Студопедия

КАТЕГОРИИ:


Архитектура-(3434)Астрономия-(809)Биология-(7483)Биотехнологии-(1457)Военное дело-(14632)Высокие технологии-(1363)География-(913)Геология-(1438)Государство-(451)Демография-(1065)Дом-(47672)Журналистика и СМИ-(912)Изобретательство-(14524)Иностранные языки-(4268)Информатика-(17799)Искусство-(1338)История-(13644)Компьютеры-(11121)Косметика-(55)Кулинария-(373)Культура-(8427)Лингвистика-(374)Литература-(1642)Маркетинг-(23702)Математика-(16968)Машиностроение-(1700)Медицина-(12668)Менеджмент-(24684)Механика-(15423)Науковедение-(506)Образование-(11852)Охрана труда-(3308)Педагогика-(5571)Полиграфия-(1312)Политика-(7869)Право-(5454)Приборостроение-(1369)Программирование-(2801)Производство-(97182)Промышленность-(8706)Психология-(18388)Религия-(3217)Связь-(10668)Сельское хозяйство-(299)Социология-(6455)Спорт-(42831)Строительство-(4793)Торговля-(5050)Транспорт-(2929)Туризм-(1568)Физика-(3942)Философия-(17015)Финансы-(26596)Химия-(22929)Экология-(12095)Экономика-(9961)Электроника-(8441)Электротехника-(4623)Энергетика-(12629)Юриспруденция-(1492)Ядерная техника-(1748)

Рекомендации по оформлению отчета




ЭКСПЕРИМЕНТАЛЬНАЯ ЧАСТЬ

Результаты обработки профилограммы шероховатости поверхности занести в таблицу.

№ № измерений Высота выступов, ypmi, мкм ------- 2-- ypmi , мкм Высота впадин, yvmi, мкм ------ 2— yvmi 5 мкм Шаг неровностей профиля, Sj, мкм Длина опорной поверхности, bi, мкм
i            
             
             
             
             
             
             
             
             
             
             
             
             
             
             
             
             
             
             
             
             
             
             
             
             
Примечание У ypmi l- базовая У ypmi длина5000 У |yvmi| мкм У 2 = У yvmi У S= У b=

 

 

Вычислить высоту неровностей профиля по десяти точкам:

Вычислить среднее квадратичное отклонение профиля:

Вычислить среднее арифметическое отклонение профиля:

 

 

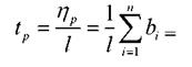
Вычислить относительную опорную длину профиля при p=50%:

13. Сформулируйте цель исследования.

14. В теоретической части работы кратко опишите основные понятия и расчетные формулы, относящиеся к определению основных параметров шероховатости поверхности

15. В разделе «Оборудование. Образцы. Методика испытаний на изнашивание» приведите технические характеристики профилографа- профилометра «Абрис-ПМ7», принцип измерения шероховатости и обработки экспериментальных данных на компьютере

16. В разделе «Обработка результатов экспериментов» занесите данные измерения профилограммы шероховатости в таблицу, рассчитайте основные параметры шероховатости поверхности.

17. Сделайте выводы согласно поставленной цели исследования.




Поделиться с друзьями:


Дата добавления: 2015-04-25; Просмотров: 534; Нарушение авторских прав?; Мы поможем в написании вашей работы!


Нам важно ваше мнение! Был ли полезен опубликованный материал? Да | Нет



studopedia.su - Студопедия (2013 - 2026) год. Все материалы представленные на сайте исключительно с целью ознакомления читателями и не преследуют коммерческих целей или нарушение авторских прав! Последнее добавление




Генерация страницы за: 4.446 сек.