Студопедия

КАТЕГОРИИ:


Архитектура-(3434)Астрономия-(809)Биология-(7483)Биотехнологии-(1457)Военное дело-(14632)Высокие технологии-(1363)География-(913)Геология-(1438)Государство-(451)Демография-(1065)Дом-(47672)Журналистика и СМИ-(912)Изобретательство-(14524)Иностранные языки-(4268)Информатика-(17799)Искусство-(1338)История-(13644)Компьютеры-(11121)Косметика-(55)Кулинария-(373)Культура-(8427)Лингвистика-(374)Литература-(1642)Маркетинг-(23702)Математика-(16968)Машиностроение-(1700)Медицина-(12668)Менеджмент-(24684)Механика-(15423)Науковедение-(506)Образование-(11852)Охрана труда-(3308)Педагогика-(5571)Полиграфия-(1312)Политика-(7869)Право-(5454)Приборостроение-(1369)Программирование-(2801)Производство-(97182)Промышленность-(8706)Психология-(18388)Религия-(3217)Связь-(10668)Сельское хозяйство-(299)Социология-(6455)Спорт-(42831)Строительство-(4793)Торговля-(5050)Транспорт-(2929)Туризм-(1568)Физика-(3942)Философия-(17015)Финансы-(26596)Химия-(22929)Экология-(12095)Экономика-(9961)Электроника-(8441)Электротехника-(4623)Энергетика-(12629)Юриспруденция-(1492)Ядерная техника-(1748)

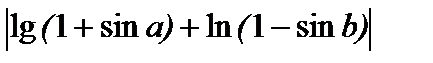
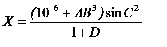
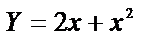
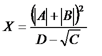
Завдання до виконання комп’ютерного практикума. Завдання 1. Обчислення арифметичного виразу № Формула для обчислення Значення констант А В С D 1. 5,27




Завдання 1. Обчислення арифметичного виразу

Формула для обчислення Значення констант
А В С D
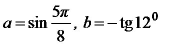
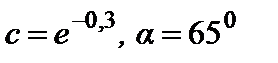
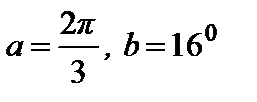
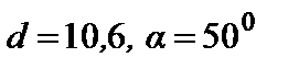
1. 5,27 1,03 6,28  
2. –3,78 4,25 0,01  
3.   3,48 -2,5 –1
4. 0,9 0,5 2,67  
5. 0,75 3,48 5,63  
6. 0,75 –3,23 –1,05  
7. 3,45 1,54 6,24  
8. 0,5 –4,25 5,75 -
9. 3,75 4,03 0,01  
10. 1,5 0,75 2,5  
11. 3,5 –2    
12. 0,05 0,38 4,25 –7
13. 1,25 6,27 2,5  
14. 2,75 0,01 3,14 -
15. 2,14 1,05 6,03 –4
16. 2,36 1,48 5,14  
17. 3,45 4,09 3,28  
18.     7,01  
19. 3,45   5,28  
20. 3,75 4,05 –2,75  

Завдання 2. Обчислення з використання умовного оператору

Формула Значення 1 Значення 2
1.
2.
3.
4.
5.
6.
7.
8.
9.
10.
11.
12.
13.
14.
15.
16.
17.
18.
19.
20.

Завдання 3. Обчислення з використання оператору циклу

1. . У завданні не використовувати масиви даних!

2. .

3. .

4. .

5. .

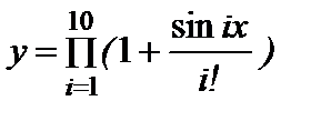
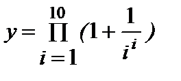
6. Обчислити добуток за формулою

7. Обчислити добуток за формулою , x – деяке дійсне число.

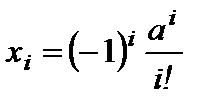
8. Сформувати послідовність , де: k = 1,2,…,10, а – дійсне число.

9. Сформувати послідовність чисел , де: , k = 1,2,…,10,

p – деяке число.

10. Сформувати послідовність , де: , k = 1,2,…,10.

11. Обчислити добуток за формулою

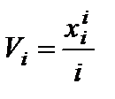
12. Сформувати послідовність чисел: , де i = 1,2,…,10., – послідовність чисел, яка вводиться.

13. Сформувати послідовність , де: , i = 1,2,…,10, а – деяке число.

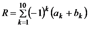
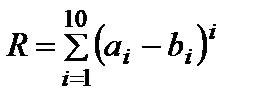
14. Обчислити величину , де ai і bi – послідовність чисел.

15. Обчислити величину , де ai і bi – послідовність чисел.

16. Обчислити величину .

17. Сформувати послідовність чисел , де i = 1,2,…,10, ai – послідовність чисел, яка вводиться.

18. Визначити факторіал заданого числа.

19. .

20. Сформувати послідовність: , де i = 1,2,…,10, Ai і Bi – послідовності чисел.

 

Завдання 4. Обчислення значення функції на вказаному відрізку з певним кроком

Функція Інтервал Крок Функція Інтервал Крок
1. [-5;5]   11. [-p;p]
2. [2;20]   12. [-5;5] 0,5
3. [-2;2] 0,4 13. [-5;5] 0,5
4. [0;2p] 0,314 14. [0;10]  
5. [-5;5] 0,5 15. [-10;10]  
6. [0;2p] 16. [-20;20] 2,5
7. [p;2p] 17. [p;2p]
8. [-10;10]   18. [0;10]  
9. [0;2p] 19. [-p;p]
10. [-5;5] 0,5 20. [-10;10]  

 

Завдання 5. Знаходження коренів квадратного рівняння

 

1. x2 + 2x – 3 = 0 11. x2 - 5x + 6 = 0
2. x2 + 2x + 5 = 0 12. x2 + 2x – 3 = 0
3. –2x2 + x + 4 = 0 13. x2 -2x + 3 = 0
4. x2 – 3x + 1 = 0 14. x2 – 3x + 2 = 0
5. x2 + x + 1 = 0 15. –3x2 + 4x + 5 = 0
6. –x2 – x + 2 = 0 16. 3x2 + 2x + 1 = 0
7. –3x2 + 6x + 7 = 0 17. x2 + 2x + 1 = 0
8. 2x2 + x – 1 = 0 18. x2 + 2x – 3 = 0
9. –x2 + x + 2 = 0 19. –5x2 + 2x - 1 = 0
10. –x2 + x + 3 = 0 20. 3x2 _ 2x + 1 = 0

5. Інформаційне та технічне забезпечення:

- конспект лекцій,

- методичні вказівки,

- ПК типу IBM PC,

- програма – аналог виконання комп’ютерного практикуму.




Поделиться с друзьями:


Дата добавления: 2014-11-29; Просмотров: 389; Нарушение авторских прав?; Мы поможем в написании вашей работы!


Нам важно ваше мнение! Был ли полезен опубликованный материал? Да | Нет



studopedia.su - Студопедия (2013 - 2025) год. Все материалы представленные на сайте исключительно с целью ознакомления читателями и не преследуют коммерческих целей или нарушение авторских прав! Последнее добавление




Генерация страницы за: 0.008 сек.