Студопедия

КАТЕГОРИИ:


Архитектура-(3434)Астрономия-(809)Биология-(7483)Биотехнологии-(1457)Военное дело-(14632)Высокие технологии-(1363)География-(913)Геология-(1438)Государство-(451)Демография-(1065)Дом-(47672)Журналистика и СМИ-(912)Изобретательство-(14524)Иностранные языки-(4268)Информатика-(17799)Искусство-(1338)История-(13644)Компьютеры-(11121)Косметика-(55)Кулинария-(373)Культура-(8427)Лингвистика-(374)Литература-(1642)Маркетинг-(23702)Математика-(16968)Машиностроение-(1700)Медицина-(12668)Менеджмент-(24684)Механика-(15423)Науковедение-(506)Образование-(11852)Охрана труда-(3308)Педагогика-(5571)Полиграфия-(1312)Политика-(7869)Право-(5454)Приборостроение-(1369)Программирование-(2801)Производство-(97182)Промышленность-(8706)Психология-(18388)Религия-(3217)Связь-(10668)Сельское хозяйство-(299)Социология-(6455)Спорт-(42831)Строительство-(4793)Торговля-(5050)Транспорт-(2929)Туризм-(1568)Физика-(3942)Философия-(17015)Финансы-(26596)Химия-(22929)Экология-(12095)Экономика-(9961)Электроника-(8441)Электротехника-(4623)Энергетика-(12629)Юриспруденция-(1492)Ядерная техника-(1748)

Энтропия и информация для систем с непрерывным множеством состояний




 

До сих пор мы рассматривали физические системы, различные состояния которых x 1, х 2, …, x n можно было все перечислить; вероятности этих состояний были какие-то отличные от нуля величины p 1, р 2, …, p n. Такие системы аналогичны прерывным (дискретным) случайным величинам, принимающим значения x 1, х 2, …, x n с вероятностями p 1, р 2, …, p n. На практике часто встречаются физические системы другого типа, аналогичные непрерывным случайным величинам. Состояния таких систем нельзя перенумеровать: они непрерывно переходят одно в другое, причем каждое отдельное состояние имеет вероятность, равную нулю, а распределение вероятностей характеризуется некоторой плотностью. Такие системы, по аналогии с непрерывными случайными величинами, мы будем называть «непрерывными», в отличие от ранее рассмотренных, которые мы будем называть «дискретными». Наиболее простой пример непрерывной системы — это система, состояние которой описывается одной непрерывной случайной величиной X с плотностью распределения f(x). В более сложных случаях состояние системы описывается несколькими случайными величинами X1, X2,…, XS с плотностью распределения f(x1, x2,…, xS). Тогда ее можно рассматривать как объединение (X1, X2,…, XS) простых систем X1, X2,…, XS.

 
 

Рассмотрим простую систему X, определяемую одной непрерывной случайной величиной X с плотностью распределения f(x) (рис. 12.1). Попытаемся распространить на эту систему введенное понятие энтропии.

 

Прежде всего отметим, что понятие «непрерывной системы», как и понятие «непрерывной случайной величины», является некоторой идеализацией. Например, когда мы считаем величину X — рост наугад взятого человека — непрерывной случайной величиной, мы отвлекаемся от того, что фактически никто не измеряет рост точнее, чем до 1 см, и что различить между собой два значения роста, разнящиеся, скажем, на 1 мм, практически невозможно. Тем не менее данную случайную величину естественно описывать как непрерывную, хотя можно было бы описать ее и как дискретную, считая совпадающими те значения роста, которые различаются менее чем на 1 см.

 
 


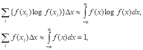
Точно таким образом, установив предел точности измерений, т.е. некоторый отрезок Dx, в пределах которого состояния системы X практически неразличимы, можно приближенно свести непрерывную систему X к дискретной. Это равносильно замене плавной кривой f(x) ступенчатой, типа гистограммы (рис. 12.2); при этом каждый участок (разряд) длины Dx заменяется одной точкой - представителем. Площади прямоугольников изображают вероятности попадания в соответствующие разряды: f(xi)Dx. Если условиться считать неразличимыми состояния системы, относящиеся к одному разряду, и объединить их все в одно состояние, то можно приближенно определить энтропию системы X, рассматриваемой с точностью до Dx:

(2.6.3)

При достаточно малом Dx:

и формула (2.6.3) принимает вид

(12.19)

Заметим, что в выражении (12.19) первый член получился совсем не зависящим от Dx — степени точности определения состояний системы. Зависит от Dx только второй член (- log Dx), который стремится к бесконечности при Dx ® 0. Это и естественно, так как чем точнее мы хотим задать состояние системы X, тем большую степень неопределенности мы должны устранить, и при неограниченном уменьшении Dx эта неопределенность растет тоже неограниченно.

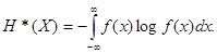
Итак, задаваясь произвольно малым «участком нечувствительности» Dx наших измерительных приборов, с помощью которых определяется состояние физической системы X, можно найти энтропию HDx(X) по формуле (12.19), в которой второй член неограниченно растёт с уменьшением Dx. Сама энтропия HDx(X) отличается от этого неограниченно растущего члена на независимую от Dx величину

 

 

Эту величину можно назвать «приведенной энтропией» непрерывной системы X. Энтропия HDx(X) выражается через приведенную энтропию Н*(Х) формулой

HDx(X) = H*(X) – log Dx. (12.20)

Соотношение (12.20) можно истолковать следующим образом: от точности измерения Dx зависит только начало отсчета, при котором вычисляется энтропия.

В дальнейшем для упрощения записи мы будем опускать индекс Dx в обозначении энтропии и писать просто H(X); наличие в правой части всегда укажет, о какой точности идет речь.

Формуле (12.20) для энтропии можно придать более компактный вид, если, как мы это делали для прерывных величин, записать ее в виде математического ожидания функции. Прежде всего, перепишем (12.20) в виде

Это есть не что иное, как математическое ожидание функции – log {f (X) Dx} от случайной величины X с плотностью

f (x):

H (X) = M[- log {f (X)Dx}]. (12.21)

Аналогичную форму можно придать величине H*(X):

H*(X) = M[- log f (X)].

Перейдем к определению условной энтропии. Пусть имеются две непрерывные системы: X и Y. В общем случае эти системы зависимы. Обозначим f(x,у) плотность распределения для состояний объединенной системы (X, Y); f1(x) — плотность распределения системы X; f2(y) — плотность распределения системы Y; f (y | x), f (x | y) — условные плотности распределения.

Прежде всего, определим частную условную энтропию H (Y | x) т.е. энтропию системы Y при условии, что система X приняла определенное состояние х. Формула для нее будет аналогична, только вместо условных вероятностей P (yi | xi) будут стоять условные законы распределения f (y | x) и появится слагаемое log Dy:

Перейдем теперь к полной (средней) условной энтропии H (Y | X); для этого нужно усреднить частную условную энтропию H (Y | x) по всем состояниям х с учетом их вероятностей, характеризуемых плотностью f1(x):

или, учитывая, что

f (x, y) = f1 (x) f (y | x),

Иначе эта формула может быть записана в виде

H (Y | X) = M[- log f (Y | X)] – log Dy

или

H (Y | X) = M[- log {f (Y | X)Dy}]. (12.22)

Определив таким образом условную энтропию, покажем, как она применяется при определении энтропии объединенной системы.

Найдем сначала энтропию объединенной системы непосредственно. Если «участками нечувствительности» для систем X и Y будут Dx и Dy, то для объединенной системы (X, Y) роль их будет играть элементарный прямоугольник DxDy. Энтропия системы (X, Y) будет

H (X, Y) = M[- log {f (X, Y)DxDy}]. (12.23)

Так как

f (x, y) = f1 (x) f (y | x),

то и

f (X, Y) = f1 (X) f (Y | X). (12.24)

Подставим (2.6.9) в (2.6.8):

H (X, Y) = M[- log f1 (X) – log f (Y | X) – log Dx – log Dy] =

= M[- log (f1 (X) Dx)] + M[- log (f (Y | X) Dy)],

или

H (X, Y) = H (X) + H (Y | X),

т.е. теорема об энтропии сложной системы остается в силе и для непрерывных систем.

Если X и Y независимы, то энтропия объединенной системы равна сумме энтропий составных частей:

H (X, Y) = H (X) + H (Y).

Таким образом, мы распространили понятие энтропии на случай непрерывных систем. Аналогично может быть распространено и понятие информации. При этом неопределенность, связанная с наличием в выражении энтропии неограниченно возрастающего слагаемого, отпадает: при вычислении информации как разности двух энтропий, эти члены взаимно уничтожаются. Поэтому все виды информации, связанные с непрерывными величинами, оказываются не зависящими от «участка нечувствительности» Dx.

Выражение для полной взаимной информации, содержащейся в двух непрерывных системах X и Y, будет аналогично выражению, но с заменой вероятностей законами распределения, а сумм — интегралами:

,

или, применяя знак математического ожидания,

Полная взаимная информация IY ® X, как и в случае дискретных систем, есть неотрицательная величина, обращающаяся в нуль только тогда, когда системы X и Y независимы.

 




Поделиться с друзьями:


Дата добавления: 2014-12-27; Просмотров: 1161; Нарушение авторских прав?; Мы поможем в написании вашей работы!


Нам важно ваше мнение! Был ли полезен опубликованный материал? Да | Нет



studopedia.su - Студопедия (2013 - 2025) год. Все материалы представленные на сайте исключительно с целью ознакомления читателями и не преследуют коммерческих целей или нарушение авторских прав! Последнее добавление




Генерация страницы за: 0.011 сек.