Студопедия

КАТЕГОРИИ:


Архитектура-(3434)Астрономия-(809)Биология-(7483)Биотехнологии-(1457)Военное дело-(14632)Высокие технологии-(1363)География-(913)Геология-(1438)Государство-(451)Демография-(1065)Дом-(47672)Журналистика и СМИ-(912)Изобретательство-(14524)Иностранные языки-(4268)Информатика-(17799)Искусство-(1338)История-(13644)Компьютеры-(11121)Косметика-(55)Кулинария-(373)Культура-(8427)Лингвистика-(374)Литература-(1642)Маркетинг-(23702)Математика-(16968)Машиностроение-(1700)Медицина-(12668)Менеджмент-(24684)Механика-(15423)Науковедение-(506)Образование-(11852)Охрана труда-(3308)Педагогика-(5571)Полиграфия-(1312)Политика-(7869)Право-(5454)Приборостроение-(1369)Программирование-(2801)Производство-(97182)Промышленность-(8706)Психология-(18388)Религия-(3217)Связь-(10668)Сельское хозяйство-(299)Социология-(6455)Спорт-(42831)Строительство-(4793)Торговля-(5050)Транспорт-(2929)Туризм-(1568)Физика-(3942)Философия-(17015)Финансы-(26596)Химия-(22929)Экология-(12095)Экономика-(9961)Электроника-(8441)Электротехника-(4623)Энергетика-(12629)Юриспруденция-(1492)Ядерная техника-(1748)

Побудова узагальненої експертної оцінки




Результати оцінювання, які представлені кожним із експертів, слід розглядати як реалізацію деякої випадкової величини із множини допустимих оцінок і застосовувати для їх узагальнення методи математичної статистики. Застосування статистичних методів забезпечує визначення найбільш узгодженої групової оцінки, ступеня узгодженості думок експертів, статистичної значущості результатів експертизи.

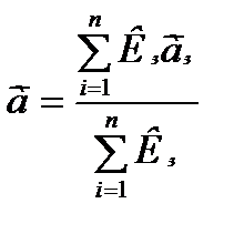
Якщо перед експертами поставлена задача числового оцінювання параметрів об’єкта (процесу) і експертиза проводиться експертами без зворотної інформації в один етап, то за остаточну групову (інтегральну) оцінку приймають середнє зважене значення отриманих оцінок від окремих експертів з урахуванням їх компетентності за такою формулою:

. (2.6)

У випадку, коли вагові коефіцієнти невідомі (або вважається, що усі експерти однаково компетентні), то вони набувають значень -1.

Значення дисперсії

(2.7)

слугує мірою узгодженості думок експертів.

Часто експертам пропонують навести три можливі оцінки поставленої проблеми:

• оптимістичну ;

• найбільш правдоподібну ;

• песимістичну .

Тоді узагальнена оцінка буде становити:

, (2.8)

а ступінь узгодженості експертів визначається згідно формули (2.9)

. (2.9)

У формулах (2.8), (2.9) середня оцінка -го експерта і дисперсія відповідно визначаються та такими формулами:

;

.

Вважаючи, що оцінки експертів розподілені нормально з центром і дисперсією , можна визначити довірчий інтервал групової оцінки:

, (2.10)

де значення вибирається з таблиць розподілу Стьюдента для вибраного рівня значущості і ступенів вільності.

Приклад 2.1. Дев’ять експертів оцінювали потенційні можливості ринку збуту нової продукції і представили такі результати (тис.грн.):

                 

 

Визначити групову експертну оцінку обсягу збуту продукції та довірчий інтервал, в який з ймовірністю (або ) потрапляє оцінка.

Так як вагові коефіцієнти (компетентність експертів) невідомі, то приймемо для всіх . З урахуванням (2.6) і (2.7) отримуємо:

(тис.грн.);

;

(тис.грн.).

З таблиць розподілу Стьюдента для ступенів вільності і знаходимо . Тоді на основі (2.10) маємо такий довірчий інтервал групової оцінки:

(тис.грн.).

Таким чином, очікуване значення обсягу реалізованої продукції становить 700 тис.грн., а оцінювана величина місткості ринку з ймовірністю знаходиться в інтервалі . ◄

У випадку числового оцінювання параметра з використанням методу Дельфі організатори експертизи розбивають інтервал можливих значень параметра на проміжків. Після цього кожному експерту пропонують оцінити ймовірність потрапляння оцінюваної величини у кожний із проміжків, в результаті чого формується матриця оцінок з елементами . Узагальнену оцінку ймовірності потрапляння значення оцінюваного параметра у кожен проміжок із урахуванням коефіцієнтів компетентності експертів розраховують за такою формулою:

, . (2.11)

Основною оцінкою побудованого ряду розподілу слугує медіана () – варіант, який ділить ряд на дві однакові за чисельністю частини. Водночас для повної характеристики ряду розраховують чверті (), які ділять ряд за сумою частот на чотири однакові частини. Експерти, які вказали оцінки, що виходять за межі діапазону чвертей , повинні представити письмове обґрунтування своїх оцінок. Письмові обґрунтування (без посилань на конкретних експертів), а також обчислені значення і доводяться до відома учасників експертизи перед початком наступного туру. Як правило, процедуру експертизи завершують, якщо діапазон чвертей зменшується приблизно в 1,6 рази порівняно з попереднім туром.

Важливою задачею, яка ефективно може бути вирішена за допомогою експертних методів, є ранжування (впорядкування) альтернатив за ступенем їх вагомості. Зміст такої задачі полягає у тому, щоб системі, яка складається із об’єктів, поставити у відповідність перестановку чисел від 1 до . Позначимо через - ранг, присвоєний -му об’єкту -им експертом.

Результати опитування експертів зручно представляти у табличній формі (табл.2.2). В -му рядку таблиці вказуються ранги, які надав -ий експерт об’єктам ранжування, - числа натурального ряду (кількість рангів відповідає кількості об’єктів ранжування). Якщо приймається припущення про можливість рівноцінності об’єктів, то таке ранжування називають нестрогим. Зокрема, у випадку, коли експерт вважає, що об’єктів є рівноцінними і хоче розмістити їх на місцях, починаючи з -го, то цим об’єктам присвоюється однаковий ранг, який дорівнює . В останньому - му рядку таблиці записують сумарний ранг -го об’єкта:

, . (2.12)

Таблиця 2.2

Представлення результатів ранжування

Об’єкти   Експерти       …  
 
 

 

Розміщення об’єктів у порядку зростання величин приймається як остаточне ранжування (на перше місце ставиться об’єкт з мінімальним ).

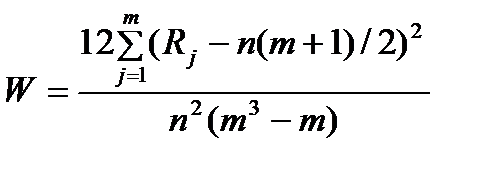
Мірою узгодженості висновків, зроблених експертами, є коефіцієнт конкордації, який у випадку строгого ранжування розраховується за такою формулою:

, (2.13)

де - відхилення сумарного рангу -го об’єкта від середньої суми рангів.

Коефіцієнт конкордації лежить у межах: . Відзначимо, що вищому рівню узгодженості відповідає більше значення , яке наближається до 1. Для перевірки істотності коефіцієнта конкордації використовують критерій з(m -1) ступенями вільності. Розрахункове значення критеріальної статистики порівнюють із табличним значенням для вибраного рівня ймовірності. Якщо розрахункове значення перевищує табличне, то узгодженість думок експертів підтверджується.

Приклад 2.2. Результати ранжування семи об’єктів п’ятьма експертами є такими:

Об’єкти   Експерти              
             
             
             
             
             
Разом              

 

Розрахувати коефіцієнт конкордації і зробити висновки.

Виконуємо проміжні обчислення і послідовно отримуємо:

;

;

.

-13 -8     -5    
             

 

На підставі значень , отримуємо таку послідовність об’єктів за пріоритетністю:

.

Обчислюємо коефіцієнт конкордації:

.

Розрахункове значення критеріальної статистики становить:

.

З таблиць розподілу для рівня значущості і ступенів вільності знаходимо . Так як розрахункове значення статистики більше за табличне, то отримане ранжування можемо вважати статистично значущим. ◄

У випадку нестрогого ранжування коефіцієнт конкордації обчислюють за такою формулою

, (2.14)

де - кількість груп рівних рангів, визначених -им експертом;

- кількість усереднених рангів у -ій групі рівних рангів, визначених -им експертом.

Приклад 2.3. Отримано такі результати ранжування семи типів холодильного обладнання п’ятьма експертами:

Тип обладнання     Експерти              
2,5 2,5   5,5     5,5
1.5       1,5    
      4,5 6,5 4,5 6,5
             
1,5       1,5    
7,5 14,5     14,5 25,5  
156,25 30,25     30,25 30,25  

 

Розрахувати коефіцієнт конкордації і зробити висновки.

Позначимо:

.

Перший експерт створив дві групи однакових рангів для першого і другого об’єктів та п’ятого і сьомого. Так як до кожної групи входить по два об’єкти, то і . Тому .

Другий експерт також створив дві групи однакових рангів (до першої входить два об’єкти – перший і п’ятий, а до другої входить три об’єкти – четвертий, шостий і сьомий). Отже,

.

Аналогічно знаходимо: ; ; .

Використовуємо співвідношення (2.14) і знаходимо коефіцієнт конкордації:

.

Обчислюємо розрахункове значення критеріальної статистики:

.

Так як , то результат експертного ранжування можна вважати статистично значущим. ◄

Обчислення коефіцієнта конкордації з допомогою співвідношень (2.13) і (2.14) передбачає однакову компетентність (вагу) експертів. Якщо ж компетентність експертів є різною, то вказані співвідношення потребують незначного уточнення.

Допустимо, що компетентність експертів оцінена додатними величинами , причому . Тоді сума рангів -го об’єкта , яка є складовою співвідношення для обчислення коефіцієнта конкордації, розраховується так:

. (2.15)

Процедура ранжування об’єктів на підставі одночасного розгляду декількох ознак часто викликає певні труднощі в експертів, що впливає на результат експертизи. У таких випадках ранжування проводять з допомогою методу парних порівнянь об’єктів.

Кожний експерт порівнює один об’єкт з іншим. У випадку нестрогого ранжування результати порівнянь -го експерта можуть представлятися матрицею розмірності , де - кількість об’єктів порівнянь, з елементами

На основі матриць формується матриця :

. (2.16)

За результат впорядкування приймають розміщення у порядку зростання сум елементів стовпців матриці , тобто елементів :

, . (2.17)

З метою більш глибокого ознайомлення з статистичними методами оброблення експертної інформації рекомендуємо читачеві скористатися [ ].

 




Поделиться с друзьями:


Дата добавления: 2014-11-29; Просмотров: 1464; Нарушение авторских прав?; Мы поможем в написании вашей работы!


Нам важно ваше мнение! Был ли полезен опубликованный материал? Да | Нет



studopedia.su - Студопедия (2013 - 2026) год. Все материалы представленные на сайте исключительно с целью ознакомления читателями и не преследуют коммерческих целей или нарушение авторских прав! Последнее добавление




Генерация страницы за: 0.008 сек.