Студопедия

КАТЕГОРИИ:


Архитектура-(3434)Астрономия-(809)Биология-(7483)Биотехнологии-(1457)Военное дело-(14632)Высокие технологии-(1363)География-(913)Геология-(1438)Государство-(451)Демография-(1065)Дом-(47672)Журналистика и СМИ-(912)Изобретательство-(14524)Иностранные языки-(4268)Информатика-(17799)Искусство-(1338)История-(13644)Компьютеры-(11121)Косметика-(55)Кулинария-(373)Культура-(8427)Лингвистика-(374)Литература-(1642)Маркетинг-(23702)Математика-(16968)Машиностроение-(1700)Медицина-(12668)Менеджмент-(24684)Механика-(15423)Науковедение-(506)Образование-(11852)Охрана труда-(3308)Педагогика-(5571)Полиграфия-(1312)Политика-(7869)Право-(5454)Приборостроение-(1369)Программирование-(2801)Производство-(97182)Промышленность-(8706)Психология-(18388)Религия-(3217)Связь-(10668)Сельское хозяйство-(299)Социология-(6455)Спорт-(42831)Строительство-(4793)Торговля-(5050)Транспорт-(2929)Туризм-(1568)Физика-(3942)Философия-(17015)Финансы-(26596)Химия-(22929)Экология-(12095)Экономика-(9961)Электроника-(8441)Электротехника-(4623)Энергетика-(12629)Юриспруденция-(1492)Ядерная техника-(1748)

Ортогональное планирование для трехфакторной модели




Уравнение регрессии для трехфакторного эксперимента имеет следующий вид (математическая модель второго порядка):

Y=b0+b1x1+b2x2+b3x3+b11x12+b22x22+b33x32+b12x1x2+b13x1x3+b23x2x3 (1)

Общее количество опытов рассчитывается по формуле:

N=N0+2k+n0, (2)

где n0 – количество опытов в центре плана, k – число факторов, N0 – число опытов полного факторного эксперимента 2k.

Количество точек проводимых опытов в области планирования равно N=8+2·3+1=15. Значение «звездного плеча» равно α=±1,21.

Составим матрицу для расчетов коэффициентов.

Таблица - Матрица для расчетов коэффициентов уравнения регрессии для трехфакторного эксперимента

Номер опыта Матрица для расчета коэффициентов Экспериментальные значения y
x0 x1 x2 x3 (x1')2 (x2')2 (x3')2 x1x2 x1x3 x2x3
    -1 -1 -1 0,27 0,27 0,27       0,45
      -1 -1 0,27 0,27 0,27 -1 -1   0,42
    -1   -1 0,27 0,27 0,27 -1   -1 0,26
        -1 0,27 0,27 0,27   -1 -1 0,27
    -1 -1   0,27 0,27 0,27   -1 -1 0,56
      -1   0,27 0,27 0,27 -1   -1 0,57
    -1     0,27 0,27 0,27 -1 -1   0,37
          0,27 0,27 0,27       0,36
    -1,21     0,74 -0,73 -0,73       0,36
    1,21     0,74 -0,73 -0,73       0,39
      -1,21   -0,73 0,74 -0,73       0,47
      1,21   -0,73 0,74 -0,73       0,21
        -1,21 -0,73 -0,73 0,74       0,31
        1,21 -0,73 -0,73 0,74       0,46
          -0,73 -0,73 -0,73       0,37
Сумма квадратов ∑   10,94 10,94 10,94 4,34 4,34 4,34       5,83

 

Для полного факторного эксперимента коэффициенты уравнения (1) рассчитываются по следующим формулам:

 

 

(3)

 

Рассчитав коэффициенты b по формуле (3), получили следующие значения:

Таблица – значения коэффициентов b

b1 0,00149
b2 -0, 0964
b3 0, 05864
b11 0, 02456
b22 0, 00085
b33 0, 031336
b12 0, 0025
b13 0, 0025
b23 0,0075
b0 0,347238

 

В результате расчета было получено следующее уравнение регрессии:

 

Y(x1x2)=0,347238+0,00149x1-0,0964x2+0,05864x3+0,02456x12+0,00085x22+ +0,031336x32+0,0025x1x2+0,0025x1x3-0,0075x2x3

 

После этого проверяем значимость коэффициентов с помощью критерия Стьюдента по формулам:

(4)

(5)

 

где NN -количество параллельных опытов;

формула (5) - дисперсия воспроизводимости;

ӯ0 -среднее значение величины у, полученных при параллельных опытах;

уu0 - значения, полученные при постановке каждого из дополнительных опытов в центре плана.

Sbj=

Расчетное значение коэффициента Стьюдента определяется по формуле:

(6)

 

Если полученное расчетное значение доверительного интервала меньше табличного, то данные коэффициенты исключаются из уравнения регрессии. Табличное значение критерия Стюдента для уровня значимости р=0,05 и числа степеней свободы f=2 tp(f)=4,3.

Выполнив расчеты по формуле (6), получим следующие коэффициенты:

Таблица - коэффициент Стьюденса

t1 0,2356 коэффициент не значим
t2 15,2411 коэффициент значим
t3 9,2711 коэффициент значим
t11 3,8830 коэффициент не значим
t22 0,1344 коэффициент не значим
t33 4,9543 коэффициент значим
t12 0,3953 коэффициент не значим
t13 0,3953 коэффициент не значим
t23 1,18577 коэффициент не значим
t0 54,8993 коэффициент значим

 

Проверяем адекватность полученного уравнения регрессии, используя критерий Фишера:

(7)

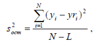
где - остаточная дисперсия, рассчитывается по формуле:

 

(8)

 

L - число значимых коэффициентов в уравнении регрессии.

S2ост= 0,013616

Табличное значение коэффициента Фишера для р=0,05, f1=14 и f2=4 F1-p(f1,f2)=3,1

Если расчетное значение критерия Фишера больше табличного, то полученное уравнение регрессии неадекватно описывает эксперимент.

F= ,

68,08>3,1, следовательно, полученное уравнение регрессии неадекватно описывает эксперимент.

Так как коэффициенты b0, b2, b3 и b33 больше табличного значения критерия Стюдента, то их следует оставить в уравнении, а остальные исключить. Вследствие чего уравнение регрессии примет вид:

Y=0,347238-0,0964x2+0,05864x3+0,031336x32




Поделиться с друзьями:


Дата добавления: 2015-04-24; Просмотров: 592; Нарушение авторских прав?; Мы поможем в написании вашей работы!


Нам важно ваше мнение! Был ли полезен опубликованный материал? Да | Нет



studopedia.su - Студопедия (2013 - 2026) год. Все материалы представленные на сайте исключительно с целью ознакомления читателями и не преследуют коммерческих целей или нарушение авторских прав! Последнее добавление




Генерация страницы за: 0.01 сек.