.9. Горизонтальный угол

 


ориентирам скорость из­менения функции увели­чивается (изолинии стано­вятся гуще), т.е. модуль градиента растет.

Рис. 1.10. Сетка изолиний навигационной функции а





Поделиться с друзьями:


Дата добавления: 2014-11-29; Просмотров: 1079; Нарушение авторских прав?; Мы поможем в написании вашей работы!


Нам важно ваше мнение! Был ли полезен опубликованный материал? Да | Нет



studopedia.su - Студопедия (2013 - 2026) год. Все материалы представленные на сайте исключительно с целью ознакомления читателями и не преследуют коммерческих целей или нарушение авторских прав! Последнее добавление




Генерация страницы за: 0.012 сек.