Студопедия

КАТЕГОРИИ:


Архитектура-(3434)Астрономия-(809)Биология-(7483)Биотехнологии-(1457)Военное дело-(14632)Высокие технологии-(1363)География-(913)Геология-(1438)Государство-(451)Демография-(1065)Дом-(47672)Журналистика и СМИ-(912)Изобретательство-(14524)Иностранные языки-(4268)Информатика-(17799)Искусство-(1338)История-(13644)Компьютеры-(11121)Косметика-(55)Кулинария-(373)Культура-(8427)Лингвистика-(374)Литература-(1642)Маркетинг-(23702)Математика-(16968)Машиностроение-(1700)Медицина-(12668)Менеджмент-(24684)Механика-(15423)Науковедение-(506)Образование-(11852)Охрана труда-(3308)Педагогика-(5571)Полиграфия-(1312)Политика-(7869)Право-(5454)Приборостроение-(1369)Программирование-(2801)Производство-(97182)Промышленность-(8706)Психология-(18388)Религия-(3217)Связь-(10668)Сельское хозяйство-(299)Социология-(6455)Спорт-(42831)Строительство-(4793)Торговля-(5050)Транспорт-(2929)Туризм-(1568)Физика-(3942)Философия-(17015)Финансы-(26596)Химия-(22929)Экология-(12095)Экономика-(9961)Электроника-(8441)Электротехника-(4623)Энергетика-(12629)Юриспруденция-(1492)Ядерная техника-(1748)

Адрондар. 2 страница




62. Зарядталған ауыр бөлшектердің затпен әсерлесуі. Меншікті иондау шығыны.

Ауыр бөлшектердің затпен әсерлесуінің негізгі механизмі мынадай. Бөлшек, зат арқылы өтіп бара жатып, атомның электрондарын өзінің кулондық өрісімен итеріп, оларды қозғалтады. Осының әсерінен бөлшектердің энергиясы кемиді, ал атом иә ионданады, иә қозады. Энергиясы әбден біткен бөлшек тоқтайды. Кулондық күштердің ұзын қашықтықтығынан бөлшектер өтіп бара жатып өте көп электрондармен әсерлеседі. Жеке электронмен әсерлесу кезінде массасы ұлкен (электронмен салыстырғанда) өтіп бара жатқан бөлшектің импульсы, яғни, бағыты өзгермейді дерлік. Және өте көп электрондармен бейберекет соқтығысуларда болатын бағыттың өзгерістері өзара теңгеріледі. Сондықтан ауыр бөлшектің заттағы траекториясы түзу сызық болады. Ауыр бөлшектердің зат арқылы өтуін сипаттайтын негіз-гі шамалар- -бірлік жолдағы энергияның шығыны мен -бөлшектің заттағы толық жолы (жүрімі). Бөлшектің энергиясының шығындалуы әртүрлі (электрондармен соқтығысу, ядролармен кулондық және ядролық соқтығысу және т.б.) жолмен өтуі мүмкін. Осыған орай толық шығын шығындалудың әртүрлі жолымен өтетін шығындардың қосындысына тең болады. Ауыр бөлшектің энергия шығынының бастысы атомдарды иондау мен қозған күйге көшіруге жұмсалатын энергия екені жоғарыда айтылған болатын. Бұл шығындарды жалпы иондау шығыны дейді. Бұл бапта осы иондау шығыны ғана қарастырылады. Бірлік жолдағы энергияның шығынын табу үшін алдымен 1 электронмен әсерлесу кезіндегі энергияның шығынын тауып, одан кейін бірлік жолда кездесетін электрондармен әсерлесуге кететін шығындарды қосамыз. Есептеулерді мынадай пайымдауларды қолданып жүргіземіз: 1) Бөлшектердің электронмен әсерлесуін қарастырған кезде классикалық (кванттық емес) физика заңдарын қолдануға болады. 2) Атом электрондарының жылдамдықтарының бөлшектің жылдамдығынан кішілігі сонша, оларды бөлшек жанынан өткен кезде орнынан жылжымайды деп есептеуге болады. 3) Электрондардың атомға байланысын елемей, оларды еркін электрондар сияқты қарастырамыз.

Меншікті иондау шығыны.

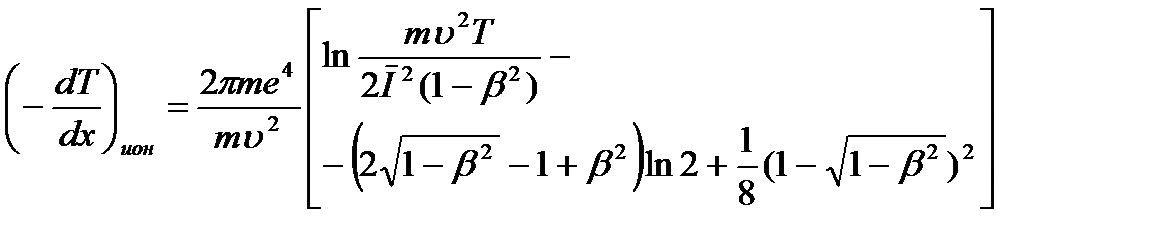
Ауыр бөлшектердің зат арқылы өтуін сипаттайтын негіз-гі шамалар- -бірлік жолдағы энергияның шығыны мен -бөлшектің заттағы толық жолы (жүрімі). Бөлшектің энергиясының шығындалуы әртүрлі (электрондармен соқтығысу, ядролармен кулондық және ядролық соқтығысу және т.б.) жолмен өтуі мүмкін. Осыған орай толық шығын шығындалудың әртүрлі жолымен өтетін шығындардың қосындысына тең болады. Ауыр бөлшектің энергия шығынының бастысы атомдарды иондау мен қозған күйге көшіруге жұмсалатын энергия екені жоғарыда айтылған болатын. Бұл шығындарды жалпы иондау шығыны дейді. Бұл бапта осы иондау шығыны ғана қарастырылады. Бірлік жолдағы энергияның шығынын табу үшін алдымен 1 электронмен әсерлесу кезіндегі энергияның шығынын тауып, одан кейін бірлік жолда кездесетін электрондармен әсерлесуге кететін шығындарды қосамыз. Есептеулерді мынадай пайымдауларды қолданып жүргіземіз: 1) Бөлшектердің электронмен әсерлесуін қарастырған кезде классикалық (кванттық емес) физика заңдарын қолдануға болады. Анықталмайтындық қатынансына сәйкес бұл пайымдау үлкен көздеу қашықтығы b мен бөлшектің үлкен импульстері р кезінде орындалады (8.2) 2) Атом электрондарының жылдамдықтарының бөлшектің жылдамдығынан кішілігі сонша, оларды бөлшек жанынан өткен кезде орнынан жылжымайды деп есептеуге болады. Бұл шарт орындалу үшін электронның атомдағы жылдамдығы да, оның соқтығысу кезіндегі жылдамдығының өзгерісі де бөлшектің жылдамдығынан көп кіші болуы тиіс. Немесе бөлшектің энергиясы (8.3) шартын қанағаттандыруы тиіс. Мұндағы М-бөлшектің, m-электронның массалары. Те-атомдағы электронның кинетикалық энергиясы. Мысалы, оттегі атомнының К-қабығындағы электрондардың орташа энергиясы 0,5кэВ, осыдан (8.3)-шарты орындалуы үшін альфа-бөлшектің энергиясы 2МэВ-тан артық болуы керек. 3) Электрондардың атомға байланысын елемей, оларды еркін электрондар сияқты қарастырамыз. Әрине, бірінші, екінші шарттар өте кішкене көздеу көрсеткіштері b жағдайларында, үшінші шарт, керісінше, өте үлкен көздеу көрсеткіштері жағдайында орындалмайды. Осы пайымдауларға сүйеніп электронның жанынан өткен бөлшектің энергия шығынын табайық. Бөлшек электронға ең жақын келетін қашықтық көздеу көрсеткіші b болсын. Х-өсін бөлшектің қозғалу бағытымен бағыттайық, және санақ жүйесінің басын бөлшектің электронға ең жақын нүктесінен бастайық. Сонда электронның қасынан өтіп бара жатқан бөлшек оған өне бойы модулі (8.4)кұшпен әсер етеді.

63. Зарядталған ауыр бөлшектердің жүрімі.

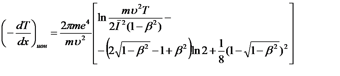
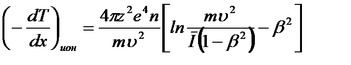
Ауыр бөлшектердің зат арқылы өтуін сипаттайтын негіз-гі шамалар- -бірлік жолдағы энергияның шығыны мен - бөлшектің заттағы толық жолы (жүрімі). Бөлшектің энергиясының шығындалуы әртүрлі (электрондармен соқтығысу, ядролармен кулондық және ядролық соқтығысу және т.б.) жолмен өтуі мүмкін. Осыған орай толық шығын шығындалудың әртүрлі жолымен өтетін шығындардың қосындысына тең болады. Ауыр бөлшектің энергия шығынының бастысы атомдарды иондау мен қозған күйге көшіруге жұмсалатын энергия екені жоғарыда айтылған болатын. Бұл шығындарды жалпы иондау шығыны дейді. Бұл бапта осы иондау шығыны ғана қарастырылады. Бірлік жолдағы энергияның шығынын табу үшін алдымен 1 электронмен әсерлесу кезіндегі энергияның шығынын тауып, одан кейін бірлік жолда кездесетін электрондармен әсерлесуге кететін шығындарды қосамыз.

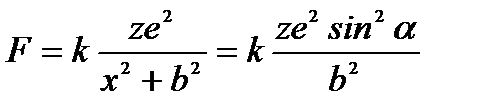
Бөлшек электронға ең жақын келетін қашықтық көздеу көрсеткіші b болсын. Х-өсін бөлшектің қозғалу бағытымен бағыттайық, және санақ жүйесінің басын бөлшектің электронға ең жақын нүктесінен бастайық. Сонда электронның қасынан өтіп бара жатқан бөлшек оған өне бойы модулі кұшпен әсер етеді.

Затта dx жол жүргенде бөлшек жоғалтатын энергияның мөлшерін табу үшін (7)-ні ол осы жолды өткенде соқтығысқан барлық электрон бойынша интегралдау керек. Бөлшек бұл жолды өткенде соқтығысатын көздеу көрсеткіші b мен b+db арасында жататын электрондардың саны: . Осыдан бірлік жолды өткенде бөлшектің энергия шығыны

. (8)

(9)

(10)

(11)

(12)

(13)

(14

(15)

(16)

~ (17)

(18)

64. Зарядталған жеңіл бөлшектердің затпен әсерлесуі. Нұрлану шығындары.

Электрон мен позитронның зат арқылы өтуі басқа бөлшектердің зат арқылы өтуінен өзгеше. Оның басты себебі олардың массаларының аздығы. Электроннан кейінгі ең жеңіл бөлшек мюон одан 200 есе ауыр. Массаларының аздығынан электрон мен позитронның әр соқтығыстан кейінгі импульсының өзгерісі айтарлықтай болады. Осыдан, олар бастапқы қозғалыс бағытынан көп ауытқиды және электромагниттік нұр шығарады. Бірінші себептен электрон затта түзу сызық бойымен қозғалмайды, екінші себептен электрон үшін энергияның радиациялық немесе электромагниттік нұрлану шығыны айтарлықтай болады. Бұларға қосымша тиетін электрон мен заттың электроны әсерлескенде, олардың айнытылмайтығынан алмастыру эффекті пайда болады. Алмастыру эффекті таза кванттық құбылыс, оның жалпы зат арқылы өту құбылысына ықпалы шамалы. Зат арқылы позитрон өткенде алмасытыру эффекті болмайды, есесіне позитрон заттың электронымен соқтығысқанда электрон-позитрондық аннигиляция орын алуы мүмкін. Аннигиляцияның да салыстырмалы үлесі онша үлкен емес. Электрондардың затпен әсерлесу механизмі басқа бөлшектердікімен бірдей. Сондықтан, олардың энергиялық шығынын да (8.8)-формуласымен анықтайды. Тек bmіn мен bmax, электронның массаның кішілігі мен кванттық алмастыру эффектін ескеріп, басқаша алуға тура келеді. Осыларды және басқа да түзетулерді ескеріп, электронның меншікті энергия шығынын өрнегімен анықтайды. Релятивтік емес b<<1 жағдайлар үшін (8.19)-дан (8.20) ал ультрарелятивтік Т>>mc2 жағдайлар үшін (8.21) шығады. Электродинамикадан барлық үдемелі қозғалатын зарядталған бөлшектердің электромагниттік нұр шығаратыны белгілі. Демек, заттың бөлшектерімен соқтығысқан зарядталған бөлшектер де электромагниттік толқын шығарады. Бұл нұр тежеулік делінеді. Тежеулік нұрдың қарқыны W (1 секунд ішінде шығарылатын энергияның мөлшері) релятивтік емес, кванттық емес жағдайда бөлшектің үдеуінің шаршысына тура пропорционал Зарядтары бірдей бөлшектерге әсер ететін кулондық әсерлесу күштері бірдей.

Иондау және нұрлану шығындыры.

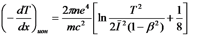
Электрон мен позитронның зат арқылы өтуі басқа бөлшектердің зат арқылы өтуінен өзгеше. Оның басты себебі олардың массаларының аздығы. Электроннан кейінгі ең жеңіл бөлшек мюон одан 200 есе ауыр. Массаларының аздығынан электрон мен позитронның әр соқтығыстан кейінгі импульсының өзгерісі айтарлықтай болады. Осыдан, олар бастапқы қозғалыс бағытынан көп ауытқиды және электромагниттік нұр шығарады. Бірінші себептен электрон затта түзу сызық бойымен қозғалмайды, екінші себептен электрон үшін энергияның радиациялық немесе электромагниттік нұрлану шығыны айтарлықтай болады. Бұларға қосымша тиетін электрон мен заттың электроны әсерлескенде, олардың айнытылмайтығынан алмастыру эффекті пайда болады. Электрондардың затпен әсерлесу механизмі басқа бөлшектердікімен бірдей. Сондықтан, олардың энергиялық шығынын да (8.8)-формуласымен анықтайды. Тек bmіn мен bmax, электронның массаның кішілігі мен кванттық алмастыру эффектін ескеріп, басқаша алуға тура келеді. Осыларды және басқа да түзетулерді ескеріп, электронның меншікті энергия шығынын өрнегімен анықтайды. Релятивтік емес b<<1 жағдайлар үшін (8.19)-дан (8.20) ал ультрарелятивтік Т>>mc2 жағдайлар үшін (8.21) шығады.

Электродинамикадан барлық үдемелі қозғалатын зарядталған бөлшектердің электромагниттік нұр шығаратыны белгілі. Демек, заттың бөлшектерімен соқтығысқан зарядталған бөлшектер де электромагниттік толқын шығарады. Бұл нұр тежеулік делінеді. Тежеулік нұрдың қарқыны W (1 секунд ішінде шығарылатын энергияның мөлшері) релятивтік емес, кванттық емес жағдайда бөлшектің үдеуінің шаршысына тура пропорционал Зарядтары бірдей бөлшектерге әсер ететін кулондық әсерлесу күштері бірдей. Сондықтан, зарядтары бірдей бөлшектердің радиациялық энергия шығындары олардың массаларының шаршысына кері пропорционал ~1/м2(8.22)Осыдан, нұрлану шығыны тек жеңіл бөлшектерге – электрондарға ғана маңызды. Мысалы, протондардың радиациялық шығыны электрондардың радиациялық шығынынан есе кем. Радиациялық шығынының тағы бір ерекшілігі, олар иондау шығыны сияқты негізінен электрондармен соқтығысудан емес, қайта ядролармен соқтығысудан туады. Оның себебі радиациялық шығынның қарқыны ядромен соқтығысу кезінде электронмен соқтығысудағыдан Z2 есе артық, ал электронның саны ядроның санынан Z есе артық. Релятивтік кванттық есептеулер радиациялық шығынының мөлшерін (8.23) қарапайым формуласымен анықтауға болатынын көрсетті. Мұндағы хР- радияциялық қашықтық деп аталатын тұрақты. Ол бөлшек өтетін ортаның тегіне тәуелді. Ауа үшін ХР = 300,5 м, қөрғасын үшін хР = 0,5 см.

(8.23)-ке сәйкес радиациялық шығын бөлшектің энергиясына пропорционал, ал (8.19)-бойынша иондау шығыны энергияға кері пропорционал. Демек, энергияның кейбір мәнінен бастап радиациялық шығын иондау шығынынан басым болады. Радиациялық шығын иондау шығынынан басым бола бастайтын энергияның МэВ-пен алынған мәнін (8.24) формуласынан бағалауға болады. Осыдан радиациялық шығынның иондау шығынынан энергияның Т > 800/Z МэВ мәндері кезінде басым болатыны көрінеді. Энергияның радиациялық шығыны мен иондау шығыны бірдей болатын Тс мәні сындық делінеді.

65. Гамма – нұрдың зат арқылы затпен әсерлесуінің түрлері.

Гамма-нұрға электромагниттік нұрдың толқын ұзындығы қысқа бөлігін жатқызады. Мұндай қысқа толқындардың толқындық қасиеттерінен бөлшектік қасиеттері басым болады. Осы тұрғыдан гамма-нұрды гамма-квант деп аталатын бөлшектердің ағыны деп ұғады. Гамма квантқа, басқа кезкелген бөлшектерге сияқты, энергия, импульс және момент тән. Гамма кванттарға тән энергиягың ең кіші мәні ондаған кэВ, ал жоғары мәні анықталмаған, қазіргі үдеткіштерде алынатын g-кванттардың энергясы ондаған ГэВ. Тәжірибеде маңызы бар гамма-кванттардың энергиялары бірнеше кэВ-тан 200-300МэВ-ке дейін созылады.

Гамма-кванттардың затпен әсерлесуінде, зарядталған бөлшектерге ұқсас, электромагниттік күштердің әсері басым болады. Бірақ, бұл әсерлесудің өзіндік ерекшеліктері бар. Біріншіден, g-квант зарядсыз бөлшек, ол затпен кулондық электр өрісі арқылы әсерлеспейді. Гамма-бөлшектер электрондармен 10-13м қашықтықта әсерлеседі. Бұл заттың атомаралық қашықтығынан мың есе кіші. Сондықтан, гамма-кванттар заттың электрондарымен, ядроларымен сирек соқтығысады. Есесіне, соқтығысу нәтижесінде, әлбетте, таралу бағытын күрт өзгертіп, шоқтан шығып кетеді. g-кванттың екінші ерекшелігі оның массасы жоқ , ол еш уақытта жарық жылдамдығынан кем жылдамдықпен қазғала алмайды. Демек, затта ол баяулатылмайды.Соқтығысуда ол жұтылады немесе шашыратылады (көбіне үлкен бұрышқа).

Гамма-кванттар үшін жол, ең ұзын жол, меншікті энергия шығыны ұғымдарының мәні жоқ.Гамма-кванттар шоғы зат арқылы өткенде олардың энергиясы өзгермейді, тек шоқтың қарқыны төмендейді. N-заттың X-қалыңдығын өткен бөлшектердің ағыны, яғни бөлшектердің уақыт бірлігі ішінде бірлік бет арқылы өтетін саны болсын. dX қалыңдық өткенде шоқтың ағыны dN-ға кемиді. Ол, әрине, бөлшектердің ағыны мен өткен dX қалыңдыққа пропорционал болады

(8.59)

Ал, орта біртекті болса, m-тұрақты болады да, (8.29)оңай интегралданып,

(8.60)

шығады. Мұндағы N0 – заттың бетіне түсетін бастапқы ағын. m шамасын жұту коэффициенті дейді. Көбіне массалық жұту коэффициентін пайдаланады. Бұл жағдайда заттың қалыңдығы ретінде беттік тығыздықты алған ыңғайлы. Жұту коэффициенті g-нұрдың зат арқылы өтуін толық сипаттайды. Ол заттың қасиеттері мен гамма-кванттың энергиясына тәуелді болады.

Егер нұрдың затта жұтылуы әртүрлі құбылыстардың нәтижесінен болатын болса, әр құбылыстың өзіне тән жұту коэффициенті болады. Ал толық жұту коэффициенті m осы құбылыстардың жұту коэффициенттерінің қосындысына тең болады:

(8.61)

Жұту коэффициентінің бірлігі м-1, немесе см-1, ал массалық жұту коэффициентін м2/кг немесе см2/г–мен өлшейді.

Белгілі құбылысқа тән жұту коэффициентінің заттың көлем бірлігіндегі жұту центрлерінің санына қатынасы, осы құбылыстың қимасын береді:

(8.62)

Сөйтіп, жұту коэффициентін анықтау үшін, жұтүға үлес қосатын құбылыстарды және бұл құбылыстардың қимасының гамма-кванттардың энергиясы мен заттың тегіне тәуелділігін білу керек.

Гамма-кванттардың затта жұтылуы негізінен үш құбылыстың: фотоэффект, комптон эффект, электрон-позитрондық қосақтар туғызу әсерінен болады.




Поделиться с друзьями:


Дата добавления: 2014-12-24; Просмотров: 1274; Нарушение авторских прав?; Мы поможем в написании вашей работы!


Нам важно ваше мнение! Был ли полезен опубликованный материал? Да | Нет



studopedia.su - Студопедия (2013 - 2026) год. Все материалы представленные на сайте исключительно с целью ознакомления читателями и не преследуют коммерческих целей или нарушение авторских прав! Последнее добавление




Генерация страницы за: 0.013 сек.