Студопедия

КАТЕГОРИИ:


Архитектура-(3434)Астрономия-(809)Биология-(7483)Биотехнологии-(1457)Военное дело-(14632)Высокие технологии-(1363)География-(913)Геология-(1438)Государство-(451)Демография-(1065)Дом-(47672)Журналистика и СМИ-(912)Изобретательство-(14524)Иностранные языки-(4268)Информатика-(17799)Искусство-(1338)История-(13644)Компьютеры-(11121)Косметика-(55)Кулинария-(373)Культура-(8427)Лингвистика-(374)Литература-(1642)Маркетинг-(23702)Математика-(16968)Машиностроение-(1700)Медицина-(12668)Менеджмент-(24684)Механика-(15423)Науковедение-(506)Образование-(11852)Охрана труда-(3308)Педагогика-(5571)Полиграфия-(1312)Политика-(7869)Право-(5454)Приборостроение-(1369)Программирование-(2801)Производство-(97182)Промышленность-(8706)Психология-(18388)Религия-(3217)Связь-(10668)Сельское хозяйство-(299)Социология-(6455)Спорт-(42831)Строительство-(4793)Торговля-(5050)Транспорт-(2929)Туризм-(1568)Физика-(3942)Философия-(17015)Финансы-(26596)Химия-(22929)Экология-(12095)Экономика-(9961)Электроника-(8441)Электротехника-(4623)Энергетика-(12629)Юриспруденция-(1492)Ядерная техника-(1748)

Определение 13




Прямая и двойственная задача линейного программирования. Геометрическая интерпретация двойственной задачи

Каждой задаче линейного программирования можно определенным образом сопоставить некоторую другую задачу (линейного программирования), называемую двойственной или сопряженной по отношению к исходной или прямой задаче. Дадим определение двойственной задачи по отношению к общей задаче линейного программирования, состоящей, как мы уже знаем, в нахождении максимального значения функции

(32)

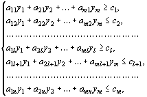
при условиях

(33)

(34)

Задача, состоящая в нахождении минимального значения функции

(35)

при условиях

(36)

(37)

называется двойственной по отношению к задаче (32) – (34). Задачи (32) – (34) и (35) – (37) образуют пару задач, называемую в линейном программировании двойственной парой. Сравнивая две сформулированные задачи, видим, что двойственная задача составляется согласно следующим правилам:

1. Целевая функция исходной задачи (32) – (34) задается на максимум, а целевая функция двойственной (35) – (37) – на минимум.

2. Матрица

(38)

составленная из коэффициентов при неизвестных в системе ограничений (33) исходной задачи (32) – (34), и аналогичная матрица

(39)

в двойственной задаче (35) – (37) получаются друг из друга транспонированием (т. е. заменой строк столбцами, а столбцов – строками).

3. Число переменных в двойственной задаче (35) – (37) равно числу ограничений в системе (33) исходной задачи (32) – (34), а число ограничений в системе (36) двойственной задачи – числу переменных в исходной задаче.

4. Коэффициентами при неизвестных в целевой функции (35) двойственной задачи (35) – (37) являются свободные члены в системе (33) исходной задачи (32) – (34), а правыми частями в соотношениях системы (36) двойственной задачи – коэффициенты при неизвестных в целевой функции (32) исходной задачи.

5. Если переменная xj исходной задачи (32) – (34) может принимать только лишь положительные значения, то j –е условие в системе (36) двойственной задачи (35) – (37) является неравенством вида “ ”. Если же переменная xj может принимать как положительные, так и отрицательные значения, то 1 – соотношение в системе (54) представляет собой уравнение. Аналогичные связи имеют место между ограничениями (33) исходной задачи (32) – (34) и переменными двойственной задачи (35) – (37). Если i – соотношение в системе (33) исходной задачи является неравенством, то i –я переменная двойственной задачи . В противном случае переменная уj может принимать как положительные, так и отрицательные значения.

Двойственные пары задач обычно подразделяют на симметричные и несимметричные. В симметричной паре двойственных задач ограничения (33) прямой задачи и соотношения (36) двойственной задачи являются неравенствами вида “ ”. Таким образом, переменные обеих задач могут принимать только лишь неотрицательные значения.




Поделиться с друзьями:


Дата добавления: 2015-04-24; Просмотров: 367; Нарушение авторских прав?; Мы поможем в написании вашей работы!


Нам важно ваше мнение! Был ли полезен опубликованный материал? Да | Нет



studopedia.su - Студопедия (2013 - 2026) год. Все материалы представленные на сайте исключительно с целью ознакомления читателями и не преследуют коммерческих целей или нарушение авторских прав! Последнее добавление




Генерация страницы за: 0.007 сек.