Студопедия

КАТЕГОРИИ:


Архитектура-(3434)Астрономия-(809)Биология-(7483)Биотехнологии-(1457)Военное дело-(14632)Высокие технологии-(1363)География-(913)Геология-(1438)Государство-(451)Демография-(1065)Дом-(47672)Журналистика и СМИ-(912)Изобретательство-(14524)Иностранные языки-(4268)Информатика-(17799)Искусство-(1338)История-(13644)Компьютеры-(11121)Косметика-(55)Кулинария-(373)Культура-(8427)Лингвистика-(374)Литература-(1642)Маркетинг-(23702)Математика-(16968)Машиностроение-(1700)Медицина-(12668)Менеджмент-(24684)Механика-(15423)Науковедение-(506)Образование-(11852)Охрана труда-(3308)Педагогика-(5571)Полиграфия-(1312)Политика-(7869)Право-(5454)Приборостроение-(1369)Программирование-(2801)Производство-(97182)Промышленность-(8706)Психология-(18388)Религия-(3217)Связь-(10668)Сельское хозяйство-(299)Социология-(6455)Спорт-(42831)Строительство-(4793)Торговля-(5050)Транспорт-(2929)Туризм-(1568)Физика-(3942)Философия-(17015)Финансы-(26596)Химия-(22929)Экология-(12095)Экономика-(9961)Электроника-(8441)Электротехника-(4623)Энергетика-(12629)Юриспруденция-(1492)Ядерная техника-(1748)

Решение тренировочных заданий




Задание I.

 

Приведем систему к виду, в котором элементы главной диагонали превосходили бы сумму модулей остальных элементов строки. Это обеспечит выполнение условия (9): ||c||m < 1.

7,6x1+0,5x2+2,4x3=1,9; (I + II)
2,2x1+9,1x2+4,4x3=9,7; (2III + II – I)
–1,3x1+0,2x2+5,8x3=–1,4. (III – II)

Отсюда

10x1=2,4x1–0,5x2–2,4x3+1,9;

10x2=–2,2x1+0,9x2–4,4x3+9,7;

10x3=1,3x1–0,2x2+4,2x3–1,4.

В окончательном виде наша система запишется следующим образом:

x1=0,24x1–0,05x2–0,24x3+0,19;

x2=–0,22x1+0,09x2–0,44x3+0,97;

x3=0,13x1–0,02x2+0,42x3–0,14.

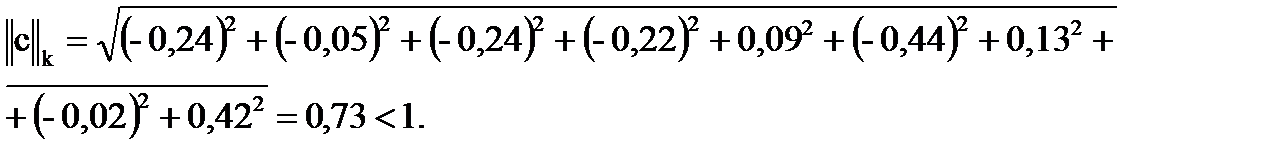
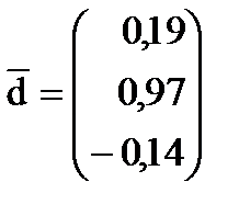
Матрица c и вектор для этой системы будут иметь вид:

; .

Нормы матрицы c, вектора будут соответственно равны:

= max(0,24+0,05+0,24; 0,22+0,09+0,44; 0,13+0,02+0,42)=

= max(0,53; 0,75; 0,67)=0,75<1.

= max(0,24+0,22+0,13; 0,05+0,09+0,02; 0,24+0,44+0,42)=

= max(0,59; 0,16; 1,10)=1,10>1.

=max(0,19; 0,97; 0,14)=0,97.

=max(0,19+0,97+0,14)=1,30.

Т.к. , то процесс итераций сходится, и теоретическое число итераций k будет определяться по формуле:

, или

, т.е.

Отсюда k³28.

Теоретическая оценка числа итераций, необходимых для обеспечения заданной точности, практически всегда очень завышена.

Вычисления располагаем в таблице.

Номер итерации x1 x2 x3
  0,19 0,97 –0,14
  0,2207 1,0703 –0,1915
  0,2354 1,0988 –0,2118
  0,2424 1,1088 –0,2196
  0,2454 1,1124 –0,2226
  0,2467 1,1138 –0,2237
  0,2472 1,1143 –0,2241
  0,2474 1,1145 –0,2243

 

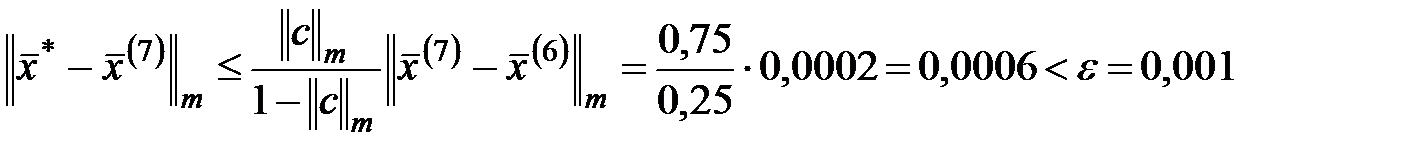
На 7 итерации имеем, что

.

Следовательно, необходимая точность достигнута.

Ответ: x1=0,2474; x2=1,1145; x3=–0,2243.

 

 

Глава 4. ИНТЕРПОЛИРОВАНИЕ.

 

Задача приближения (аппроксимации) функций возникает и как самостоятельная, и при решении многих других задач. Простейшая ситуация, приводящая к приближению функций, заключается в следующем. При некоторых значениях аргумента х0, х1,…хn, называемых узлами, заданы значения функции yi=f(xi), i=0,1...,n. Требуется восстановить значения функции при других x. Подобная же задача возникает при многократном вычислении на ЭВМ одной и той же сложной функции в различных точках. Вместо этого часто бывает целесообразно вычислять значения этой функции в небольшом числе характерных точек xi, а в остальных точках вычислять ее значения по некоторому более простому правилу, используя информацию об уже известных значениях yi.

Другими распространенными примерами приближения функций являются задачи определения производной f'(x) и интеграла по заданным значениям yi.

Классический подход к решению подобных задач заключается в том, чтобы, используя имеющуюся информацию о функции f(x), рассмотреть другую функцию , близкую к f(x), позволяющую выполнить над ней соответствующую операцию и получить оценку погрешности такой «аналитической замены».

При выборе класса, к которому принадлежит аппроксимирующая функция , следует руководствоваться тем, что , с одной стороны, должна отражать характерные особенности аппроксимируемой функции f(x), с другой стороны, быть достаточно удобной в обращении.

Вопрос о близости аппроксимируемой и аппроксимирующей функций решается по-разному. Если параметры, от которых зависит функция , определяются из условия совпадения значений функций f(x) и в узлах, то такой способ аппроксимации называется интерполированием (интерполяцией).

Наличие большого количества различных способов приближения объясняется многообразием различных постановок задачи. Далее мы рассмотрим лишь один раздел теории приближения – интерполирование многочленами. Аппарат интерполирования многочленами является важнейшим аппаратом численного анализа. На его основе строится большинство численных методов решения других задач.





Поделиться с друзьями:


Дата добавления: 2014-12-25; Просмотров: 676; Нарушение авторских прав?; Мы поможем в написании вашей работы!


Нам важно ваше мнение! Был ли полезен опубликованный материал? Да | Нет



studopedia.su - Студопедия (2013 - 2025) год. Все материалы представленные на сайте исключительно с целью ознакомления читателями и не преследуют коммерческих целей или нарушение авторских прав! Последнее добавление




Генерация страницы за: 0.043 сек.