Студопедия

КАТЕГОРИИ:


Архитектура-(3434)Астрономия-(809)Биология-(7483)Биотехнологии-(1457)Военное дело-(14632)Высокие технологии-(1363)География-(913)Геология-(1438)Государство-(451)Демография-(1065)Дом-(47672)Журналистика и СМИ-(912)Изобретательство-(14524)Иностранные языки-(4268)Информатика-(17799)Искусство-(1338)История-(13644)Компьютеры-(11121)Косметика-(55)Кулинария-(373)Культура-(8427)Лингвистика-(374)Литература-(1642)Маркетинг-(23702)Математика-(16968)Машиностроение-(1700)Медицина-(12668)Менеджмент-(24684)Механика-(15423)Науковедение-(506)Образование-(11852)Охрана труда-(3308)Педагогика-(5571)Полиграфия-(1312)Политика-(7869)Право-(5454)Приборостроение-(1369)Программирование-(2801)Производство-(97182)Промышленность-(8706)Психология-(18388)Религия-(3217)Связь-(10668)Сельское хозяйство-(299)Социология-(6455)Спорт-(42831)Строительство-(4793)Торговля-(5050)Транспорт-(2929)Туризм-(1568)Физика-(3942)Философия-(17015)Финансы-(26596)Химия-(22929)Экология-(12095)Экономика-(9961)Электроника-(8441)Электротехника-(4623)Энергетика-(12629)Юриспруденция-(1492)Ядерная техника-(1748)

Расчет цилиндрических прямозубых передач 3-4 и 5-6




Примечания:

1 Цилиндрические прямозубые передачи 3-4 и 5-6 составляют блочные пары, работающие попеременно.

2 Поскольку пары 3-4 и 5-6 соосные (), расчет ведется по наиболее нагруженной паре 3-4 (). Тогда для пары 5-6 проводят только проектировочный расчет.

 

2.3.4.1 Расчет пары 3-4

Исходные данные пары 3-4 выбираем из результатов кинематического расчета (табл. 15):

Р3 = 4,58 кВт;

Р4 = 4,44 кВт;

n3 = 802,8 мин-1;

n4 = 286,7 мин-1;

U3-4=2,8.

Режим нагружения – табл. 45.

 

 

Таблица 45

Частота вращения Время работы в часах с использованием мощности
  Р   0,7Р   0,2Р

Проектировочный расчет

1 Назначение материалов и расчет допускаемых напряжений

Замечание. Для блочных пар 3-4 и 5-6 с целью обеспечения компактности механизма желательно принимать материал с термообработкой, обеспечивающей твердость Н > 350 HB. Однако при назначении твердости рабочих поверхностей зубьев следует иметь в виду, что большей твердости соответствует более сложная технология изготовления зубчатых колес и малые размеры передачи, что может привести к трудностям при конструктивной разработке узла. Поэтому вопрос выбора материала и режимов термообработки решается индивидуально для каждого конкретного случая.

Принимается для изготовления шестерни и колеса Сталь 20Х с термообработкой – улучшение, цементация.

По табл. 24, 25 выбираем:

· для шестерни – твердость поверхности зубьев (с учетом рекомендаций принимаем ); ;

· для колеса – твердость поверхности зубьев (принимаем ); .

Допускаемые контактные напряжения:

 

.

 

Для шестерни:

;

Принимается ;

.

Так как , принимается .

(принято );

(ожидается V < 5 м/с);

(закрытая обильно смазываемая передача);

(ожидается диаметр колес меньше 700 мм);

 

 

Для колеса:

;

Так как ,принимается .

Для прямозубых передач для дальнейшего расчета принимается меньшее из допускаемых напряжений зубьев шестерни и колеса – .

2 Назначение коэффициентов

Примечание. Для обеспечения относительно небольшой ширины переключающихся колес блочных пар рекомендуется выбирать коэффициент ширины зубчатого колеса относительно межосевого расстояния из ряда: 0,100; 0,125; 0,160.

Принимается .

;

(см. табл. 35 при ; вблизи одной из опор; колеса не прирабатываются);

(не прирабатывающиеся зубчатые колеса).

3 Расчет межосевого расстояния:

 

 

Принимается стандартное (табл. 30).

4 Назначение модуля:

 

.

 

Принимается (см. табл. 31), который обеспечивает

 

– целое число.

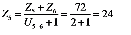
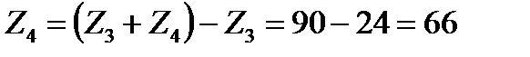
5 Назначение чисел зубьев:

 

.

 

Принимается .

 

.

.

.

 

6 Расчет геометрических размеров зубчатых колес:

 

.

 

Округляем до ближайшего большего значения из ряда нормальных линейных размеров .

 

;

;

;

;

;

.

 

Проверка: ,

.

 

7 Назначение степени точности:

 

.

 

Назначается степень точности 8-В ГОСТ 1643-81.

Проверочный расчет

Проверка на контактную усталостную прочность:

 

;

,

 

где ;

;

;

;

;

(см. табл. 35 при ; положение колес – вблизи одной из опор; колеса не прирабатываются);

(см. табл. 36 при ; степени точности по норме плавности – 8; ).

.

 

1052 МПа < 1208 МПаконтактная усталостная прочность обеспечена.

 

2 Проверка на усталостную изгибную прочность.

 

.

 

Выясняем, по какому из зубчатых колес пары вести расчет, для чего для шестерни и колеса рассчитывается .

Допускаемое изгибное напряжение

 

.

 

Для шестерни:

(см. табл. 37);

(нереверсивная передача);

(при вероятности неразрушения зубьев 0,99);

, принимается ;

;

 

.

 

Для колеса:

(см. табл. 37);

(при вероятности неразрушения зубьев 0,99);

(нереверсивная передача);

, принимается ;

;

.

.

(см. табл. 22 при и =0);

(см. табл. 22 при и =0);

 

Более «слабым» элементом является шестерня, по которой ведется дальнейший расчет.

 

 

где (для прямых зубьев);

(см. табл. 35 при ; вблизи одной из опор; колеса не прирабатываются);

(см. табл. 36 при ; степень точности по норме плавности – 8; ).

 

.

.

 

418 МПа > 364 МПа – изгибная усталостная прочность не обеспечена.

Принимается решение увеличить модуль зацепления при неизменном межосевом расстоянии передачи.

 

.

.

.

 

Принимается .

 

.

.

.

 

Тогда:

 

.

;

;

;

;

;

.

Проверка:

 

Назначается степень точности 9-В ГОСТ 1643-81.

(см. табл. 22 при и =0);

при

при , степень точности – 9, .

 

.

363 МПа < 364 МПа – изгибная усталостная прочность обеспечена.

 

3 Проверка на контактную прочность при действии максимальных нагрузок (перегрузок).

 

.

,

 

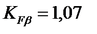
где (он же коэффициент запаса сцепления муфты фрикционной дисковой, который указан в задании на курсовое проектирование, ).

 

,

.

1411 МПа < 2400 МПа – контактная прочность при действии максимальных перегрузок обеспечена.

4 Проверка на изгибную прочность при действии максимальных нагрузок (перегрузок).

 

,

 

где ;

.

 

.

653 МПа < 1200 МПа – изгибная прочность при действии максимальных нагрузок обеспечена.

 

2.3.4.2 Расчет пары 5-6

Исходные данные пары 5-6 выбираем из результатов кинематического расчета (табл. 15):

Р5 = 4,58 кВт;

Р6 = 4,44 кВт;

n5 = 802,8 мин-1;

n6 = 401,4 мин-1;

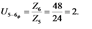
U5-6=2,0.

Режим нагружения – табл. 46.

 

Таблица 46

Частота вращения Время работы в часах с использованием мощности
  Р   0,3Р   0,3Р

Проектировочный расчет

Примечание. Для блочных пар желательно использовать одинаковые материалы и режимы термической обработки с целью унификации.

1 Назначение материалов и расчет допускаемых напряжений.

Принимается для изготовления шестерни и колеса Сталь 20Х с термообработкой – улучшение, цементация.

 

По табл. 24, 25 выбираем:

· для шестерни – твердость поверхности зубьев (с учетом рекомендаций принимаем ); ;

· для колеса – твердость поверхности зубьев (принимаем ); .

Допускаемые контактные напряжения:

 

.

 

Для шестерни:

;

Принимается ;

.

Так как , принимается .

(принято );

(ожидается V < 5 м/с);

(закрытая обильно смазываемая передача);

(ожидается диаметр колес меньше 700 мм);

 

Для колеса:

;

Принимается ;

 

 

Для прямозубых передач для дальнейшего расчета принимается меньшее из допускаемых напряжений зубьев шестерни и колеса – .

2 Назначение коэффициентов:

 

.

 

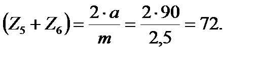
3 Расчет межосевого расстояния

Принимается , так как пары 3-4 и 5-6 – соосные.

4 Назначение модуля

Для унификации принимается (как у пары 3-4).

 

.

.

 

6 Расчет геометрических размеров зубчатых колес.

 

;

;

;

;

;

;

.

 

Проверка: .

.

 

7 Назначение степени точности.

 

.

 

Назначается степень точности 8-В ГОСТ 1643-81.

 

Пример 3. Выполнить расчеты зубчатой передачи по приведенной схеме и исходным данным (см. рис. 7).

 




Поделиться с друзьями:


Дата добавления: 2015-04-24; Просмотров: 395; Нарушение авторских прав?; Мы поможем в написании вашей работы!


Нам важно ваше мнение! Был ли полезен опубликованный материал? Да | Нет



studopedia.su - Студопедия (2013 - 2026) год. Все материалы представленные на сайте исключительно с целью ознакомления читателями и не преследуют коммерческих целей или нарушение авторских прав! Последнее добавление




Генерация страницы за: 0.012 сек.