Студопедия

КАТЕГОРИИ:


Архитектура-(3434)Астрономия-(809)Биология-(7483)Биотехнологии-(1457)Военное дело-(14632)Высокие технологии-(1363)География-(913)Геология-(1438)Государство-(451)Демография-(1065)Дом-(47672)Журналистика и СМИ-(912)Изобретательство-(14524)Иностранные языки-(4268)Информатика-(17799)Искусство-(1338)История-(13644)Компьютеры-(11121)Косметика-(55)Кулинария-(373)Культура-(8427)Лингвистика-(374)Литература-(1642)Маркетинг-(23702)Математика-(16968)Машиностроение-(1700)Медицина-(12668)Менеджмент-(24684)Механика-(15423)Науковедение-(506)Образование-(11852)Охрана труда-(3308)Педагогика-(5571)Полиграфия-(1312)Политика-(7869)Право-(5454)Приборостроение-(1369)Программирование-(2801)Производство-(97182)Промышленность-(8706)Психология-(18388)Религия-(3217)Связь-(10668)Сельское хозяйство-(299)Социология-(6455)Спорт-(42831)Строительство-(4793)Торговля-(5050)Транспорт-(2929)Туризм-(1568)Физика-(3942)Философия-(17015)Финансы-(26596)Химия-(22929)Экология-(12095)Экономика-(9961)Электроника-(8441)Электротехника-(4623)Энергетика-(12629)Юриспруденция-(1492)Ядерная техника-(1748)

Метод Рунге – Кутта




Пусть требуется найти решение дифференциального уравнения

y ’ = f (t, y),

удовлетворяющее начальному условию

y’ (t 0) = y 0.

Принцип, на котором основан метод Рунге – Кутта, можно пояснить, как и принцип, на котором основан метод Эйлера, с помощью разложения функции в ряд Тейлора

Чтобы удержать в ряде Тейлора член n -го порядка, необходимо вычислить n -ю производную зависимой переменной. При использовании модифицированного метода Эйлера для получения второй производной в конечно-разност-ной форме достаточно было знать наклон кривой на концах рассматриваемого интервала. Чтобы вычислить третью производную в конечно-разностном виде, необходимо иметь значения второй производной, по меньшей мере, в двух точках. Для этого необходимо дополнительно определить наклон кривой в некоторой промежуточной точке интервала h, т. е. между tn и n 1 t +. Очевидно, чем выше порядок вычисляяемой производной, тем больше дополнительных точек потребуется вычислить внутри интервала. Так как существует несколько способов расположения внутренних точек и выбора относительных весов для найденных производных, то метод Рунге – Кутта, в сущности, объединяет целое семейство методов решения дифференциальных уравнений.

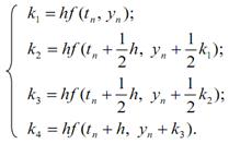
Наиболее распространенным из них является метод четвёртого порядка точности, при котором удерживаются все члены ряда Тейлора, включая h 4. Расчеты при использовании этого классического метода производятся по формулам:

где

Метод Эйлера и его модификация по сути дела являются методами Рунге – Кутта первого и второго порядка соответственно. Более высокая точность метода Рунге – Кутта позволяет увеличить шаг интегрирования h. Допустимая погрешность на шаге определяет его максимальную величину. В прикладных пакетах программ выбор шага часто осуществляется автоматически. Для этого проводят вычисления сначала с шагом h, а затем – с шагом h /2.

За оценку погрешности вычислений с шагом h /2 можно принять приближенную формулу

где - вычисленное значение с шагом h /2; yn – вычисленное значение с шагом h. Пример: y ’ = xy.

Решение:

При реализации методов Рунге – Кутта на ЭВМ для каждой точки проводят двойной счет. Если полученные при этом значения удовлетворяют выражению (5.4), то для точки t n+1 шаг удваивают, в противном случае уменьшают вдвое. Однако необходимо помнить, что выражение (5.4) приближенное и при неблагоприятных условиях можно получить совершенно ошибочные результаты, хотя в большинстве случаев дело обстоит благополучно.




Поделиться с друзьями:


Дата добавления: 2015-04-24; Просмотров: 852; Нарушение авторских прав?; Мы поможем в написании вашей работы!


Нам важно ваше мнение! Был ли полезен опубликованный материал? Да | Нет



studopedia.su - Студопедия (2013 - 2025) год. Все материалы представленные на сайте исключительно с целью ознакомления читателями и не преследуют коммерческих целей или нарушение авторских прав! Последнее добавление




Генерация страницы за: 0.007 сек.