Студопедия

КАТЕГОРИИ:


Архитектура-(3434)Астрономия-(809)Биология-(7483)Биотехнологии-(1457)Военное дело-(14632)Высокие технологии-(1363)География-(913)Геология-(1438)Государство-(451)Демография-(1065)Дом-(47672)Журналистика и СМИ-(912)Изобретательство-(14524)Иностранные языки-(4268)Информатика-(17799)Искусство-(1338)История-(13644)Компьютеры-(11121)Косметика-(55)Кулинария-(373)Культура-(8427)Лингвистика-(374)Литература-(1642)Маркетинг-(23702)Математика-(16968)Машиностроение-(1700)Медицина-(12668)Менеджмент-(24684)Механика-(15423)Науковедение-(506)Образование-(11852)Охрана труда-(3308)Педагогика-(5571)Полиграфия-(1312)Политика-(7869)Право-(5454)Приборостроение-(1369)Программирование-(2801)Производство-(97182)Промышленность-(8706)Психология-(18388)Религия-(3217)Связь-(10668)Сельское хозяйство-(299)Социология-(6455)Спорт-(42831)Строительство-(4793)Торговля-(5050)Транспорт-(2929)Туризм-(1568)Физика-(3942)Философия-(17015)Финансы-(26596)Химия-(22929)Экология-(12095)Экономика-(9961)Электроника-(8441)Электротехника-(4623)Энергетика-(12629)Юриспруденция-(1492)Ядерная техника-(1748)

Типового автоматического радиокомпаса




Типового автоматического радиокомпаса

Типового автоматического радиокомпаса

 

 

Рисунок 3.2 – Функциональная диагностическая модель

 

 

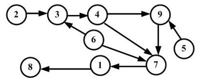
Рисунок 3.3 – Ориентированный граф функциональной диагностической модели типового автоматического радиокомпаса

 

Рисунок 3.4 – Матрица состояний, построенная по ориентированному графу функциональной диагностической модели для

 

Для каждой строки Ui вычисляется функция предпочтения:

W 2 i = | ab |, (3.1)

где а – число единиц в строке; b – число нулей в строке.

В качестве первой проверки выбирается та, для которой функция предпочтения W 2 i → 0, т.е. имеет наименьшую величину.

Далее проверки идут по двум почти равноинформативным ветвям. Для результата Ui (W 2 i min) = 1 строим новую матрицу, в которую попадают состояния Sij, соответствующие единице; для этой матрицы также следует вычисление функции предпочтения. Процедура повторяется до получения однозначного ответа по каждому узлу.

Для результата проверки Ui (W 2 i min) = 0 также строится соответствующая матрица, в которой принимают участие состояния Sij с результатом проверки, равным 0. Для всех строк этой матрицы также вычисляются функции предпочтения, по вышеприведенной формуле и следующая проверка выбирается по W 2 i min, т.е. процедура повторяется вновь. Для получения более детальной информации необходимо все перечисленные операции проделать с каждым блоком. При построении алгоритма поиска места отказа, это позволит локализовать место отказа с точностью до функционального узла или даже элемента. По окончании построения алгоритма ПМО составляется структурная схема этого алгоритма.

Структурная схема алгоритма поиска места отказа для типового автоматического радиокомпаса изображена на рисунке 3.5.

Рисунок 3.5 – Структурная схема алгоритма поиска места отказа




Поделиться с друзьями:


Дата добавления: 2014-12-27; Просмотров: 631; Нарушение авторских прав?; Мы поможем в написании вашей работы!


Нам важно ваше мнение! Был ли полезен опубликованный материал? Да | Нет



studopedia.su - Студопедия (2013 - 2025) год. Все материалы представленные на сайте исключительно с целью ознакомления читателями и не преследуют коммерческих целей или нарушение авторских прав! Последнее добавление




Генерация страницы за: 0.012 сек.