Студопедия

КАТЕГОРИИ:


Архитектура-(3434)Астрономия-(809)Биология-(7483)Биотехнологии-(1457)Военное дело-(14632)Высокие технологии-(1363)География-(913)Геология-(1438)Государство-(451)Демография-(1065)Дом-(47672)Журналистика и СМИ-(912)Изобретательство-(14524)Иностранные языки-(4268)Информатика-(17799)Искусство-(1338)История-(13644)Компьютеры-(11121)Косметика-(55)Кулинария-(373)Культура-(8427)Лингвистика-(374)Литература-(1642)Маркетинг-(23702)Математика-(16968)Машиностроение-(1700)Медицина-(12668)Менеджмент-(24684)Механика-(15423)Науковедение-(506)Образование-(11852)Охрана труда-(3308)Педагогика-(5571)Полиграфия-(1312)Политика-(7869)Право-(5454)Приборостроение-(1369)Программирование-(2801)Производство-(97182)Промышленность-(8706)Психология-(18388)Религия-(3217)Связь-(10668)Сельское хозяйство-(299)Социология-(6455)Спорт-(42831)Строительство-(4793)Торговля-(5050)Транспорт-(2929)Туризм-(1568)Физика-(3942)Философия-(17015)Финансы-(26596)Химия-(22929)Экология-(12095)Экономика-(9961)Электроника-(8441)Электротехника-(4623)Энергетика-(12629)Юриспруденция-(1492)Ядерная техника-(1748)

Векторное и смешанное произведения векторов




Векторное произведение

Векторное произведение векторов и - вектор, обозначаемый или для которого:

1) ( - угол между векторами и , );

2)

3) тройка , , - правая.

Свойства векторного произведения:

если , то равен площади параллелограмма, построенного на приведенных к общему началу векторах и .

 

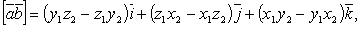
Векторное произведение в координатах

Если , то

или

или

В частности

Смешанное произведение трех векторов

Определение:

Свойства смешанного произведения:

- компланарны.

Если V - объем параллелепипеда, построенного на приведенных к общему началу векторах , и , то если тройка правая, и если тройка левая.

Смешанное произведение в координатах

Если то

Линейная зависимость векторов

Выражение вида λ1*A12*A2+...+λn*An называется линейной комбинацией векторов A1, A2,...,An с коэффициентами λ1, λ2,...,λn.

Определение линейной зависимости системы векторов

Система векторов A1, A2,...,An называется линейно зависимой, если существует ненулевой набор чисел λ1, λ2,...,λn, при котором линейная комбинация векторов λ1*A12*A2+...+λn*An равна нулевому вектору, то есть система уравнений: A1x1+A2x2+...+Anxn имеет ненулевое решение.
Набор чисел λ1, λ2,...,λn является ненулевым, если хотя бы одно из чисел λ1, λ2,...,λn отлично от нуля.

Определение линейной независимости системы векторов

Система векторов A1, A2,...,An называется линейно независимой, если линейная комбинация этих векторов λ1*A12*A2+...+λn*An равна нулевому вектору только при нулевом наборе чисел λ1, λ2,...,λn, то есть система уравнений: A1x1+A2x2+...+Anxn имеет единственное нулевое решение.

Свойства систем векторов

Свойство (1)
Если система векторов линейно зависимая, то хотя бы один из векторов разлагается по остальным и, наоборот, если хотя бы один из векторов системы разлагается по остальным, то система векторов линейно зависимая.

Свойство (2)
Если какая-либо подсистема векторов линейно зависимая, то и вся система линейно зависимая.

Свойство (3)
Если система векторов линейно независимая, то любая ее подсистема линейно независимая.

Свойство (4)
Любая система векторов, содержащая нулевой вектор, линейно зависимая.

Свойство (5)
Система m-мерных векторов всегда является линейно зависимой, если число векторов n больше их размерности (n>m).




Поделиться с друзьями:


Дата добавления: 2015-04-24; Просмотров: 680; Нарушение авторских прав?; Мы поможем в написании вашей работы!


Нам важно ваше мнение! Был ли полезен опубликованный материал? Да | Нет



studopedia.su - Студопедия (2013 - 2026) год. Все материалы представленные на сайте исключительно с целью ознакомления читателями и не преследуют коммерческих целей или нарушение авторских прав! Последнее добавление




Генерация страницы за: 0.009 сек.