Студопедия

КАТЕГОРИИ:


Архитектура-(3434)Астрономия-(809)Биология-(7483)Биотехнологии-(1457)Военное дело-(14632)Высокие технологии-(1363)География-(913)Геология-(1438)Государство-(451)Демография-(1065)Дом-(47672)Журналистика и СМИ-(912)Изобретательство-(14524)Иностранные языки-(4268)Информатика-(17799)Искусство-(1338)История-(13644)Компьютеры-(11121)Косметика-(55)Кулинария-(373)Культура-(8427)Лингвистика-(374)Литература-(1642)Маркетинг-(23702)Математика-(16968)Машиностроение-(1700)Медицина-(12668)Менеджмент-(24684)Механика-(15423)Науковедение-(506)Образование-(11852)Охрана труда-(3308)Педагогика-(5571)Полиграфия-(1312)Политика-(7869)Право-(5454)Приборостроение-(1369)Программирование-(2801)Производство-(97182)Промышленность-(8706)Психология-(18388)Религия-(3217)Связь-(10668)Сельское хозяйство-(299)Социология-(6455)Спорт-(42831)Строительство-(4793)Торговля-(5050)Транспорт-(2929)Туризм-(1568)Физика-(3942)Философия-(17015)Финансы-(26596)Химия-(22929)Экология-(12095)Экономика-(9961)Электроника-(8441)Электротехника-(4623)Энергетика-(12629)Юриспруденция-(1492)Ядерная техника-(1748)

Вычисление лагранжевых коэффициентов




 

(5.2)

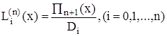
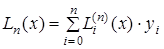
Можно записать лагранжевы коэффициенты и более компактно: , (5.3)

где .

Формула Лагранжа при этом имеет вид .

Для вычисления лагранжевых коэффициентов может быть использована приведенная ниже схема. Сначала располагаем в таблицу разности

 

Таблица 5.3.

Таблица разностей

 

Обозначим произведение элементов первой строки через D0, второй – D1 и т.д. Произведение же элементов главной диагонали, очевидно, будет . Отсюда следует, что

.Следовательно,

.

 

Пример 5.3 Выполнено в Mathcad

Найти приближенное значение функции при данном значении аргумента с помощью интерполяционного многочлена Лангранжа, если функция задана в неравно- отстоящих узлах таблицы.

 

 

 

Рис 5.2. Решения примера 5.3 в Mathcad

 

 

Отметим, что форма лагранжевых коэффициентов инвариантна относительно целой линейной подстановки (a,b – постоянны). Действительно, положив в формуле (5.2):

, , ,

после подстановки и сокращения числителя и знаменателя на an, получим:

или

,

где , что и требовалось доказать.

В случае равноотстоящих точек лагранжевы коэффициенты могут быть приведены к более простому виду.

В самом деле, полагая , будем иметь: . Отсюда

и

.

Тогда ,

где . Отсюда можно записать:

(5.4)

где

 

Пример 5.4 Выполно в Mathcad.

Найти приближенное значение функции при данном значении аргумента с помощью интерполяционного многочлена Лагранжа, если функция задана в равноотстоящих узлах таблицы

 

 

Рис 5.3. Решения примера 5.4 в Mathcad

 




Поделиться с друзьями:


Дата добавления: 2014-12-26; Просмотров: 1714; Нарушение авторских прав?; Мы поможем в написании вашей работы!


Нам важно ваше мнение! Был ли полезен опубликованный материал? Да | Нет



studopedia.su - Студопедия (2013 - 2025) год. Все материалы представленные на сайте исключительно с целью ознакомления читателями и не преследуют коммерческих целей или нарушение авторских прав! Последнее добавление




Генерация страницы за: 0.01 сек.