Студопедия

КАТЕГОРИИ:


Архитектура-(3434)Астрономия-(809)Биология-(7483)Биотехнологии-(1457)Военное дело-(14632)Высокие технологии-(1363)География-(913)Геология-(1438)Государство-(451)Демография-(1065)Дом-(47672)Журналистика и СМИ-(912)Изобретательство-(14524)Иностранные языки-(4268)Информатика-(17799)Искусство-(1338)История-(13644)Компьютеры-(11121)Косметика-(55)Кулинария-(373)Культура-(8427)Лингвистика-(374)Литература-(1642)Маркетинг-(23702)Математика-(16968)Машиностроение-(1700)Медицина-(12668)Менеджмент-(24684)Механика-(15423)Науковедение-(506)Образование-(11852)Охрана труда-(3308)Педагогика-(5571)Полиграфия-(1312)Политика-(7869)Право-(5454)Приборостроение-(1369)Программирование-(2801)Производство-(97182)Промышленность-(8706)Психология-(18388)Религия-(3217)Связь-(10668)Сельское хозяйство-(299)Социология-(6455)Спорт-(42831)Строительство-(4793)Торговля-(5050)Транспорт-(2929)Туризм-(1568)Физика-(3942)Философия-(17015)Финансы-(26596)Химия-(22929)Экология-(12095)Экономика-(9961)Электроника-(8441)Электротехника-(4623)Энергетика-(12629)Юриспруденция-(1492)Ядерная техника-(1748)

Устойчивость замкнутой импульсной системы и ее предельный коэффициент




Определим устойчивость замкнутой САУ и предельный коэффициент усиления ():

По критерию Найквиста:

Так как АФХ охватывает точку с координатами (-1,j0), а разомкнутая импульсная САУ находится на границе устойчивости, то рассматриваемая САУ в замкнутом состоянии является неустойчивой.

Предельный коэффициент можно определить согласно следующему соотношению:

где – коэффициент усиления разомкнутой САУ; – модуль комплексного коэффициента усиления при его аргументе равном -1800.

По критерию Гурвица:

Запишем передаточную функцию дискретной САУ в замкнутом состоянии через Z–преобразование (относительно сигнала y):

Введем подстановку . Тогда характеристическое уравнение принимает вид:

После преобразований, из последнего соотношения получим:

Так как характеристическое уравнение устойчивой системы 3-го порядка имеет все положительные коэффициенты, то рассматриваемая система является неустойчивой в замкнутом состоянии.

Определим . Для этого передаточную функцию разомкнутой импульсной САУ при представим следующим образом:

.

Тогда соответствующая передаточная функция САУ в замкнутом состоянии примет вид:

Подставим в характеристическое уравнение соответствующее передаточной функции , . Тогда, после преобразований, получим:

Так как для САУ 3-го порядка условие устойчивости сводится к положительности коэффициентов характеристического уравнения и выполнению неравенства a1*a2-a0*a3>0, где a0= ; a1= ;

a2= ; a3= , которое выполняется,

то из коэффициента при старшей степени получаем

На основе необходимого и достаточного условия устойчивости системы (в плоскости “Z”):

Найдем корни характеристического уравнения замкнутой системы:

.

Корни, равные (-46,986; 0,9790; 0,9907) выходят из окружности единичного радиуса, значит, замкнутая система неустойчива.

Возьмем и для этого коэффициента усиления разомкнутой системы определим устойчивость замкнутой системы на основе корней характеристического уравнения.

Для получим, что:

Откуда корни характеристического уравнения для замкнутой системы равны:

, т.е. – значит, замкнутая САУ является устойчивой.

Переходной процесс на выходе замкнутой ИСАУ (xp(t))

Построим переходной процесс на выходе замкнутой импульсной САУ xp(t) при .

Для этого найдем дискретную передаточную функцию прямой цепи заданной системы, т.е. =

 

Запишем эту передаточную функцию относительно аргумента z и разделим числитель и знаменатель на . Тогда

Переходной процесс можно построить по следующему разностному уравнению, полученному из выражения для :

Рис. 18

 

Кинетическая и статическая ошибки замкнутой ИСАУ (xуст=xy-y):

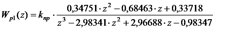
Передаточная функция системы относительно ошибки равна:

Тогда статистическая ошибка при :

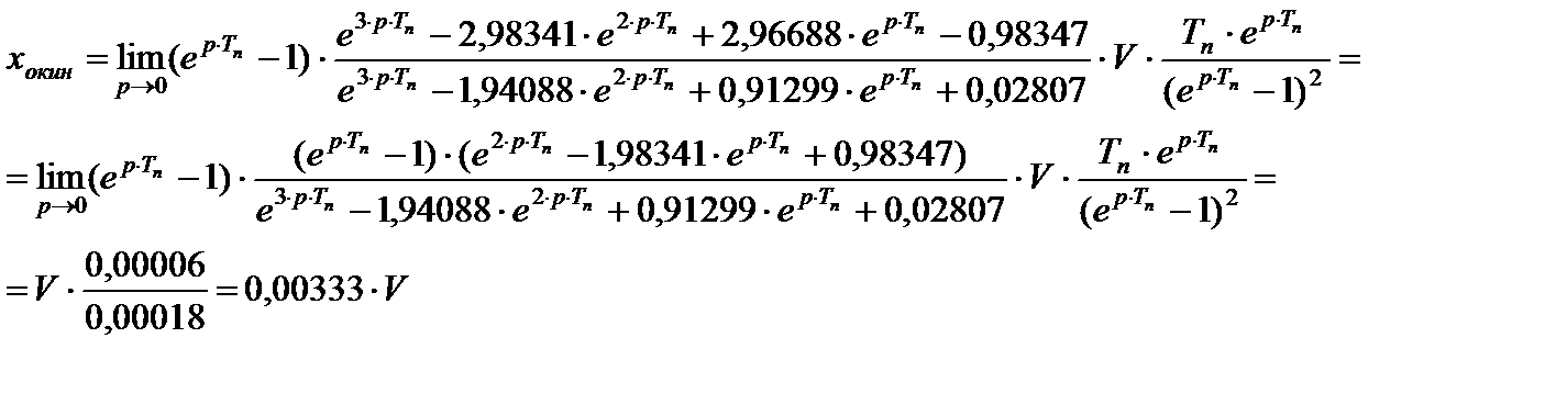
Кинетическая ошибка имеет место, когда входной является функция, изменяющаяся по линейному закону:

или

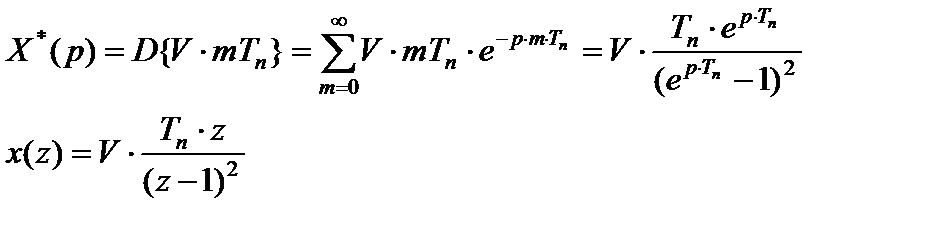
Дискретное преобразование Лапласа указанного сигнала:

С учетом этого кинетическая ошибка будет равна:




Поделиться с друзьями:


Дата добавления: 2014-12-26; Просмотров: 758; Нарушение авторских прав?; Мы поможем в написании вашей работы!


Нам важно ваше мнение! Был ли полезен опубликованный материал? Да | Нет



studopedia.su - Студопедия (2013 - 2026) год. Все материалы представленные на сайте исключительно с целью ознакомления читателями и не преследуют коммерческих целей или нарушение авторских прав! Последнее добавление




Генерация страницы за: 0.009 сек.