Студопедия

КАТЕГОРИИ:


Архитектура-(3434)Астрономия-(809)Биология-(7483)Биотехнологии-(1457)Военное дело-(14632)Высокие технологии-(1363)География-(913)Геология-(1438)Государство-(451)Демография-(1065)Дом-(47672)Журналистика и СМИ-(912)Изобретательство-(14524)Иностранные языки-(4268)Информатика-(17799)Искусство-(1338)История-(13644)Компьютеры-(11121)Косметика-(55)Кулинария-(373)Культура-(8427)Лингвистика-(374)Литература-(1642)Маркетинг-(23702)Математика-(16968)Машиностроение-(1700)Медицина-(12668)Менеджмент-(24684)Механика-(15423)Науковедение-(506)Образование-(11852)Охрана труда-(3308)Педагогика-(5571)Полиграфия-(1312)Политика-(7869)Право-(5454)Приборостроение-(1369)Программирование-(2801)Производство-(97182)Промышленность-(8706)Психология-(18388)Религия-(3217)Связь-(10668)Сельское хозяйство-(299)Социология-(6455)Спорт-(42831)Строительство-(4793)Торговля-(5050)Транспорт-(2929)Туризм-(1568)Физика-(3942)Философия-(17015)Финансы-(26596)Химия-(22929)Экология-(12095)Экономика-(9961)Электроника-(8441)Электротехника-(4623)Энергетика-(12629)Юриспруденция-(1492)Ядерная техника-(1748)

Карта групповой дифференциации




N

C

N

В

M

Социометрическая карточка

Шаг 2. Обработка результатов

Для анализа ответов на первый вопрос строят социомет-рическую матрицу, отражающую картину межличностных отношений и партнерства в группе.

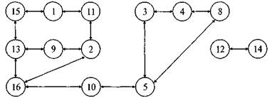
Микрогруппы определяются по матрице исходя из количе­ства взаимных выборов. При этом считается несуществен­ным то, каким по порядку был этот выбор: первым, вторым или третьим. В микрогруппу входят члены группы, взаимно выбравшие друг друга. Окончательный результат можно изобразить в виде схемы, представленной на рисунке ниже.

 

Схема группы по данным социометрического исследования

 

Определение неофициального лидера производится при помощи ответов на вопрос, стоящий в социометрической карточке вторым, простым подсчетом количества получен­ных выборов для каждого члена группы. Дополнительным фактором является степень предпочтительности выбора, т.е. в какую очередь его выбирают: в первую, вторую или третью.

Определение социометрического статуса членов группы (St) (табл.) производится на основании оценок, полученных в результате ответов на третий вопрос, при помощи формулы:

St = ---------- (1)

2(n – 1)

где ∑m — сумма оценок, полученных одним членом группы; n — число членов группы.

 

№   Кто выбирает   Кого выбирают   Кол-во взаимных выборов  
                                 
  Алексеева   Х                                                
  Берлина     Х                              
j   Викторов         Х                                    
  Егоров           Х                                            
  Елисеев               Х                                  
  Иванов                   Х                                  
  Кнуров                   Х                                  
  Николаев                       Х                                
  Палкина                             Х                
  Петров                         Х              
  Пинаева                                   Х                  
  Романов                                     Х          
  Сергеева                                         Х          
  Сидоров                                         Х        
  Турова                                                 Х      
  Шамов                                                   Х  
Кол-во выборов                           4 1 1 2 1 3          
Сумма выборов                                  
                                       

 

Групповой коэффициент взаимности (Кв) определяется по данным матрицы взаимных выборов при помощи фор­мулы

Кв= ------------, (2)

3(n – 1)

где Kв —число взаимных выборов в группе; n — число членов группы.

Групповой коэффициент коммуникативности (Кк) опре­деляется по матрице взаимных выборов при помощи фор­мулы

nк

Кк= -----, (3)

где nк — число членов группы, вошедших в микрогруппы; n — число членов группы.

Удельный вес изолированных (Ки) определяется по матрице взаимных выборов при помощи формулы

nu

Ки = ------, (4)
n

где nu — число изолированных, т.е. членов группы, не полу­чивших ни одного выбора; n — число членов группы.

Коэффициент самооценки группы (Кс) рассчитывается как средний показатель уровня удовлетворенности группой всех ее членов. Определяется по ответам на четвертый вопрос и рассчитывается по формуле:

 

Kc = ------- (5)

где ∑с — сумма оценок удовлетворевдщвти группой всех ее членов; n — число членов группы.

№   Кто оценивает   Кого оценивают   Сумма баллов   Социомет-рический статус  
                                       
  Алексеева                                                                          
  Берлина                                                                          
  Викторов                                                                          
  Егоров                                                                          
  Елисеев                                                                          
  Иванов                                                                          
  Кнуров                                                                          
  Николаев                                                                          
  Палкина                                                                          
  Петров                                                                          
  Пинаева                                                                          
  Романов                                                                          
  Сергеева                                                                          
  Сидоров                                                                          
  Турова                                                                          
  Шамов                                                                          

Суммарный коэффициент благоприятности психологиче­ского климата (Кбпк) рассчитывается как среднее значение между коэффициентами Кв и Кк

Кв+Кк
Кбпк =----------, (6)

где Кв — групповой коэффициент взаимности, вычисляе­мый по формуле (2);

Кк — групповой коэффициент коммуникативности, вы­числяемый по формуле (3).

Шаг 3. Интерпретация результатов

Микрогруппы. Наличие микрогрупп, как и количество в них членов, не говорит однозначно о положении дел в груп­пе. Однако если микрогруппы велики, то следует особое внимание обратить на лидеров этих образований, на их со­циальную роль. Идеальный вариант — абсолютно взаимный выбор. Существование микрогруппы свидетельствует о кон­тактной сплоченности: чем больше взаимных выборов, тем больше сплоченность группы.

Лидер. Это личность, за которой все остальные члены группы признают право брать на себя ответственные реше­ния, затрагивающие их интересы и определяющие направле­ния и характер деятельности всей группы. Таким образом, будучи наиболее авторитетной личностью, лидер реально иг­рает центральную роль в организации совместной деятель­ности и регулировании взаимоотношений в группе. Едва ли не важнейшая характеристика лидера связана с предпочте­ниями, которые он получает от членов группы, выделяющих его среди всех по каким-либо признакам. Что же лежит в основе этого выбора? Экспериментально доказано, что здесь все зависит от уровня развития группы. Чем выше группа по уровню развития, чем в большей степени межличностные отношения в ней опосредованы содержанием и ценностями совместной деятельности, тем более вероятно, что появле­ние лидера в группе происходит как реализация именно этих отношений. По существу, лидер — это наиболее референтное для группы лицо в плане совместной деятельности, оказыва­ющее влияние на эффективность ее деятельности.

Неправильно отождествлять понятия «лидер» и «руково­дитель». Между ними определены следующие различия:

    Руководитель   Лидер  
  Назначается официально   Выбирается спонтанно, в резуль­тате межличностных отношений  
  Имеет определенные права и пол­номочия   Не обладает системой санкций, используя которые он мог бы воз­действовать на членов группы  
  Представляет свою группу во внешней организации и решает вопросы, связанные с ее отноше­ниями с другими группами   Ограничен в сфере своей деятель­ности рамками внутригрупповых отношений  
  Несет ответственность за состоя­ние дел в группе, за результаты ее деятельности   Не несет персональной ответствен­ности за состояние дел в группе  

Социометрический статус. Указывает положение челове­ка в системе межличностных отношений и отражает степень его признания членами группы, меру личного предпочте­ния, определяемую числом выборов, полученных от других. Высокий статус (более 0,55) является благоприятным факто­ром развития личности, поскольку он предоставляет поло­жительные психологические условия: положительную оцен­ку окружающих, которая, в свою очередь, положительно влияет на самооценку; интенсивность личных контактов и т. д. Низкий статус (менее 0,3) тормозит или делает проти­воречивым развитие личности: повышается тревожность, складывается неадекватная самооценка, постепенно форми­руется отчужденный стиль отношений с окружающими.

Если в группе преобладают высокие статусы, можно предположить, что большинство членов группы имеют бла­гоприятные условия для развития личности, положительное социальное самочувствие. Если же в группе преобладают низкие статусы — это говорит о неблагополучном социаль­ном самочувствии большинства ее членов, которые лишены преимуществ активного общения.

Коммуникативность. Этот термин в данном случае используется для характеристики структуры деловых и меж­личностных взаимосвязей (например, структуры внутри-группового общения).

Коммуникативность включает в себя обмен представле­ниями, интересами, настроениями, чувствами в ходе сов­местной деятельности членов в группе. Чем ближе величина показателя коммуникативности к 1, тем лучше может быть охарактеризована группа. Если он меньше или равен 0,2, то можно предположить возможность коммуникативного барьера как следствие противоречивых отношений между членами группы, социальных, нравственных и других инди­видуальных противоречий.

Психологический климат. Это социально-психологиче­ское понятие эмоционально-оценочного и социально-оце­ночного плана, характеризующее психологические явления в группе.

Психологический климат — относительно устойчивый эмоциональный настрой, преобладающий в группе, в кото­ром отражаются настроения людей, их душевные волнения и переживания, отношение друг к другу, к работе и к окружаю­щим событиям. Он может быть благоприятным и неблаго­приятным, здоровым и нездоровым. Если коэффициент бла­гоприятности психологического климата больше 0,65, то можно говорить о преобладании атмосферы взаимного вни­мания, уважения, духа товарищества, высокой внутренней дисциплины, принципиальности и ответственности, требо­вательности к себе и другим.

Задание 2. Методика выявления интерперсональных отношений

Тест создан Т. Лири, Г. Лефоржем, Р. Сазеком в 1954 г. и предназначен для оценки устойчивых психологических свойств, определяющих социальное поведение человека, а так же для изучения взаимоотношений в малых группах.

При исследовании межличностных отношений в данном тесте выделяются два фактора: доминирование-подчинение и дружелюбие-агрессивность.

Шаг 1. Инструкция.

Вам предлагается список характеристик. Следует внимательно прочесть каждую и решить, соответствует ли она Вашему представлению о себе. Если соответствует, то пометьте ее крестиком или напишите против нее «ДА». Если не соответствует - ничего не пишите. Старайтесь быть искренними. Если нет полной уверенности, знак «+» не ставьте.




Поделиться с друзьями:


Дата добавления: 2014-12-27; Просмотров: 1376; Нарушение авторских прав?; Мы поможем в написании вашей работы!


Нам важно ваше мнение! Был ли полезен опубликованный материал? Да | Нет



studopedia.su - Студопедия (2013 - 2026) год. Все материалы представленные на сайте исключительно с целью ознакомления читателями и не преследуют коммерческих целей или нарушение авторских прав! Последнее добавление




Генерация страницы за: 0.012 сек.