Студопедия

КАТЕГОРИИ:


Архитектура-(3434)Астрономия-(809)Биология-(7483)Биотехнологии-(1457)Военное дело-(14632)Высокие технологии-(1363)География-(913)Геология-(1438)Государство-(451)Демография-(1065)Дом-(47672)Журналистика и СМИ-(912)Изобретательство-(14524)Иностранные языки-(4268)Информатика-(17799)Искусство-(1338)История-(13644)Компьютеры-(11121)Косметика-(55)Кулинария-(373)Культура-(8427)Лингвистика-(374)Литература-(1642)Маркетинг-(23702)Математика-(16968)Машиностроение-(1700)Медицина-(12668)Менеджмент-(24684)Механика-(15423)Науковедение-(506)Образование-(11852)Охрана труда-(3308)Педагогика-(5571)Полиграфия-(1312)Политика-(7869)Право-(5454)Приборостроение-(1369)Программирование-(2801)Производство-(97182)Промышленность-(8706)Психология-(18388)Религия-(3217)Связь-(10668)Сельское хозяйство-(299)Социология-(6455)Спорт-(42831)Строительство-(4793)Торговля-(5050)Транспорт-(2929)Туризм-(1568)Физика-(3942)Философия-(17015)Финансы-(26596)Химия-(22929)Экология-(12095)Экономика-(9961)Электроника-(8441)Электротехника-(4623)Энергетика-(12629)Юриспруденция-(1492)Ядерная техника-(1748)

Интерполирование сплайнами




 

Интерполирование многочленом Лагранжа, Ньютона или их модификациями на всем отрезке [a, b] с использованием большого числа узлов часто приводит к плохому приближению из-за большой вычислительной погрешности, чувствительности таких многочленов к ошибкам при вычислении их коэффициентов. Для того, чтобы избежать этих затруднений, отрезок [a, b] разбивают на частичные отрезки и на каждом из них приближенно заменяют функцию f(x) многочленом невысокой степени (кусочно-полиномиальная интерполяция).

Одним из способов интерполирования на всем отрезке является интерполирование с помощью сплайн-функций. Сплайн-функцией или просто сплайном называют кусочно-полиномиальную функцию, определенную на отрезке [a, b] и имеющую на этом отрезке некоторое число непрерывных производных. Слово «сплайн» (английское spline) означает гибкую линейку, используемую для проведения гладких кривых через заданные точки плоскости.

Максимальная по всем частичным отрезкам степень полиномов называется степенью сплайна, а разность между степенью сплайна и порядком наивысшей непрерывной на [a, b] производной – дефектом сплайна.

Мы рассмотрим частный, но распространенный в вычислительной практике случай, когда сплайн определяется с помощью многочленов третьей степени (кубический сплайн).

Пусть в точках

заданы значения функции f(x) . Кубическим сплайном, соответствующим данной функции f(x) и данным узлам xi, называется функция P(x), удовлетворяющая следующим условиям:

а) на каждом отрезке , , функция P(x) является многочленом третьей степени;

б) функция P(x), а также ее первая (и вторая) производные непрерывны на [a, b];

в) .

Последнее условие называется условием интерполирования, а сплайн, определяемый условиями а-в, называется также интерполяционным кубическим сплайном.

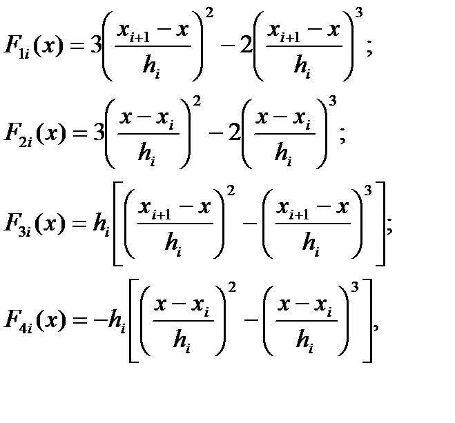
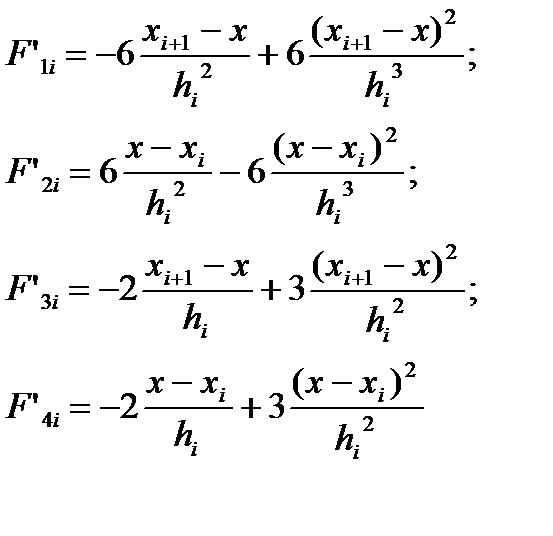
Предположим, что нам известны значения производной функции f(x) в каждой из узловых точек: . По заданным значениям yi и y’i, , построим для функции f(x) на каждом отрезке , , интерполяционный полином Эрмита третьей степени в виде (5.7). Для этого ведем вспомогательные функции:

 

(5.9)

 

где , . Для функций (5.9) и их производных

определены условия (5.8), , поэтому полином

 

(5.10)

является полиномом Эрмита для функции f(x) на каждом отрезке , а функция , , – интерполяционным кубическим сплайном с непрерывной первой производной, т.е. с дефектом, равным 2. Если значения первой производной функции не заданы, их определяют с помощью формул численного дифференцирования. Построенный таким образом сплайн называется локальным, т.к. он строится отдельно на каждом отрезке непосредственно по формуле (5.10). Этот способ построения сплайна удобен, если в процессе работы со сплайном (а она часто происходит в диалоговом режиме с визуализацией результатов на экране) требуется исправить какое-то одно значение функции или ее производной.

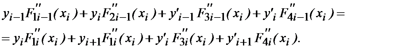
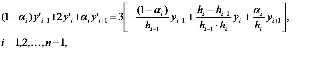
Построим теперь интерполяционный кубический сплайн с непрерывной второй производной, т.е. с дефектом, равным 1, по yi, .

Потребуем непрерывности P''(x) в узлах, т.е.

.

Выразим с помощью (5.10) обе части этого соотношения:

Вторые производные от функций (5.9) имеют вид:

 

и в точке xi соответственно равны

(5.11)

(5.12)

Отсюда получаем

или

(5.13)

Введем обозначения

Очевидно, что и

 

.

Умножим равенство (5.13) на . Получим

 

или

(5.14)

 

Итак, получена система из (п-1) уравнений с (п+1) неизвестными . Нужно задать еще два условия, которые называются краевыми, т.к. они обычно связаны с «крайними» значениями . Рассмотрим два варианта задания краевых условий.

 

1. Известны значения первой производной на концах отрезка

. (5.15)

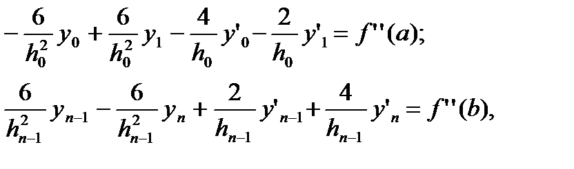
2. Известны значения второй производной на концах отрезка f''(a) и f''(b). Потребуем, чтобы P''(a) = f''(a) и P''(b) = f''(b). Тогда, согласно (5.12) при i=0 и согласно (5.11) при i=n соответственно имеем

(5.16)

где f''(a) и f''(b) – заданные величины.

Из соотношений (5.16) получим

Таким образом, оба варианта задания краевых условий дают нам два соотношения вида

(5.17)

Если постановка задачи не несет в себе задания краевых условий, то обычно полагают . Такой сплайн называется свободным кубическим сплайном и обладает свойствами минимальной кривизны [1,9].

В силу диагонального преобладания существует единственное решение системы (5.13) с краевыми условиями (5.17), оно может быть получено методом прогонки, который является устойчивым.

Оценим остаточную и вычислительную погрешности в точке x для локального сплайна.

Предполагается, что аппроксимируемая функция имеет на отрезке [a, b] непрерывную производную четвертого порядка. Значения f(xi) известны с одинаковой абсолютной погрешностью D*. тогда для любого , , остаточная погрешность

,

а вычислительная погрешность

,

где – полные абсолютные погрешности величин соответственно, заданных или вычисленных по формулам численного дифференцирования.

Для глобального сплайна на всем отрезке [a, b] справедливы следующие оценки остаточных погрешностей в случае равноотстоящих узлов [9]:

 

 

 

 

Тренировочные задания.

Задание I.

Составить соответствующие интерполяционные полиномы и вычислить в точках x*1=0,63 и x*2=1,35 значения функции f(x)=3x, заданной в виде следующей таблицы, содержащей значения yi с четырьмя верными в широком смысле знаками.

 

xi 0,50 0,75 1,00 1,25 1,50
yi 1,732 2,280 3,000 3,948 5,196

 

Оценить погрешность результата.

Задание II.

Функция f(x) задана таблицей своих значений, верных в написанных знаках.

xi 0, 0,6 0,7 0,8 0,9 1,0
yi 1,8221 2,0138 2,2255 2,4596 2,7183

 

xi 1,1 1,2
yi 3,0042 3,3201

 

Используя соответствующий интерполяционный полином, вычислить значения функции в точках x1*=0,85 и x2*=0,98. Оценить погрешности результатов.

 

Задание III.

По заданной таблице значений функции y=f(x) определить значение x*, для которого f(x*)=10.

 

xi        
yi        



Поделиться с друзьями:


Дата добавления: 2014-12-25; Просмотров: 792; Нарушение авторских прав?; Мы поможем в написании вашей работы!


Нам важно ваше мнение! Был ли полезен опубликованный материал? Да | Нет



studopedia.su - Студопедия (2013 - 2026) год. Все материалы представленные на сайте исключительно с целью ознакомления читателями и не преследуют коммерческих целей или нарушение авторских прав! Последнее добавление




Генерация страницы за: 0.009 сек.