Студопедия

КАТЕГОРИИ:


Архитектура-(3434)Астрономия-(809)Биология-(7483)Биотехнологии-(1457)Военное дело-(14632)Высокие технологии-(1363)География-(913)Геология-(1438)Государство-(451)Демография-(1065)Дом-(47672)Журналистика и СМИ-(912)Изобретательство-(14524)Иностранные языки-(4268)Информатика-(17799)Искусство-(1338)История-(13644)Компьютеры-(11121)Косметика-(55)Кулинария-(373)Культура-(8427)Лингвистика-(374)Литература-(1642)Маркетинг-(23702)Математика-(16968)Машиностроение-(1700)Медицина-(12668)Менеджмент-(24684)Механика-(15423)Науковедение-(506)Образование-(11852)Охрана труда-(3308)Педагогика-(5571)Полиграфия-(1312)Политика-(7869)Право-(5454)Приборостроение-(1369)Программирование-(2801)Производство-(97182)Промышленность-(8706)Психология-(18388)Религия-(3217)Связь-(10668)Сельское хозяйство-(299)Социология-(6455)Спорт-(42831)Строительство-(4793)Торговля-(5050)Транспорт-(2929)Туризм-(1568)Физика-(3942)Философия-(17015)Финансы-(26596)Химия-(22929)Экология-(12095)Экономика-(9961)Электроника-(8441)Электротехника-(4623)Энергетика-(12629)Юриспруденция-(1492)Ядерная техника-(1748)

Пример программы с функцией




Обращение к функции

Else

c=b;

return c;

}

void main()

{ int x,y,z;

printf("Введите x и y:");

scanf("%d%d",&x,&y);

z=max(x,y);

printf("max=%d\n",z);

}

Обращение к типизированной функции не является специальным оператором, а включается в состав выражения. Результат выполнения функции возвращается в основную программу через имя функции. Обращение к функции записывается аналогично записи стандартной функции (например, sin(x), ехp(x) и т.п.) в виде операнда:

<имя функции>(<список фактических параметров>);

При вычислении выражения операнд обращения к функции заменяется значением функции.

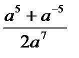
Вычислить значение: Z = ,

где а - заданное вещественное число.

В этой задаче требуется многократно использовать алгоритм возведения числа в целую степень. Оформим функцию, в которой данный алгоритм можно формально описать как алгоритм накопления произведения.

где i – номер шага вычисления (умножения);

n – число шагов.

При описании функции надо с помощью списков параметров (формальных и фактических) связать формальный параметр x с основанием степени, параметр п — с показателем. Поскольку в задаче требуется вычислить три раза операцию возведения в степень, то в главной функции main() будет организован вызов этой функции из выражения.

#include "stdafx.h"

float ST(float x, int n) // начало функции ST

{

int i;

float P;

P=1;

for(i=1; i<= n; i++)

P = P*x;

return P;

} // конец функции ST

void main()

{

float a,Z;

printf("Введите число а:");

scanf("%f",&a);

Z = (ST(a, 5) + ST(1/a, 5))/(2* ST(a, 7));

printf("Z=%f\n", Z);

}

В процессе выполнения программы после ввода заданного числа а вычисляется значение Z по формуле.В данной формуле обращение к функции ST осуществляется с помощью трех операндов.

При каждом вызове функции происходит соответствующая замена формальных параметров (х, n) на фактические. Вычисленный результат возвращается в выражение. Далее вычисляется значение Z и выводится на экран.

Для того чтобы функция могла быть вызвана, т.е. была доступна, необходимо, чтобы до ее вызова о ней было известно компилятору. Это значит, что либо мы текст функции должны поместить до функции, из которой она вызывается (например, из main()), либо перед main() записывается прототип функции.

Прототип функции по форме аналогичен заголовку функции, в конце которого ставится ";".

Например, рассмотрим предыдущую программу:

#include "stdafx.h"

// прототип функции ST

float ST(float, int);

// функция main

void main()

{ float a,Z;

printf("Введите число а:");

scanf("%f",&a);

Z = (ST(a, 5) + ST(1/a, 5))/(2* ST(a, 7));

printf("Z=%f\n", Z);

}

// функция ST

float ST(float x, int n)

{

int i;

float P;

P=1;

for(i=1; i<= n; i++)

P = P*x;

return P;

}




Поделиться с друзьями:


Дата добавления: 2014-12-26; Просмотров: 415; Нарушение авторских прав?; Мы поможем в написании вашей работы!


Нам важно ваше мнение! Был ли полезен опубликованный материал? Да | Нет



studopedia.su - Студопедия (2013 - 2026) год. Все материалы представленные на сайте исключительно с целью ознакомления читателями и не преследуют коммерческих целей или нарушение авторских прав! Последнее добавление




Генерация страницы за: 0.008 сек.