Студопедия

КАТЕГОРИИ:


Архитектура-(3434)Астрономия-(809)Биология-(7483)Биотехнологии-(1457)Военное дело-(14632)Высокие технологии-(1363)География-(913)Геология-(1438)Государство-(451)Демография-(1065)Дом-(47672)Журналистика и СМИ-(912)Изобретательство-(14524)Иностранные языки-(4268)Информатика-(17799)Искусство-(1338)История-(13644)Компьютеры-(11121)Косметика-(55)Кулинария-(373)Культура-(8427)Лингвистика-(374)Литература-(1642)Маркетинг-(23702)Математика-(16968)Машиностроение-(1700)Медицина-(12668)Менеджмент-(24684)Механика-(15423)Науковедение-(506)Образование-(11852)Охрана труда-(3308)Педагогика-(5571)Полиграфия-(1312)Политика-(7869)Право-(5454)Приборостроение-(1369)Программирование-(2801)Производство-(97182)Промышленность-(8706)Психология-(18388)Религия-(3217)Связь-(10668)Сельское хозяйство-(299)Социология-(6455)Спорт-(42831)Строительство-(4793)Торговля-(5050)Транспорт-(2929)Туризм-(1568)Физика-(3942)Философия-(17015)Финансы-(26596)Химия-(22929)Экология-(12095)Экономика-(9961)Электроника-(8441)Электротехника-(4623)Энергетика-(12629)Юриспруденция-(1492)Ядерная техника-(1748)

Подготовка прибора к работе и проведение измерений




Прибор включается в сеть кнопкой "СЕТЬ". Положение равновесия баллистического маятника устанавливается так, чтобы оно соответствовало нулю угловой шкалы.

 

Измерение периода колебаний баллистического маятника.

Подвижные грузы закрепите на расстоянии R1, предложенном преподавателем. Обнулите показания прибора нажатием кнопки "СБРОС", аккуратно отклоните баллистический маятник на заданный преподавателем угол от положения равновесия и отпустите. По достижении баллистическим маятником числа колебаний «девять» (9), нажмите кнопку "СТОП". В этом случае прекращается счет времени после десяти полных колебаний. Период колебаний равен времени, деленному на количество колебаний (N = 10). Т = t/N.

 

Измерение угловой амплитуды при абсолютно неупругом ударе пули о мишень с пластилином баллистического маятника.

Установите подвижные грузы в предлагаемое положение (по указанию преподавателя). Зарядите специальной пулей зарядное пружинное устройство так, чтобы после сжатия пружины оно фиксировалось и удерживалось. Баллистический маятник с пластилиновой мишенью должен находиться в спокойном состоянии, соответствующем нулевому положению угловой шкалы. Нажав на затвор стреляющего устройства, зарегистрируйте максимальный угол, на который отклонился баллистический маятник.

После выстрела пуля должна застрять и оставаться в пластилиновой мишени. Такой опыт считается удачным. В случае, если пуля отскочила, установку необходимо привести в исходное состояние и опыт повторить.

 

Баллистическая идея измерения скорости пули заключается в том, что за время соударения пули с маятником угловая скорость баллистического маятника изменяется достаточно заметно, а его угловое перемещение незначительно и им можно пренебречь. Естественно, что это условие выполняется в том случае, если масса маятника намного больше массы пули.

Скорость пули определяется по измерению максимального угла отклонения маятника после неупругого соударения с пулей. Процесс неупругого соударения пули с маятником описывается на основе закона сохранения момента импульса (в этом процессе механическая энергия не сохраняется!), а процесс последующего движения может быть описан с помощью закона сохранения механической энергии.

Однако любая теоретическая модель является лишь приближенным описанием физической ситуации, так как пренебрегает влиянием многих эффектов, имеющих место в эксперименте. Но если пренебрежения реальными эффектами в теоретической модели не изменяют конечного результата больше чем на 1/20 от его реального значения, то такая теоретическая модель в лабораторном физическом практикуме является вполне приемлемой и позволяет определить искомую физическую величину.

В нашем случае мы пренебрегаем незначительным смещением центра масс маятника после соударения с пулей, упругими колебаниями, которые при этом возникают и, соответственно, перераспределением механической энергии между крутильными и упругими колебаниями. Также считаем крутильные колебания незатухающими, пренебрегая сопротивлением воздуха и диссипацией энергии неупругих колебаний в местах подвеса упругой проволоки и т. п. Тем не менее, предложенная теоретическая модель позволяет получить вполне хорошие результаты.

 

Задание 1. Определение момента инерции баллистического маятника (Iо) и коэффициента упругих сил кручения (C).

 

1. Установите подвижные грузы массой М на одинаковом расстоянии d1 от оси вращения. Отклонив баллистический маятник на угол φ ~ 20°, измерьте период колебаний Т1 . Повторите опыт 3 раза и вычислите среднее значение T1.

2. Установите положение подвижных грузов массой М на расстоянии d2 и повторите опыт (см. задание 1). Лучше, если значения d1 и d2 отличаются как можно больше.

3. Из системы уравнений 1) и 2), подставив численные значения Т1, Т2, d1, d2, найдите Iо и С.

(1)

(2)

 

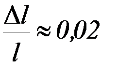
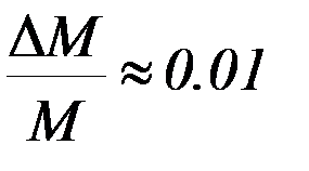
4. Рассчитайте относительную погрешность определения момента инерции и коэффициента упругих сил кручения ,

В силу сложности математического выражения для определения данной погрешности, можно воспользоваться упрощённым вариантом расчёта. Для этого относительные погрешности прямым образом определяемых величин (M, d, T) принять равными: ; . (В данной работе период рассматриваем как прямым образом измеренную величину). Относительная погрешность измерений в данной установке периода: , и ею можно пренебречь. Рассчитать относительную погрешность определениямомента инерции и коэффициента упругих сил кручения как сумму относительных погрешностей прямым образом определяемых величин.

 

Задание 2. Определение скорости пули (Vп) и угловой скорости вращения (W).

1. Зарядите стреляющее устройство и, установив подвижные грузы (М) на одинаковом расстоянии d3, произведите выстрел, измерив при этом максимальное отклонение баллистического маятника φ max и расстояние от оси вращения до центра масс пули .

2. Закон сохранения момента импульса даёт:

(3)

где Vп – скорость пули, – угловая скорость системы после удара.

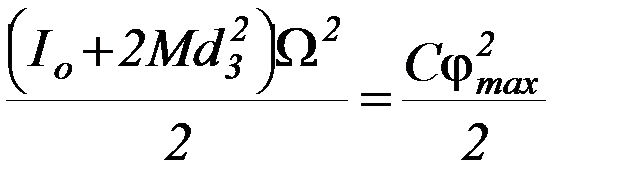
Закон сохранения механической энергии:

(4)

Из системы уравнений 3) и 4) найдите W и Vп. Угол φ max при этом нужно подставить в радианах:

,

где φо – угол в градусах.

Рассчитайте относительные погрешности скорости пули и угловой скорости вращения

Относительные погрешности прямым образом определяемых величин (m, φm, ) принять равными: ; ; . Рассчитайте относительную погрешность скорости пули и угловой скорости вращения как сумму относительных погрешностей прямым образом определяемых величин.

 

Приложение. Определение скорости пули баллистическим маятником (теоретический материал)

При попадании пули в мишень с пластилином, баллистический маятник приобретает угловую скорость и выходит из положения равновесия, совершая колебания вокруг своей оси. При этом считается, что скорость пули в момент соударения перпендикулярна оси и плечу маятника. Если это условие не соблюдается, то кроме вращательных, будут также возбуждаться и колебательные степени свободы маятника, т. е. ось маятника начнет совершать колебания.

Так как скорость пули перпендикулярна плоскости мишени, то момент импульса пули равен:

,

где – расстояние от оси вращения маятника до точки удара пули; m – масса пули; Vп – скорость пули.

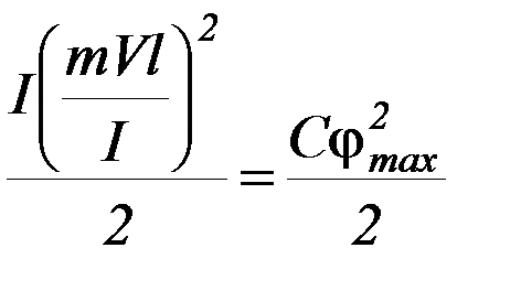
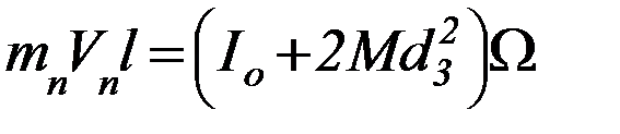
Момент импульса системы после соударения определяется выражением:

L = IW,

где I – момент инерции системы после удара пули, равный: I = Io + 2M + ml2;

W – угловая скорость системы после удара.

Удар можно считать абсолютно неупругим, так как при соударении с мишенью пуля застревает в пластилине. В этом случае закон сохранения момента импульса примет вид:

(П-1)

Таким образом, после соударения баллистический маятник приобретает угловую скорость W. При движении маятника на него будет действовать момент сил, вызванный деформацией кручения стальной проволоки подвеса маятника, который равен:

,

где С – постоянная упругих сил кручения проволоки;

φ – угол отклонения маятника от положения равновесия.

Знак «минус» указывает, что при φ > 0, М < 0. Поэтому в момент соударения угловая скорость будет максимальной, а в дальнейшем она будет уменьшаться до нуля.

При дальнейшем движении, если не учитывать сопротивление воздуха, выполняется закон сохранения механической энергии. В момент максимального отклонения угловая скорость равна нулю, а потенциальная энергия максимальна и равна

Таким образом, закон сохранения энергии мы можем записать в виде:

, (П-2)

где φ max – максимальный угол поворота маятника.

Используя законы сохранения момента импульса (П-1) и энергии (П-2),
получаем:

отсюда:

 

Т. е. скорость пули до столкновения с баллистическим маятником будет определяться выражением:

(П-3)

Контрольные вопросы:

1. Дайте определение момента импульса. Как эта величина используется в лабораторной работе?

2. В чем заключается баллистический принцип?

3. Какие законы сохранения использовались в данной работе?

4. Дайте определение момента инерции.

5. Сформулируйте теорему Штейнера-Гюйгенса.

6. Как определить момент инерции баллистического маятника?

7. Как изменяется угол отклонения баллистического маятника при соударении с пулей и период его колебаний, если увеличить его момент инерции?

8. Что произойдет, если пуля попадет под углом к перпендикуляру плоскости мишени?

9. Получите формулу для определения скорости пули, если баллистический маятник после неупругого удара отклонится на максимальный угол φ.




Поделиться с друзьями:


Дата добавления: 2014-12-27; Просмотров: 764; Нарушение авторских прав?; Мы поможем в написании вашей работы!


Нам важно ваше мнение! Был ли полезен опубликованный материал? Да | Нет



studopedia.su - Студопедия (2013 - 2025) год. Все материалы представленные на сайте исключительно с целью ознакомления читателями и не преследуют коммерческих целей или нарушение авторских прав! Последнее добавление




Генерация страницы за: 0.009 сек.