Студопедия

КАТЕГОРИИ:


Архитектура-(3434)Астрономия-(809)Биология-(7483)Биотехнологии-(1457)Военное дело-(14632)Высокие технологии-(1363)География-(913)Геология-(1438)Государство-(451)Демография-(1065)Дом-(47672)Журналистика и СМИ-(912)Изобретательство-(14524)Иностранные языки-(4268)Информатика-(17799)Искусство-(1338)История-(13644)Компьютеры-(11121)Косметика-(55)Кулинария-(373)Культура-(8427)Лингвистика-(374)Литература-(1642)Маркетинг-(23702)Математика-(16968)Машиностроение-(1700)Медицина-(12668)Менеджмент-(24684)Механика-(15423)Науковедение-(506)Образование-(11852)Охрана труда-(3308)Педагогика-(5571)Полиграфия-(1312)Политика-(7869)Право-(5454)Приборостроение-(1369)Программирование-(2801)Производство-(97182)Промышленность-(8706)Психология-(18388)Религия-(3217)Связь-(10668)Сельское хозяйство-(299)Социология-(6455)Спорт-(42831)Строительство-(4793)Торговля-(5050)Транспорт-(2929)Туризм-(1568)Физика-(3942)Философия-(17015)Финансы-(26596)Химия-(22929)Экология-(12095)Экономика-(9961)Электроника-(8441)Электротехника-(4623)Энергетика-(12629)Юриспруденция-(1492)Ядерная техника-(1748)

Волны де Бройля. Статистический смысл волн де Бройля, свойства волн




Волны де Бройля — волны, связанные с любой микрочастицей и отражающие их квантовую природу. Любая движущаяся частица (например, электрон) ведёт себя не только как локализованный в пространстве перемещающийся объект - корпускула, но и как волна, причём длина этой волны даётся формулой = h/р, где h = 6.6.10-34 Дж.сек – постоянная Планка, а р – импульс частицы. Эта волна и получила название волны де Бройля.

Согласно статистической интерпретации волны де Бройля следует рассматривать как волны вероятности. Более определенно: интенсивность волны де Бройля в каком-либо месте пространства пропорциональна вероятности обнаружить частицу в этом месте.

Свойства волн де Бройля:

1) Фазовая скорость волны де Бройля вычисляется в результате дифференцирования этого уравнения по времени: E – p dx/dt = 0,. υф = dx/dt = E/ p = mc2/mυ = c c/υ, где υ -скорость частицы. Т.к. υ<c, то фазовая скорость волн де Бройля всегда больше скорости света в вакууме, т.е. υф > c.

Это соотношение отражает особое специфическое свойство волн де Бройля.

2) Групповая скорость волн де Бройля равна скорости движения частиц: υr = ds/dt = υ.

3) Длинам боровских орбит соответствуют стоячие волны де Бройля, т.е. в длину боровской орбиты укладывается целое число стоячих волн де Бройля: 2πrn = nλ.

 

(9). Соотношения неопределенностей Гейзенберга, их физическое содержание

Принцип неопределённости Гейзенберга - в квантовой механике так называют принцип, дающий нижний (ненулевой) предел для произведения дисперсий величин, характеризующих состояние системы.

Соотношения неопределённости Гейзенберга — это теоретический предел точности любых измерений. Они справедливы для так называемых идеальных измерений, иногда называемых измерениями фон Неймана. Они тем более справедливы для неидеальных измерений или измерений Ландау.

Соответственно, любая частица (в общем смысле, например несущая дискретный электрический заряд) не может быть описана одновременно как «классическая точечная частица» и как волна. (Сам факт того, что какое-либо из этих описаний может быть справедливо, по крайней мере в отдельных случаях, называют корпускулярно-волновым дуализмом). Принцип неопределённости, в виде, первоначально предложенном Гейзенбергом, верен в случае, когда ни одно из этих двух описаний не является полностью и исключительно подходящим, например частица в коробке с определённым значением энергии; то есть для систем, которые не характеризуются ни каким-либо определённым «положением» (какое-либо определённое значение расстояния от потенциальной стенки), ни каким-либо определённым значением импульса (включая его направление).

Соотношение неопределенности Гейзенберга показывает, что “между точностью, с которой одновременно может быть установлено положение частицы, и точностью ее импульса существует определенное соотношение”: q ph,

где - среднеквадратичное отклонение.

 

(10). Статистический смысл и свойства волновой функции. Уравнение Шредингера в стационарной форме, смысл входящих величин

Волновая функция имеет статистический смысл: квадрат модуля волновой функции определяет плотность вероятности нахождения частицы (электрона): dw/dV = |Ψ|2.

Здесь dw вероятность нахождения частицы в элементе объема от V до V+dV.

Свойства волновой функции:

1) Правило нормировки:

Правило выражает тот факт, что вероятность обнаружить частицу с данной волновой функцией во всем пространстве равна единице.

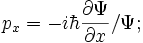
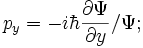
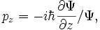
2) Импульс частицы в каждом из направлений x, y, z пропорционален первой производной волновой функции, делённой на саму волновую функцию, а именно:

где px, py, pz — проекции импульсов на соответствующие оси координат, i = √-1 - мнимая единица, ħ = h/2π - постоянная Планка.




Поделиться с друзьями:


Дата добавления: 2015-04-24; Просмотров: 6076; Нарушение авторских прав?; Мы поможем в написании вашей работы!


Нам важно ваше мнение! Был ли полезен опубликованный материал? Да | Нет



studopedia.su - Студопедия (2013 - 2025) год. Все материалы представленные на сайте исключительно с целью ознакомления читателями и не преследуют коммерческих целей или нарушение авторских прав! Последнее добавление




Генерация страницы за: 0.006 сек.