Студопедия

КАТЕГОРИИ:


Архитектура-(3434)Астрономия-(809)Биология-(7483)Биотехнологии-(1457)Военное дело-(14632)Высокие технологии-(1363)География-(913)Геология-(1438)Государство-(451)Демография-(1065)Дом-(47672)Журналистика и СМИ-(912)Изобретательство-(14524)Иностранные языки-(4268)Информатика-(17799)Искусство-(1338)История-(13644)Компьютеры-(11121)Косметика-(55)Кулинария-(373)Культура-(8427)Лингвистика-(374)Литература-(1642)Маркетинг-(23702)Математика-(16968)Машиностроение-(1700)Медицина-(12668)Менеджмент-(24684)Механика-(15423)Науковедение-(506)Образование-(11852)Охрана труда-(3308)Педагогика-(5571)Полиграфия-(1312)Политика-(7869)Право-(5454)Приборостроение-(1369)Программирование-(2801)Производство-(97182)Промышленность-(8706)Психология-(18388)Религия-(3217)Связь-(10668)Сельское хозяйство-(299)Социология-(6455)Спорт-(42831)Строительство-(4793)Торговля-(5050)Транспорт-(2929)Туризм-(1568)Физика-(3942)Философия-(17015)Финансы-(26596)Химия-(22929)Экология-(12095)Экономика-(9961)Электроника-(8441)Электротехника-(4623)Энергетика-(12629)Юриспруденция-(1492)Ядерная техника-(1748)

Истечение жидкости из отверстия




Понятие потока жидкости (газа) и уравнение непрерывности. Вывод уравнения Бернулли. Теорема Торричелли. Течение в горизонтальной трубе.

Состояние движения жидкости можно определить, указав для каждой точки пространства вектор скорости , как функцию времени . Стационарное течение – это установившееся движение жидкости, при котором вектор скорости в каждой точке пространства остаётся постоянным, т.е. . Линии тока - это линии, проведённые в движущейся жидкости так, что касательные к ним в каждой точке совпадают по направлению с вектором скорости . Густота линий тока пропорциональна величине скорости в данном месте. Трубка тока это часть жидкости, ограниченная линиями тока.Частицы жидкости при своём движении не пересекают стенок трубки тока. Возьмем несжимаемую жидкость и рассмотрим в ней трубку тока. Объём жидкости, прошедшей через поперечное сечение S за время D t, равен Sv D t. Тогда Q = Sv - поток жидкости, т.е. объём жидкости, прошедшей через поперечное сечение S за единицу времени. Если жидкость несжимаема, то объем жидкости между сечениями S 1 и S 2 будет оставаться неизменным, и тогда S 1 v 1 = S 2 v 2. Это справедливо для любой пары S 1 и S 2, и мы получаем Sv = constтеорема о неразрывности струи: Для несжимаемой жидкости величина потока жидкости Sv в любом сечении одной и той же трубки тока должна быть одинаковой.

Стационарное движение идеальной жидкости. Уравнение Бернулли. Идеальная жидкость жидкость, в которой внутреннее трение (вязкость) полностью отсутствует. Рассмотрим стационарное течение идеальной жидкости. Выделим в стационарно текущей идеальной жидкости трубку тока малого сечения. Рассмотрим объём жидкости V, ограниченный стенками трубки токаи и перпендикулярными к линиям тока сечениями S 1 и S 2. За время D t этот объём переместится. В силу непрерывности струи: D V 1= D V 2= D V. Энергия каждой частицы жидкости складывается из её кинетической и потенциальной энергии. Вследствие стационарности течения приращение энергии D Е всего рассматриваемого объёма V можно вычислить как разность энергий заштрихованных объёмов D V 1 и D V 2. где r - плотность жидкости. В идеальной жидкости приращение энергии должно равняться работе, совершаемой над выделенным объёмом силами давления: D Е = А (1), А = P 1 S 1D l 1 - P 2 S 2D l 2 = (P 1 - P 2 ) D V. Подставляя в (1) и сократив DV, получим: . Поскольку сечения S 1 и S 2 произвольные, то это справедливо в любом сечении трубки тока. В стационарно текущей идеальной жидкости вдоль любой линии тока выполняется условие: – уравнение Бернулли. Для горизонтальной линии тока уравнение Бернулли примет вид: , т.е. давление оказывается меньшим в тех точках, где скорость больше.

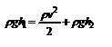
Рассмотрим истечение жидкости из небольшого отверстия в широком открытом сосуде. Выделим в жидкости трубку тока, имеющую своим сечением с одной стороны открытую поверхность, а с другой стороны – отверстие, через которое вытекает жидкость. P 1 = P 2 – давления в обоих сечениях равны атмосферному. Скорость перемещения открытой поверхности в широком сосуде положим, равна нулю. Тогда: , где v – скорость течения из отверстия. Отсюда: - формула Торричелли, где h = h 1 - h 2. -импульс силы. - реакция вытекающей струи.

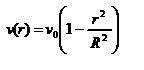
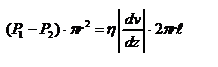
Течение жидкости по трубе. Формула Пуазейля. Пологая течение жидкости ламинарным, найдём закон изменения скорости v с расстоянием r от оси трубы, т.е. v(r) -? Выделим воображаемый цилиндрический объём жидкости радиуса r и длинны l. Поскольку скорости всех частиц жидкости являются постоянными v = const, сумма внешних сил, приложенных к любому объёму жидкости, равна нулю. На основание цилиндра действуют силы давления, сумма которых равна: . На боковую поверхность цилиндра действует сила трения: . Поскольку , то . Учитывая, что скорость убывает с расстоянием от оси трубы, т.е. , из (1) получим: , . Интегрирование даёт: . Так как при r = R скорость v = 0, то , где R - радиус трубы. - закон изменения скорости жидкости от расстояния до оси трубы. Если - скорость на оси трубы, то Вычислим поток жидкости Q – т. е. объём жидкости, протекающей через поперечное сечение трубы за единицу времени. Для этого сначала определим поток жидкости через кольцо радиуса r и толщиной dr: -поток жидкости через кольцо dr. Интегрируя по r, получим поток жидкости через поперечное сечение трубы: - формула Пуазеля. Ее можно использовать для определения коэффициента вязкости .

 

25. Вязкость. Ламинарное течение в трубе. Формула Пуазейля. Турбулентное течение жидкости. Число Рейнольдса.

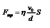
Гидродинамика вязкой жидкости. Коэффициент вязкости. Ламинарные и турбулентные течения. Всем реальным жидкостям и газам присуща вязкость или внутреннее трение. Вязкость проявляется в том, что возникшее в жидкости или газе движение после прекращения действия причин, его вызвавших, постепенно прекращается. Рассмотрим следующий опыт: В жидкость погружены две параллельные друг другу пластины, линейные размеры которых значительно превосходят расстояние между ними d. Нижняя пластина удерживается на месте, верхняя приводится в движение относительно нижней с некоторой скоростью под действием постоянной силы . Пусть S - площадь поверхности пластин, тогда -- сила трения, действующая на пластину при ее движении, где h- коэффициент внутреннего трения или коэффициент вязкости. Опыт показывает, что - скорость частиц жидкости в разных слоях. Так как - модуль градиента скорости. - сила внутреннего трения между слоями жидкости при ее движении. Размерность коэффициент вязкости: в СИ , в СГС . 1 Па с =10 П. У жидкостей коэффициент вязкости h уменьшается с увеличением температуры, у газов наоборот. Наблюдается два вида течения жидкости (газа):

1) Ламинарное (слоистое) течение - течение, при котором жидкость как бы разделяется на слои, которые скользят друг относительно друга, не перемешиваясь.

2) Турбулентное течение – течение, при котором возникает сильное перемешивание жидкости. Течение жидкости при этом нестационарное.

Английский учёный Рейнольдс установил, что характер течения жидкости зависит от значения безразмерной величины: - число Рейнольдса, где l характерный для поперечного сечения размер. Как видно из этого выражения, имеет смысл ввести новую характеристику вязкой жидкости: - кинематический коэффициент вязкости.

 




Поделиться с друзьями:


Дата добавления: 2015-04-23; Просмотров: 1608; Нарушение авторских прав?; Мы поможем в написании вашей работы!


Нам важно ваше мнение! Был ли полезен опубликованный материал? Да | Нет



studopedia.su - Студопедия (2013 - 2026) год. Все материалы представленные на сайте исключительно с целью ознакомления читателями и не преследуют коммерческих целей или нарушение авторских прав! Последнее добавление




Генерация страницы за: 0.013 сек.