Студопедия

КАТЕГОРИИ:


Архитектура-(3434)Астрономия-(809)Биология-(7483)Биотехнологии-(1457)Военное дело-(14632)Высокие технологии-(1363)География-(913)Геология-(1438)Государство-(451)Демография-(1065)Дом-(47672)Журналистика и СМИ-(912)Изобретательство-(14524)Иностранные языки-(4268)Информатика-(17799)Искусство-(1338)История-(13644)Компьютеры-(11121)Косметика-(55)Кулинария-(373)Культура-(8427)Лингвистика-(374)Литература-(1642)Маркетинг-(23702)Математика-(16968)Машиностроение-(1700)Медицина-(12668)Менеджмент-(24684)Механика-(15423)Науковедение-(506)Образование-(11852)Охрана труда-(3308)Педагогика-(5571)Полиграфия-(1312)Политика-(7869)Право-(5454)Приборостроение-(1369)Программирование-(2801)Производство-(97182)Промышленность-(8706)Психология-(18388)Религия-(3217)Связь-(10668)Сельское хозяйство-(299)Социология-(6455)Спорт-(42831)Строительство-(4793)Торговля-(5050)Транспорт-(2929)Туризм-(1568)Физика-(3942)Философия-(17015)Финансы-(26596)Химия-(22929)Экология-(12095)Экономика-(9961)Электроника-(8441)Электротехника-(4623)Энергетика-(12629)Юриспруденция-(1492)Ядерная техника-(1748)

Понятие о взаимоиндукции




Взаимоиндукция (взаимная индукция) — возникновение электродвижущей силы (ЭДС индукции) в одном проводнике вследствие изменения силы токав другом проводнике или вследствие изменения взаимного расположения проводников. Взаимоиндукция — частный случай более общего явления —электромагнитной индукции. При изменении тока в одном из проводников или при изменении взаимного расположения проводников происходит изменение магнитного потока через (воображаемую) поверхность, "натянутую" на контур второго, созданного магнитным полем, порожденным током в первом проводнике, что по закону электромагнитной индукции вызывает возникновение ЭДС во втором проводнике. Если второй проводник замкнут, то под действием ЭДС взаимоиндукции в нём образуется индуцированный ток. И наоборот, изменение тока во второй цепи вызовет появление ЭДС в первой. Направление тока, возникшего при взаимоиндукции, определяется по правилу Ленца. Правило указывает на то, что изменение тока в одной цепи (катушке) встречает противодействие со стороны другой цепи (катушки).

Чем большая часть магнитного поля первой цепи пронизывает вторую цепь, тем сильнее взаимоиндукция между цепями. С количественной стороны явление взаимоиндукции характеризуется взаимной индуктивностью (коэффициентом взаимоиндукции, коэффициентом связи). Для изменения величины индуктивной связи между цепями, катушки делают подвижными. Приборы, служащие для изменения взаимоиндукции между цепями, называются вариометрами связи.

Явление взаимоиндукции широко используется для передачи энергии из одной электрической цепи в другую, для преобразования напряжения с помощью трансформатора.

 

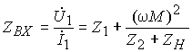
27. Входное сопротивление трансформатора. Вводя понятия комплексного сопротивления первичной обмотки Z1=R1+jw L1, комплексного сопротивления вторичной обмотки Z2=R2+jw L2 и комплексного сопротивления нагрузки Zн, систему (8.2) запишем в виде Находя из второго уравнения системы ток и подставляя его в первое уравнение системы, получим .

Из последнего выражения найдем входное сопротивление трансформатора в виде = Z1+ Zвн.

Следовательно, входное сопротивление трансформатора можно представить суммой 2 составляющих: комплексного сопротивления соб-ственно первичной обмотки трансформатора Z1 и комплексного сопро-тивления Zвн, вносимого из вторичной цепи трансформатора в первичную. Именно изменением этой составляющей можно объяснить изменение тока первичной обмотки трансформатора с изменением его нагрузки.

 

 

33. Основные понятия трехфазной цепи. Под многофазной системой понимают совокупность электрических цепей, называемых фазами, в каждой из которых действуют синусоидальные ЭДС одной частоты, отличающиеся друг от друга по фазе и создаваемые общим источником электрической энергии. Чаще всего применяются симметричные многофазные системы, напряжения которых равны по величине и сдвинуты по фазе на угол 2 p/m, где m – число фаз. Термин «фаза» в электротехнике обозначает два понятия: 1) аргумент синуса, определяющий стадию периодического процесса в цепях синусоидального тока; 2) составная часть устройства – многофазной цепи, то есть участок цепи, по которому проходит один и тот же ток. В электроэнергетике вследствие наибольшей экономичности и технического совершенства применяются большей частью трехфазные цепи. Совокупность ЭДС с фазовым сдвигом 2 p/3 в обмотках трехфазного генератора называется трехфазной системой ЭДС. На рис. 1.1 показаны векторная и временная диаграммы ЭДС трехфазного генератора.

Порядок, в котором ЭДС в фазных обмотках генератора проходят через одинаковые значения, например, через положительные максимумы, называется последовательностью фаз или порядком чередования фаз. В нашем случае последовательность фаз A, B, C. Если вращать вектора в противоположном направлении, получим обратную последовательность фаз A, C, B.

 

 




Поделиться с друзьями:


Дата добавления: 2015-05-06; Просмотров: 1979; Нарушение авторских прав?; Мы поможем в написании вашей работы!


Нам важно ваше мнение! Был ли полезен опубликованный материал? Да | Нет



studopedia.su - Студопедия (2013 - 2026) год. Все материалы представленные на сайте исключительно с целью ознакомления читателями и не преследуют коммерческих целей или нарушение авторских прав! Последнее добавление




Генерация страницы за: 0.01 сек.