Студопедия

КАТЕГОРИИ:


Архитектура-(3434)Астрономия-(809)Биология-(7483)Биотехнологии-(1457)Военное дело-(14632)Высокие технологии-(1363)География-(913)Геология-(1438)Государство-(451)Демография-(1065)Дом-(47672)Журналистика и СМИ-(912)Изобретательство-(14524)Иностранные языки-(4268)Информатика-(17799)Искусство-(1338)История-(13644)Компьютеры-(11121)Косметика-(55)Кулинария-(373)Культура-(8427)Лингвистика-(374)Литература-(1642)Маркетинг-(23702)Математика-(16968)Машиностроение-(1700)Медицина-(12668)Менеджмент-(24684)Механика-(15423)Науковедение-(506)Образование-(11852)Охрана труда-(3308)Педагогика-(5571)Полиграфия-(1312)Политика-(7869)Право-(5454)Приборостроение-(1369)Программирование-(2801)Производство-(97182)Промышленность-(8706)Психология-(18388)Религия-(3217)Связь-(10668)Сельское хозяйство-(299)Социология-(6455)Спорт-(42831)Строительство-(4793)Торговля-(5050)Транспорт-(2929)Туризм-(1568)Физика-(3942)Философия-(17015)Финансы-(26596)Химия-(22929)Экология-(12095)Экономика-(9961)Электроника-(8441)Электротехника-(4623)Энергетика-(12629)Юриспруденция-(1492)Ядерная техника-(1748)

Агрегатные индексы цен, физического объема, товарооборота, их взаимосвязь




В математической статистике и теории вероятностей, наиболее употребительная мера рассеивания, т. е. отклонения от среднего. В статистическом понимании Д - есть среднее арифметическое из квадратов отклонений величин xi от их среднего арифметического.

Правило сложения дисперсий, коэффициент детерминации

Диспе́рсия случа́йной величины́ — мера разброса данной случайной величины, то есть её отклонения от математического ожидания. Обозначается в русской литературе и (англ. variance) в зарубежной. В статистике часто употребляется обозначение или . Квадратный корень из дисперсии, равный , называется среднеквадрати́чным отклоне́нием, станда́ртным отклоне́нием или стандартным разбросом. Стандартное отклонение измеряется в тех же единицах, что и сама случайная величина, а дисперсия измеряется в квадратах этой единицы измерения.

Изучение вариации (колеблемости, рассеивания) (см. Показатели вариации) признака по всей совокупности в целом, предусматривает изучение вариации для каждой из составляющих ее групп, а также между этими группами. В простейшем случае, когда совокупность разбита на группы по одному фактору, изучение вариации достигается посредством исчисления и анализа трех видов дисперсий: общей, межгрупповой и внутригрупповой.

Общая дисперсия D(x) измеряет вариацию признака по всей совокупности под влиянием всех факторов, обусловивших эту вариацию. Она равна среднему квадрату отклонений отдельных значений признака i) от общей средней величины и может быть вычислена как: 1. простая дисперсия 2. взвешенная дисперсия

Межгрупповая дисперсия (факторная) характеризует систематическую вариацию результативного признака, обусловленную влиянием признака-фактора, положенного в основание группировки. Она равна среднему квадрату отклонений групповых (частных) средних от общей средней:

Внутригрупповая дисперсия (частная, остаточная, случайная) отражает случайную вариацию неучтенных факторов и не зависящую от признака-фактора, положенного в основание группировки. Она равна среднему квадрату отклонений отдельных значений признака внутри группы i) от средней арифметической этой группы (x ср) (групповой средней) и может быть исчислена как:

1. простая дисперсия 2. взвешенная дисперсия

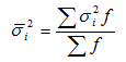
На основании внутригрупповой дисперсии по каждой группе можно определить общую среднюю из внутригрупповых дисперсий:

Дисперсия и среднее значение доли альтернативного признака

Среди варьирующих признаков, которые изучает статистика, встречаются признаки, которые проявляются в том, что у одних единиц совокупности эти признаки наблюдаются, у других нет. Иными словами: альтернативный признак - это такой единственный признак, который может принимать единица совокупности из всех возможных вариантов. Если рассматривать продукцию по категориям (сортам), то она может быть либо только I категории (сорта), либо только II категории (сорта) — в данном контексте следует рассматривать эти признаки как два противоположных события. Признаки, которыми обладают одни единицы и не обладают другие, называются альтернативными. Количественно вариация альтернативного признака в численности всей совокупности обозначается p, а доля единиц, не обладающих этим признаком, обозначается q и принимает значения: p=1, q=0

(смотри Ошибка выборки для доли альтернативного признака)

  1. Среднее значение для доли альтернативного признака
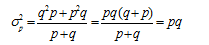
  2. Дисперсия альтернативного признака

Подставив в формулу дисперсии q = 1 – p, получим:

Таким образом, дисперсия альтернативного признака равна произведению доли на дополняющее эту долю до единицы число. Т.к. p+q=1, то средний квадрат отклонений не может быть больше 0,25. Среднеквадратическое отклонение доли альтернативного признака:

Правило сложения дисперсий

Согласно правилу сложения дисперсий, общая дисперсия равна сумме средней из внутригрупповых и межгрупповой дисперсий.

 

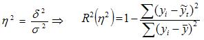
Пользуясь правилом сложения дисперсий, можно всегда по двум известным дисперсиям определить третью – неизвестную. Чем больше доля межгрупповой дисперсии в общей дисперсии, тем сильнее влияние группировочного признака на изучаемый признак. Поэтому в статистическом анализе широко используется эмпирический коэффициент детерминации - показатель, представляющий собой долю межгрупповой дисперсии в общей дисперсии результативного признака и характеризующий силу влияния группировочного признака на образование общей вариации:

При отсутствии связи эмпирический коэффициент детерминации равен нулю, а при функциональной связи – единице. Эмпирическое корреляционное отношение (см. пример) – это корень квадратный из эмпирического коэффициента детерминации:

Он показывает тесноту связи между группировочным и результативным признаками. Эмпирическое корреляционное отношение может принимать значения от 0 до 1. Если связь отсутствует, то корреляционное отношение равно нулю, т.е. все групповые средние будут равны между собой, межгрупповой вариации не будет. Значит, группировочный признак никак не влияет на образование общей вариации. Если связь функциональная, то корреляционное отношение будет равно единице. В этом случае дисперсия групповых средних равна общей дисперсии, т.е. внутригрупповой вариации не будет. Это означает, что группировочный признак целиком определяет вариацию изучаемого результативного признака. Чем значение корреляционного отношения ближе к единице, тем теснее, ближе к функциональной зависимости связь между признаками.

 

 

25-26. Индексы: понятие, виды. Индивидуальные индексы цен, физического объема, товарооборота

 

Индекс – это специфический, статистический метод исследования. Индекс (в пер. с лат.) – показатель, указатель.

В статистике индексами называют относительные величины динамики, характеризующие изменение сложного явления во времени, в пространстве, элементы которого (т.е. явления) непосредственно не суммируются.

В теории индексов тот показатель, изменение которого характеризует индекс, называется индексируемой величиной. Показатель, который вводится в индекс с целью преодоления несуммарности элементов изучаемого явления, называется весом индекса.

Индексы используются:

1) для характеристики общего изменения всех элементов сложного явления во времени, в пространстве и по сравнению с планом (нормой);

2) для оценки роли факторов в изменении сложных явлений;

3) для анализа влияния структурных сдвигов в экономике.

Индексы различают по ряду признаков.

I. В зависимости от объектов исследования индексы могут быть объемных и качественных показателей:

• Объемные показатели характеризуют объем, численность совокупности, численность работающих, объем продукции в натуральных измерителях и др.

• К качественным показателям относятся: цена, себестоимость, трудоемкость, производительность труда, урожайность и др.

II. В зависимости от охвата элементов изучаемой совокупности индексы различают: индивидуальные, групповые и общие.

• Индивидуальные индексы характеризуют изменение отдельного явления или элемента совокупности. Рассчитываются индивидуальные индексы отношением уровня явления отчетного (текущего) периода к уровню базисного периода. Индивидуальный индекс – это условное название, потому, что он связан с общими и групповыми индексами. Это относительная величина динамики (коэффициент) и назначение его – расширение возможностей общих и групповых индексов.

Общие (сводные) индексы – это относительные показатели, характеризующие изменение сложного явления, состоящего из элементов неподдающихся непосредственно суммированию. Групповые индексы – это относительные величины, характеризующие изменение явления по группе.

III. В зависимости от базы сравнения индексы различают: базисные – база постоянная и цепные – база переменная.

IV. В зависимости от методологии расчета существуют агрегатная форма и средний: индекс арифметический и гармонический.

Агрегатная форма индекса – исходная форма.

В теории индексов используется единая символика:

q – количество продукции одного вида в натуральном выражении;

p – цена за единицу продукции;

z – себестоимость единицы продукции;

t – трудоемкость единицы продукции;

w – производительность труда.

Индивидуальные индексы обозначаются буквой – i, у которой проставляется символ, соответствующий индексированной величина.

Например:

iр – индивидуальный индекс цены на отдельный вид продукции (товара).

Общий (сводный) индекс изучаемого социально-экономического явления обознача6ется буквой – J.

Например:

Jq – общий индекс физического объема продукции;

Jр – общий индекс цен.

Для отражения сравниваемых периодов времени применяются специальные обозначения, которые имеются внизу символа, используемые при написании индекса. Базисный период, с данными которого производим сравнение, обозначается нулем, а отчетный (текущий) период обозначается единицей.

 

Агрегатный индекс – представляет собой относительный пок-ль, в числителе и знаменателе которого набор каких-то величин или в числителе и знаменателе сумма произведений 2-х величин, одна из которых индексируемая, а вторая – весовой соизмеритель. Индексируемые величины будут разными, а соизмеритель один и тот же. Рассмотрим агрегатные индексы:

 

а) агрегатный индекс цен, в качестве соизмерителя берется количество продукции отчетного периода

 

; q – соизмеритель

 

б) агрегатный индекс себестоимости продукции, в качестве соизмерителя берется количество продукции отчетного периода

 

; z – себестоимость, q – количество продукции.

 

в) агрегатный индекс производительности труда, в качестве соизмерителя берется количество продукции отчетного периода

 

г) агрегатный индекс количества продукции (индекс физического объема товарооборота), в качестве соизмерителя берется цена или себестоимость базисного периода

 

; p0 – цена базисного периода или себестоимости

 

д) Агрегатный индекс товарооборота фактических цен, соизмеритель отсутствует

 

Приведенные выше индексы: цен, физического объема и товарооборота взаимосвязаны между собой:

 

Эта взаимосвязь показывает, что изменение товарооборота складывается под воздействием динамики цены и изменения объема продажи данного товара.

Индивидуальные индексы по существу – это относительные величины динамики, выполнения плана или сравнения. Индекс как относительный показатель выражается в виде коэффициентов, когда база для сравнения принимается за единицу, и в процентах, когда база для сравнения принимается за 100.

 




Поделиться с друзьями:


Дата добавления: 2015-04-24; Просмотров: 3542; Нарушение авторских прав?; Мы поможем в написании вашей работы!


Нам важно ваше мнение! Был ли полезен опубликованный материал? Да | Нет



studopedia.su - Студопедия (2013 - 2025) год. Все материалы представленные на сайте исключительно с целью ознакомления читателями и не преследуют коммерческих целей или нарушение авторских прав! Последнее добавление




Генерация страницы за: 0.013 сек.