Студопедия

КАТЕГОРИИ:


Архитектура-(3434)Астрономия-(809)Биология-(7483)Биотехнологии-(1457)Военное дело-(14632)Высокие технологии-(1363)География-(913)Геология-(1438)Государство-(451)Демография-(1065)Дом-(47672)Журналистика и СМИ-(912)Изобретательство-(14524)Иностранные языки-(4268)Информатика-(17799)Искусство-(1338)История-(13644)Компьютеры-(11121)Косметика-(55)Кулинария-(373)Культура-(8427)Лингвистика-(374)Литература-(1642)Маркетинг-(23702)Математика-(16968)Машиностроение-(1700)Медицина-(12668)Менеджмент-(24684)Механика-(15423)Науковедение-(506)Образование-(11852)Охрана труда-(3308)Педагогика-(5571)Полиграфия-(1312)Политика-(7869)Право-(5454)Приборостроение-(1369)Программирование-(2801)Производство-(97182)Промышленность-(8706)Психология-(18388)Религия-(3217)Связь-(10668)Сельское хозяйство-(299)Социология-(6455)Спорт-(42831)Строительство-(4793)Торговля-(5050)Транспорт-(2929)Туризм-(1568)Физика-(3942)Философия-(17015)Финансы-(26596)Химия-(22929)Экология-(12095)Экономика-(9961)Электроника-(8441)Электротехника-(4623)Энергетика-(12629)Юриспруденция-(1492)Ядерная техника-(1748)

Интерполяционная формула Ньютона №1




 

Пусть точки xi будут равноотстоящими. Дано: отрезок , , .

Тогда: , , - шаг интерполяции.

Требуется: подобрать полином , степени не выше n, принимаю-щий в точках значения или .

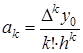
Ньютон находил решение в виде полинома ,

где .

Для практического использования удобно положить , тогда . …

Получим:

- первый многочлен Ньютона.

Полученную формулу выгодно использовать для интерполирования функции в окрестности начального значения x0, где q мало по абсолютной величине.

При n=1 получим формулу линейного интерполирования

 

Остаточный член первой интерполирующей формулы Ньютона имеет вид:

,

где - некоторая внутренняя точка наименьшего промежутка, содержащего все узлы и точку .

При наличии дополнительного узла на практике пользуются более удобной приближенной формулой:

 

.

 




Поделиться с друзьями:


Дата добавления: 2014-12-26; Просмотров: 487; Нарушение авторских прав?; Мы поможем в написании вашей работы!


Нам важно ваше мнение! Был ли полезен опубликованный материал? Да | Нет



studopedia.su - Студопедия (2013 - 2026) год. Все материалы представленные на сайте исключительно с целью ознакомления читателями и не преследуют коммерческих целей или нарушение авторских прав! Последнее добавление




Генерация страницы за: 0.009 сек.