Студопедия

КАТЕГОРИИ:


Архитектура-(3434)Астрономия-(809)Биология-(7483)Биотехнологии-(1457)Военное дело-(14632)Высокие технологии-(1363)География-(913)Геология-(1438)Государство-(451)Демография-(1065)Дом-(47672)Журналистика и СМИ-(912)Изобретательство-(14524)Иностранные языки-(4268)Информатика-(17799)Искусство-(1338)История-(13644)Компьютеры-(11121)Косметика-(55)Кулинария-(373)Культура-(8427)Лингвистика-(374)Литература-(1642)Маркетинг-(23702)Математика-(16968)Машиностроение-(1700)Медицина-(12668)Менеджмент-(24684)Механика-(15423)Науковедение-(506)Образование-(11852)Охрана труда-(3308)Педагогика-(5571)Полиграфия-(1312)Политика-(7869)Право-(5454)Приборостроение-(1369)Программирование-(2801)Производство-(97182)Промышленность-(8706)Психология-(18388)Религия-(3217)Связь-(10668)Сельское хозяйство-(299)Социология-(6455)Спорт-(42831)Строительство-(4793)Торговля-(5050)Транспорт-(2929)Туризм-(1568)Физика-(3942)Философия-(17015)Финансы-(26596)Химия-(22929)Экология-(12095)Экономика-(9961)Электроника-(8441)Электротехника-(4623)Энергетика-(12629)Юриспруденция-(1492)Ядерная техника-(1748)

Интерполяционный полином Лагранжа




 

Будем строить интерполяционный полином в виде

, (4.9)

где – многочлены степени не выше п, обладающие следующим свойством:

.

Действительно, в этом случае полином (4.9) в каждом узле xj, j=0,1,…n, равен соответствующему значению функции yj, т.е. является интерполяционным.

Построим такие многочлены. Поскольку при x=x0,x1,…xi-1,xi+1,…xn, можно следующим образом разложить на множители

где с – постоянная. Из условия получим, что

и .

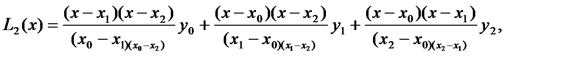
Интерполяционный полином (4.1), записанный в форме

, (4.10)

называют интерполяционным полиномом Лагранжа.

Приближенное значение функции в точке x*, вычисленное с помощью полинома Лагранжа, будет иметь остаточную погрешность (4.8). Если значения функции yi в узлах интерполирования xi заданы приближенно с одинаковой абсолютной погрешностью , то вместо точного значения будет вычислено приближенное значение , причем

,

где – вычислительная абсолютная погрешность интерполяционного полинома Лагранжа. Окончательно имеем следующую оценку полной погрешности приближенного значения .

.

В частности, полиномы Лагранжа первой и второй степени будут иметь вид

 

а их полные погрешности в точке x*

,

 

 

где ; .

Существуют другие формы записи того же интерполяционного полинома (4.1), например, рассматриваемая далее интерполяционная формула Ньютона с разделенными разностями и ее варианты. При точных вычислениях значения Рn(х*), получаемые по различным интерполяционным формулам, построенным по одним и тем же узлам, совпадают. Наличие же вычислительной погрешности приводит к различию получаемых по этим формулам значений. Запись многочлена в форме Лагранжа приводит, как правило, к меньшей вычислительной погрешности [1-3].

Использование формул для оценки погрешностей, возникающих при интерполировании, зависит от постановки задачи. Например, если известно количество узлов, а функция задана с достаточно большим количеством верных знаков, то можно поставить задачу вычисления f(x*) с максимально возможной точностью. Если, наоборот, количество верных знаков небольшое, а количество узлов велико, то можно поставить задачу вычисления f(x*) с точностью, которую допускает табличное значение функции, причем для решения этой задачи может потребоваться как разрежение, так и уплотнение таблицы.

 

§4.3. Разделенные разности и их свойства.

 

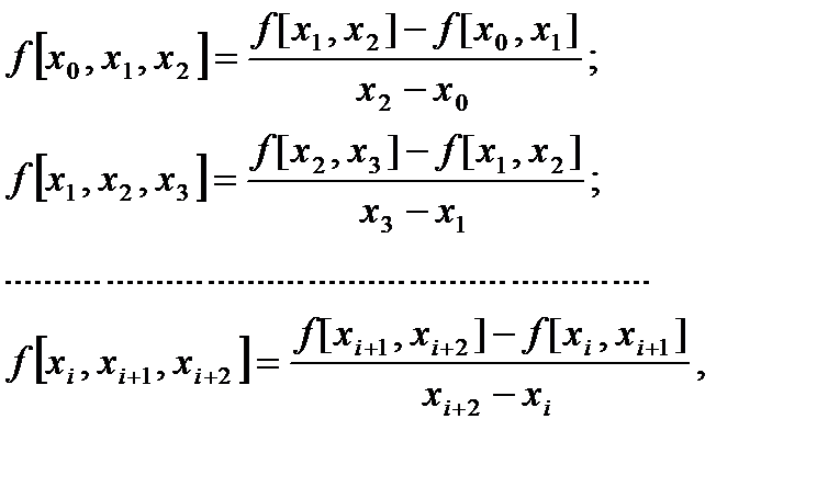
Понятие разделенной разности является обобщенным понятием производной. Пусть в точках x0, x1,…xn заданы значения функций f(x0), f(x1),…,f(xn). Разделенные разности первого порядка определяются равенствами

разделенные разности второго порядка – равенствами,

а разделенные разности k -го порядка определяются следующей рекуррентной формулой:

(4.11)

Разделенные разности обычно помещаются в таблицу следующего вида:

 

хi f(хi) Разделенные разности
I порядка II порядка III порядка IV порядка
           
х0 y0        
    f[x0,x1]      
х1 y1   f[x0,x1,x2]    
    f [x1,x2]   f [x0,x1,x2,x3]  
х2 y2   f [x1,x2,x3]   f[x0,x1,x2,x3,x4]
    f [x2,x3]   f [x1,x2,x3,x4]  
х3 y3   f [x2,x3,x4]    
    f [x3,x4]      
х 4 y4        

 

Рассмотрим следующие свойства разделенных разностей.

1. Разделенные разности всех порядков являются линейными комбинациями значений f(xi), т.е. имеет место следующая формула:

. (4.12)

Докажем справедливость этой формулы индукцией по порядку разностей. Для разностей первого порядка

.

Формула (4.12) справедлива. Предположим теперь, что она справедлива для всех разностей порядка .

Тогда, согласно (4.11) и (4.12) для разностей порядка k=п+1 имеем

Слагаемые, содержащие f(x0) и f(xn+1), имеют требуемый вид. Рассмотрим слагаемые, содержащие f(xi), i=1, 2, …,n. Таких слагаемых два - из первой и второй сумм:

т.е. формула (4.12) справедлива для разности порядка k=п+1, доказательство закончено.

 

2. Разделенная разность есть симметрическая функция своих аргументов x0, x1,…xn (т.е. не меняется при любой их перестановке):

.

Это свойство непосредственно следует из равенства (4.12).

 

3. Простую связь разделенной разности f[x0, x1,…,xn] и производной f(n) (x) дает следующая теорема.

Пусть узлы x0, x1,…xn принадлежат отрезку [a, b] и функция f(x) имеет на этом отрезке непрерывную производную порядка п. Тогда существует такая точка xÎ[a, b], что

. (4.13)

Докажем сначала справедливость соотношения

(4.14)

где .

Согласно (4.12) выражение в квадратных скобках есть

f [x0, x1, …, xn, x].

Из сравнения (4.14) с выражением (4.7) для остаточного члена Rn(x)=f(x)-Ln(x) получим (4.13), теорема доказана.

Из этой теоремы вытекает простое следствие. Для полинома п -ой степени

f(x) = a0 xn+a1 xn-1+…an

производная порядка п, очевидно, есть

и соотношение (4.13) дает для разделенной разности значение

.

Итак, у всякого многочлена степени п разделенные разности порядка п равны постоянной величине – коэффициенту при старшей степени многочлена. Разделенные разности высших порядков
(больше п), очевидно, равны нулю. Однако этот вывод справедлив лишь в случае отсутствия вычислительной погрешности у разделенных разностей.

 

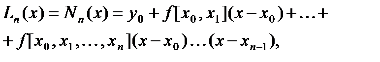
§4.4. Интерполяционный полином Ньютона с разделенными разностями

 

Запишем интерполяционный полином Лагранжа в следующем виде:

(4.15)

где L0(x) = f(x0)=y0, а Lk(x) – интерполяционный полином Лагранжа степени k, построенный по узлам x0, x1, …,xk. Тогда есть полином степени k, корнями которого являются точки x0, x1, …,xk-1. Следовательно, его можно разложить на множители

(4.16)

где Ak – постоянная.

В соответствии с (4.14) получим

(4.17)

Сравнивая (4.16) и (4.17) получим, что и (4.15) примет вид

(4.18)

который носит название интерполяционного полинома Ньютона с разделенными разностями.

Этот вид записи интерполяционного полинома более нагляден (добавлению одного узла соответствует появление одного слагаемого) и позволяет лучше проследить аналогию проводимых построений с основными построениями математического анализа.

Остаточная погрешность интерполяционного полинома Ньютона выражается формулой (4.8), но ее, с учетом (4.13), можно записать и в другой форме

,

т.е. остаточная погрешность может быть оценена модулем первого отброшенного слагаемого в полиноме Nn(x*).

Вычислительная погрешность Nn(x*) определится погрешностями разделенных разностей. Узлы интерполяции, лежащие ближе всего к интерполируемому значению x*, окажут большее влияние на интерполяционный полином, лежащие дальше – меньшее. Поэтому целесообразно, если это возможно, за x0 и x1 взять ближайшие к x* узлы интерполирования и произвести сначала линейную интерполяцию по этим узлам. Затем постепенно привлекать следующие узлы так, чтобы они возможно симметричнее располагались относительно x*, пока очередной член по модулю не будет меньше абсолютной погрешности входящей в него разделенной разности.

 




Поделиться с друзьями:


Дата добавления: 2014-12-25; Просмотров: 3322; Нарушение авторских прав?; Мы поможем в написании вашей работы!


Нам важно ваше мнение! Был ли полезен опубликованный материал? Да | Нет



studopedia.su - Студопедия (2013 - 2026) год. Все материалы представленные на сайте исключительно с целью ознакомления читателями и не преследуют коммерческих целей или нарушение авторских прав! Последнее добавление




Генерация страницы за: 0.01 сек.