Студопедия

КАТЕГОРИИ:


Архитектура-(3434)Астрономия-(809)Биология-(7483)Биотехнологии-(1457)Военное дело-(14632)Высокие технологии-(1363)География-(913)Геология-(1438)Государство-(451)Демография-(1065)Дом-(47672)Журналистика и СМИ-(912)Изобретательство-(14524)Иностранные языки-(4268)Информатика-(17799)Искусство-(1338)История-(13644)Компьютеры-(11121)Косметика-(55)Кулинария-(373)Культура-(8427)Лингвистика-(374)Литература-(1642)Маркетинг-(23702)Математика-(16968)Машиностроение-(1700)Медицина-(12668)Менеджмент-(24684)Механика-(15423)Науковедение-(506)Образование-(11852)Охрана труда-(3308)Педагогика-(5571)Полиграфия-(1312)Политика-(7869)Право-(5454)Приборостроение-(1369)Программирование-(2801)Производство-(97182)Промышленность-(8706)Психология-(18388)Религия-(3217)Связь-(10668)Сельское хозяйство-(299)Социология-(6455)Спорт-(42831)Строительство-(4793)Торговля-(5050)Транспорт-(2929)Туризм-(1568)Физика-(3942)Философия-(17015)Финансы-(26596)Химия-(22929)Экология-(12095)Экономика-(9961)Электроника-(8441)Электротехника-(4623)Энергетика-(12629)Юриспруденция-(1492)Ядерная техника-(1748)

Подготовка прибора к работе и проведение измерений




ИЗУЧЕНИЕ УПРУГОГО УДАРА ШАРОВ

Лабораторная работа М 3

 

Цель работы:

– найти зависимость времени соударения шаров от скорости;

– найти зависимость силы удара от скорости.

 

Приборы и принадлежности:

– набор шаров;

– установка для исследования удара шаров.

 

Описание установки:

 
 
 

Рисунок 1 – Общий вид установки

 

Установка состоит из:

1) двух стальных шаров равного диаметра, подвешенных на нитях равной длины;

2) микросекундомера;

3) угловой шкалы.

Прибор включается кнопкой "СЕТЬ". Так как в данной работе рассматривается прямой удар двух шаров, являющихся в силу их однородности центральным, проверить симметричность расположения шаров друг относительно друга по высоте и горизонтали. Отрегулировать, если требуется, длину нитей, убедиться в их параллельности.

– Отклоните правый шар от положения равновесия на угол "α", указанный преподавателем. Нажмите кнопку «СБРОС». Магнит зафиксирует шар в указанном положении.

– Нажмите кнопку «ПУСК». Происходит удар, и второй шар начинает движение с той скоростью, которую имел первый в начальный момент удара.

– Запишите время соударения шаров, указанное на микросекундомере. Опыт повторите 3 раза и время усредните.

Установка позволяет проводить прямые измерения следующих величин:

– угла отклонения шара от положения равновесия до и после упругого удара;

– время соударения шаров.

 

Задание 1. Построить график зависимости времени соударения шаров от скорости налетающего шара.

1. Согласно методике, описанной выше, измерьте время соударения шаров для различных значений угла α (от 8 до 10 значений).

2. Зная угол отклонения нити перед ударом "α" рассчитать скорость шара непосредственно перед соударением по формуле (1) (см. Приложение):

 

(1)

 

3. Рассчитайте погрешность определения скорости по формуле:

 

 

Погрешности прямым образом измеряемых величин принять равными:

= 1 мм; = 0,5о.

4. Занесите данные в таблицу и постройте график зависимости .

 

Таблица

 

№ п/п α, град t1, мк t2, мкс t3, мкс tср, мкс V, м/с ∆V, м/с
1. – «– – «– – «– – «– – «– – «– – «–
2. – «– – «– – «– – «– – «– – «– – «–

 

t, с

 

V, м/с

 

Задание 2. Установить зависимость средней силы удара от скорости.

1. По формуле (2) рассчитать силу удара áFñi для каждого из полученных значений скорости Vi и времени удара tсрi из первого задания.

 

, (2)

 

где tсрi – время соударения шаров из табл. 1; Vi – скорость шара из таблицы 1.

 

2. Рассчитайте погрешность определения силы по формуле расчёта погрешности косвенного измерения:

 

 

Погрешности прямым образом измеряемых величин принять равными:

∆m = 0,5 г; ∆t ≈ 0.

Значение ∆V взять из предыдущего задания, усреднив полученные значения ∆Vi.

3. Постройте график зависимости силы удара от скорости áFñ = f(V).

 

Приложение. Абсолютно упругий удар.

При абсолютно упругом ударе выполняются законы сохранения импульса и механической энергии (E = const). Опыт показывает, что время удара очень мало, поэтому перемещением соударяющихся тел за это время можно пренебречь. Поэтому потенциальная энергия этих тел во внешнем силовом поле за время удара не изменяется, и суммарная кинетическая энергия тел до и после удара одинакова. В данной работе рассматривается прямой удар двух шаров, являющихся в силу их однородности центральным.

Рассмотрим процесс соударения. При сближении шаров, начиная с момента их первоначального соприкосновения, возрастают силы деформации, соответственно, возрастают и упругие силы, препятствующие деформациям. Скорости тел при этом изменяются, пока не станут равными. В этот момент деформации максимальны, максимальны и упругие силы взаимодействия. В системе отсчёта, где центр масс шаров покоится, полная кинетическая энергия шаров равна нулю, т. е. кинетическая энергия, которой обладали шары до соударения, полностью переходит в потенциальную энергию упругих деформаций шаров. Затем силы деформации расталкивают шары до тех пор, пока они не разойдутся. При этом потенциальная энергия деформаций шаров переходит обратно в их кинетическую энергию, шары восстанавливают свою форму и оказываются недеформированными. Реально процесс удара намного сложнее, так как при соударении в шарах возбуждаются упругие волны, распространяющиеся в шарах и после удара, поэтому кинетическая энергия шаров после удара меньше, чем до удара, на величину энергии этих волн. Ввиду малости энергии волн, как показывают расчёты, учитывать её не будем.

Запишем закон сохранения механической энергии для абсолютно упругого, прямого, центрального удара двух шаров:

(П-1)

 

h = (1 - cosα) , тогда

(П-2)

 

При установлении связи между скоростью V и кинетической энергией (Wк) следует иметь в виду следующее. Движение шара является наложением поступательного движения по окружности и вращения вокруг оси, перпендикулярной плоскости движения и проходящей через центр шара с угловой скоростью ω. В этом случае кинетическая энергия складывается из энергии поступательного движения и энергии вращательного движения , где Io – момент инерции шара относительно оси, проходящей через его центр. Расчёт, однако, показывает, что неучёт энергии вращения даёт ошибку, не превышающую 1%, поэтому формула (П-1) достаточно верна.

Закон сохранения импульса для абсолютно упругого удара:

 

 

В нашем случае V2 = 0; m1 = m2 = m.

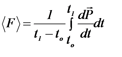
Найдём среднюю по времени силу, действующую на один из шаров.

По определению средняя сила равна:

 

,

 

где to – момент начала соударения;

t1 – момент времени конца соударения;

– мгновенная сила взаимодействия шаров.

Согласно второму закону Ньютона:

 

, тогда ,

откуда

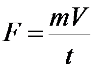
,

 

здесь – импульс шара до удара; – импульс шара после удара; – время соударения. Тогда модуль средней силы равен:

 

 

Если шары одинаковы и один из них до удара покоился, то можно показать, что налетающий шар после удара останавливается, а ранее покоящийся начинает движение с той скоростью, какую имел налетающий шар в момент начала удара. В этом случае для первоначально покоящегося шара имеем:

P0 = 0, P1 = mV, где m – масса шара. Тогда

 

(П-3)

 

 

Контрольные вопросы

1. Опишите упругий удар с точки зрения закона сохранения и превращения энергии.

2. Законы сохранения импульса и энергии требуют, чтобы налетающий шар остановился, а отскочивший имел ту же скорость, что и налетающий шар. Так ли это? Почему?

3. Почему шары подвешиваются так, что они должны соприкасаться и нити подвесов должны быть параллельны?

4. Могут ли скорости шаров после прямого центрального абсолютно упругого удара стать равными между собой?

5. Найти максимальную энергию упругой деформации шаров в данном случае.

6. Если шары имеют разные радиусы, но сделаны из одного и того же материала, то как зависит время соударения от большего радиуса.

7. Запишите законы сохранения для косого удара гладких шаров.

 





Поделиться с друзьями:


Дата добавления: 2014-12-27; Просмотров: 1470; Нарушение авторских прав?; Мы поможем в написании вашей работы!


Нам важно ваше мнение! Был ли полезен опубликованный материал? Да | Нет



studopedia.su - Студопедия (2013 - 2025) год. Все материалы представленные на сайте исключительно с целью ознакомления читателями и не преследуют коммерческих целей или нарушение авторских прав! Последнее добавление




Генерация страницы за: 0.01 сек.