Студопедия

КАТЕГОРИИ:


Архитектура-(3434)Астрономия-(809)Биология-(7483)Биотехнологии-(1457)Военное дело-(14632)Высокие технологии-(1363)География-(913)Геология-(1438)Государство-(451)Демография-(1065)Дом-(47672)Журналистика и СМИ-(912)Изобретательство-(14524)Иностранные языки-(4268)Информатика-(17799)Искусство-(1338)История-(13644)Компьютеры-(11121)Косметика-(55)Кулинария-(373)Культура-(8427)Лингвистика-(374)Литература-(1642)Маркетинг-(23702)Математика-(16968)Машиностроение-(1700)Медицина-(12668)Менеджмент-(24684)Механика-(15423)Науковедение-(506)Образование-(11852)Охрана труда-(3308)Педагогика-(5571)Полиграфия-(1312)Политика-(7869)Право-(5454)Приборостроение-(1369)Программирование-(2801)Производство-(97182)Промышленность-(8706)Психология-(18388)Религия-(3217)Связь-(10668)Сельское хозяйство-(299)Социология-(6455)Спорт-(42831)Строительство-(4793)Торговля-(5050)Транспорт-(2929)Туризм-(1568)Физика-(3942)Философия-(17015)Финансы-(26596)Химия-(22929)Экология-(12095)Экономика-(9961)Электроника-(8441)Электротехника-(4623)Энергетика-(12629)Юриспруденция-(1492)Ядерная техника-(1748)

Метод простой итерации




Пусть дана система n алгебраических уравнений с n неизвестными:

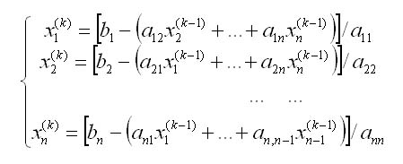
Алгоритм метода простой итерации:

Выполняя контрольную по математике на решение метода простой итерации сначала обязательно производят проверку условия сходимости. Для сходимости метода необходимо и достаточно, чтобы в матрице А абсолютные значения всех диагональных элементов были больше суммы модулей всех остальных элементов в соответствующей строке:

Недостатком итерационных методов является это достаточно жесткое условие сходимости, которое выполняется далеко не для всех систем уравнений.

Если условие сходимости выполнено, то на следующем этапе необходимо задать начальное приближение вектора неизвестных, в качестве которого обычно выбирается нулевой вектор:

Заметим, что здесь и в дальнейшем нижний индекс обозначает соответствующую компоненту вектора неизвестных, а верхний индекс - номер итерации (приближения).

Затем формируется циклический математический процесс, каждый цикл которого представляет собой одну итерацию. В результате каждой итерации получается новое значение вектора неизвестных. Для организации итерационного процесса запишем систему (1) в приведенном виде. При этом слагаемые, стоящие на главной диагонали, нормируются и остаются слева от знака равенства, а остальные переносятся в правую часть. Приведенная система уравнений имеет вид:

Итерационный процесс заканчивается, если для каждой i-й компоненты вектора неизвестных будет выполнено условие достижения точности.
Заметим, что точное решение в методе простой итерации никогда не будет достигнуто, однако с каждой последующей итерацией вектор неизвестных все ближе приближается к точному решению.

 

 

12. Основная итерационная формула, применяемая в методе простой итерации, для решения нелинейного уравнения:

 

 

13. Критерий останова итерационного процесса в методе простой итерации для решения нелинейного уравнения:

 

Итерационный процесс заканчивается, если для каждой i-й компоненты вектора неизвестных будет выполнено условие достижения точности.
Заметим, что точное решение в методе простой итерации никогда не будет достигнуто, однако с каждой последующей итерацией вектор неизвестных все ближе приближается к точному решению

 

 

14. Критерий выбора вспомогательной функции F(x) для итерационного отрезка интервала [a,b]:

 

Выполняя контрольную по математике на решение метода простой итерации сначала обязательно производят проверку условия сходимости. Для сходимости метода необходимо и достаточно, чтобы в матрице А абсолютные значения всех диагональных элементов были больше суммы модулей всех остальных элементов в соответствующей строке:

Недостатком итерационных методов является это достаточно жесткое условие сходимости, которое выполняется далеко не для всех систем уравнений.

Если условие сходимости выполнено, то на следующем этапе необходимо задать начальное приближение вектора неизвестных, в качестве которого обычно выбирается нулевой вектор:

 

 

15. Метод Гаусса, применяемый для решения систем линейных уравнений, предусматривает:

 

Метод основан на преобразовании матрицы к треугольному виду. Это достигается последовательным исключением неизвестных из уравнений системы.

 




Поделиться с друзьями:


Дата добавления: 2015-04-24; Просмотров: 1131; Нарушение авторских прав?; Мы поможем в написании вашей работы!


Нам важно ваше мнение! Был ли полезен опубликованный материал? Да | Нет



studopedia.su - Студопедия (2013 - 2026) год. Все материалы представленные на сайте исключительно с целью ознакомления читателями и не преследуют коммерческих целей или нарушение авторских прав! Последнее добавление




Генерация страницы за: 0.007 сек.